TOANMATH.com

Tài liệu và đề thi Toán THPT miễn phí

  • Toán 10
    • Tài liệu Toán 10
    • Đề Cương Toán 10
    • Đề giữa HK1 Toán 10
    • Đề HK1 Toán 10
    • Đề giữa HK2 Toán 10
    • Đề HK2 Toán 10
    • Đề khảo sát Toán 10
    • Đề HSG Toán 10
    • Giáo án Toán 10
    • TIPS Giải Toán 10
  • Toán 11
    • Tài liệu Toán 11
    • Đề Cương Toán 11
    • Đề giữa HK1 Toán 11
    • Đề HK1 Toán 11
    • Đề giữa HK2 Toán 11
    • Đề HK2 Toán 11
    • Đề khảo sát Toán 11
    • Đề HSG Toán 11
    • Giáo án Toán 11
    • TIPS Giải Toán 11
  • Toán 12
    • Tài liệu Toán 12
    • Đề Cương Toán 12
    • Đề giữa HK1 Toán 12
    • Đề HK1 Toán 12
    • Đề giữa HK2 Toán 12
    • Đề HK2 Toán 12
    • Đề khảo sát Toán 12
    • Đề HSG Toán 12
    • Giáo án Toán 12
    • TIPS Giải Toán 12
  • Đề thi THPT
    • Đề thi thử THPT
    • Đề THPT chính thức
    • Đề đánh giá năng lực
    • Tài liệu ôn thi THPT
  • SGK-SBT
    • Sách giáo khoa THPT
    • Sách giáo khoa THCS
  • Toán THCS

Tháng: Tháng 1 2020

Đề Thi HK1 Toán 11

Đề thi học kì 1 Toán 11 năm 2019 – 2020 trường THPT An Nghĩa – TP HCM

15/01/2020

Đề Thi HK1 Toán 12

Đề thi học kì 1 Toán 12 năm 2019 – 2020 trường THPT An Nghĩa – TP HCM

15/01/2020

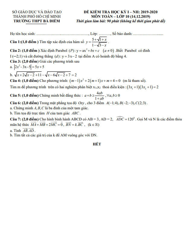
Đề Thi HK1 Toán 10

Đề thi học kì 1 Toán 10 năm 2019 – 2020 trường THPT Bà Điểm – TP HCM

15/01/2020

Đề Thi HK1 Toán 11

Đề thi học kì 1 Toán 11 năm 2019 – 2020 trường THPT Bà Điểm – TP HCM

15/01/2020

Đề Thi HK1 Toán 12

Đề thi học kì 1 Toán 12 năm 2019 – 2020 trường THPT Bà Điểm – TP HCM

15/01/2020

Đề Thi HK1 Toán 12

Đề thi học kì 1 Toán 12 năm 2019 – 2020 trường THCS&THPT Trí Đức – TP HCM

15/01/2020

Đề Thi HK1 Toán 11

Đề thi học kì 1 Toán 11 năm 2019 – 2020 trường THCS&THPT Trí Đức – TP HCM

15/01/2020

Đề Thi HK1 Toán 10

Đề thi học kì 1 Toán 10 năm 2019 – 2020 trường THCS&THPT Trí Đức – TP HCM

15/01/2020

Đề Thi HK1 Toán 10

Đề thi học kì 1 Toán 10 năm 2019 – 2020 trường THPT Trần Văn Giàu – TP HCM

15/01/2020

Đề Thi HK1 Toán 11

Đề thi học kì 1 Toán 11 năm 2019 – 2020 trường THPT Trần Văn Giàu – TP HCM

15/01/2020

Đề Thi HK1 Toán 12

Đề thi học kì 1 Toán 12 năm 2019 – 2020 trường THPT Trần Văn Giàu – TP HCM

15/01/2020

Đề Thi HK1 Toán 11

Đề thi học kì 1 Toán 11 năm 2019 – 2020 trường THPT Tây Thạnh – TP HCM

15/01/2020

Đề Thi HK1 Toán 12

Đề thi học kì 1 Toán 12 năm 2019 – 2020 trường THPT Tây Thạnh – TP HCM

15/01/2020

Đề Thi HK1 Toán 10

Đề thi học kì 1 Toán 10 năm 2019 – 2020 trường THPT Tây Thạnh – TP HCM

15/01/2020

Đề Thi HK1 Toán 10

Đề thi học kì 1 Toán 10 năm 2019 – 2020 trường THPT Vĩnh Viễn – TP HCM

15/01/2020

Đề Thi HK1 Toán 11

Đề thi học kì 1 Toán 11 năm 2019 – 2020 trường THPT Vĩnh Viễn – TP HCM

15/01/2020

Đề Thi HK1 Toán 12

Đề thi học kì 1 Toán 12 năm 2019 – 2020 trường THPT Vĩnh Viễn – TP HCM

15/01/2020

Đề Thi HK1 Toán 11

Đề thi học kì 1 Toán 11 năm 2019 – 2020 trường THPT chuyên Trần Đại Nghĩa – TP HCM

15/01/2020

Đề Thi HK1 Toán 12

Đề thi học kì 1 Toán 12 năm 2019 – 2020 trường THPT chuyên Trần Đại Nghĩa – TP HCM

15/01/2020

Đề Thi HK1 Toán 10

Đề thi học kì 1 Toán 10 năm 2019 – 2020 trường THPT chuyên Trần Đại Nghĩa – TP HCM

15/01/2020

Phân trang bài viết

« 1 … 3 4 5 … 11 »

TÌM KIẾM THEO TỪ KHÓA

TÀI LIỆU MỚI NHẤT

  • Đề thi thử tốt nghiệp THPT năm 2026 môn Toán sở GD&ĐT Quảng Trị
    21/04/2026
  • 80 đề ôn thi tốt nghiệp THPT năm 2026 môn Toán – Nguyễn Hữu Chung Kiên
    21/04/2026
  • Tài liệu ôn tập cuối kỳ 2 Toán 10 năm 2025 – 2026 trường THPT Trần Phú – Đà Nẵng
    20/04/2026
  • Tài liệu ôn tập cuối kỳ 2 Toán 11 năm 2025 – 2026 trường THPT Trần Phú – Đà Nẵng
    20/04/2026
  • Tài liệu ôn tập cuối kỳ 2 Toán 12 năm 2025 – 2026 trường THPT Trần Phú – Đà Nẵng
    20/04/2026
  • Đề thi thử TN THPT 2026 môn Toán trường chuyên Lương Văn Chánh – Đắk Lắk
    20/04/2026

THEO DÕI TRÊN FACEBOOK

  • Facebook
  • Giới Thiệu
  • Chính Sách Bảo Mật
  • Liên Hệ

Copyright © 2026 | TOANMATH.com