TOANMATH.com

Tài liệu và đề thi Toán THPT miễn phí

  • Toán 10
    • Tài liệu Toán 10
    • Đề Cương Toán 10
    • Đề giữa HK1 Toán 10
    • Đề HK1 Toán 10
    • Đề giữa HK2 Toán 10
    • Đề HK2 Toán 10
    • Đề khảo sát Toán 10
    • Đề HSG Toán 10
    • Giáo án Toán 10
    • TIPS Giải Toán 10
  • Toán 11
    • Tài liệu Toán 11
    • Đề Cương Toán 11
    • Đề giữa HK1 Toán 11
    • Đề HK1 Toán 11
    • Đề giữa HK2 Toán 11
    • Đề HK2 Toán 11
    • Đề khảo sát Toán 11
    • Đề HSG Toán 11
    • Giáo án Toán 11
    • TIPS Giải Toán 11
  • Toán 12
    • Tài liệu Toán 12
    • Đề Cương Toán 12
    • Đề giữa HK1 Toán 12
    • Đề HK1 Toán 12
    • Đề giữa HK2 Toán 12
    • Đề HK2 Toán 12
    • Đề khảo sát Toán 12
    • Đề HSG Toán 12
    • Giáo án Toán 12
    • TIPS Giải Toán 12
  • Đề thi THPT
    • Đề thi thử THPT
    • Đề THPT chính thức
    • Đề đánh giá năng lực
    • Tài liệu ôn thi THPT
  • SGK-SBT
    • Sách giáo khoa THPT
    • Sách giáo khoa THCS
  • Toán THCS

Tháng: Tháng 1 2020

Đề Thi HK1 Toán 10

Đề thi HK1 Toán 10 năm 2019 – 2020 trường THPT Lương Thế Vinh – TP HCM

14/01/2020

Đề Thi HK1 Toán 11

Đề thi HK1 Toán 11 năm 2019 – 2020 trường THPT Lương Thế Vinh – TP HCM

14/01/2020

Đề Thi HK1 Toán 12

Đề thi HK1 Toán 12 năm 2019 – 2020 trường THPT Lương Thế Vinh – TP HCM

14/01/2020

Đề Thi HK1 Toán 10

Đề thi HK1 Toán 10 năm 2019 – 2020 trường THPT Mạc Đĩnh Chi – TP HCM

14/01/2020

Đề Thi HK1 Toán 11

Đề thi HK1 Toán 11 năm 2019 – 2020 trường THPT Mạc Đĩnh Chi – TP HCM

14/01/2020

Đề Thi HK1 Toán 12

Đề thi HK1 Toán 12 năm 2019 – 2020 trường THPT Mạc Đĩnh Chi – TP HCM

14/01/2020

Đề Thi HK1 Toán 11

Đề thi HK1 Toán 11 năm 2019 – 2020 trường THPT Marie Curie – TP HCM

14/01/2020

Đề Thi HK1 Toán 12

Đề thi HK1 Toán 12 năm 2019 – 2020 trường THPT Marie Curie – TP HCM

14/01/2020

Đề Thi HK1 Toán 10

Đề thi HK1 Toán 10 năm 2019 – 2020 trường THPT Marie Curie – TP HCM

14/01/2020

Đề Thi HK1 Toán 10

Đề thi HK1 Toán 10 năm 2019 – 2020 trường THPT Nguyễn Trung Trực – TP HCM

14/01/2020

Đề Thi HK1 Toán 11

Đề thi HK1 Toán 11 năm 2019 – 2020 trường THPT Nguyễn Trung Trực – TP HCM

14/01/2020

Đề Thi HK1 Toán 12

Đề thi HK1 Toán 12 năm 2019 – 2020 trường THPT Nguyễn Trung Trực – TP HCM

14/01/2020

Đề Thi HK1 Toán 10

Đề thi HK1 Toán 10 năm 2019 – 2020 trường THPT Thăng Long – TP HCM

14/01/2020

Đề Thi HK1 Toán 11

Đề thi HK1 Toán 11 năm 2019 – 2020 trường THPT Thăng Long – TP HCM

14/01/2020

Đề Thi HK1 Toán 12

Đề thi HK1 Toán 12 năm 2019 – 2020 trường THPT Thăng Long – TP HCM

14/01/2020

Đề Thi HK1 Toán 10

Đề thi HK1 Toán 10 năm 2019 – 2020 trường THPT Nguyễn Văn Tăng – TP HCM

14/01/2020

Đề Thi HK1 Toán 11

Đề thi HK1 Toán 11 năm 2019 – 2020 trường THPT Nguyễn Văn Tăng – TP HCM

14/01/2020

Đề Thi HK1 Toán 12

Đề thi HK1 Toán 12 năm 2019 – 2020 trường THPT Nguyễn Văn Tăng – TP HCM

14/01/2020

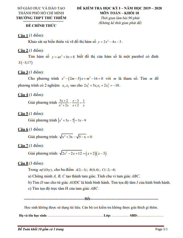
Đề Thi HK1 Toán 10

Đề thi HK1 Toán 10 năm 2019 – 2020 trường THPT Thủ Thiêm – TP HCM

14/01/2020

Đề Thi HK1 Toán 11

Đề thi HK1 Toán 11 năm 2019 – 2020 trường THPT Thủ Thiêm – TP HCM

14/01/2020

Phân trang bài viết

« 1 … 5 6 7 … 11 »

TÌM KIẾM THEO TỪ KHÓA

TÀI LIỆU MỚI NHẤT

  • Bộ đề tham khảo TN THPT năm 2026 môn Toán sở GD&ĐT TP Hồ Chí Minh
    22/04/2026
  • Đề cuối kỳ 2 Toán 10 năm 2025 – 2026 trường THPT Phạm Hồng Thái – Hà Nội
    22/04/2026
  • Bộ đề ôn tập THPT Quốc gia môn Toán năm 2026 (phần 2) – Lê Minh Kha
    22/04/2026
  • Đề thi thử tốt nghiệp THPT năm 2026 môn Toán sở GD&ĐT Quảng Trị
    21/04/2026
  • 80 đề ôn thi tốt nghiệp THPT năm 2026 môn Toán – Nguyễn Hữu Chung Kiên
    21/04/2026
  • Tài liệu ôn tập cuối kỳ 2 Toán 10 năm 2025 – 2026 trường THPT Trần Phú – Đà Nẵng
    20/04/2026

THEO DÕI TRÊN FACEBOOK

  • Facebook
  • Giới Thiệu
  • Chính Sách Bảo Mật
  • Liên Hệ

Copyright © 2026 | TOANMATH.com