TOANMATH.com

Tài liệu và đề thi Toán THPT miễn phí

  • Toán 10
    • Tài liệu Toán 10
    • Đề Cương Toán 10
    • Đề giữa HK1 Toán 10
    • Đề HK1 Toán 10
    • Đề giữa HK2 Toán 10
    • Đề HK2 Toán 10
    • Đề khảo sát Toán 10
    • Đề HSG Toán 10
    • Giáo án Toán 10
    • TIPS Giải Toán 10
  • Toán 11
    • Tài liệu Toán 11
    • Đề Cương Toán 11
    • Đề giữa HK1 Toán 11
    • Đề HK1 Toán 11
    • Đề giữa HK2 Toán 11
    • Đề HK2 Toán 11
    • Đề khảo sát Toán 11
    • Đề HSG Toán 11
    • Giáo án Toán 11
    • TIPS Giải Toán 11
  • Toán 12
    • Tài liệu Toán 12
    • Đề Cương Toán 12
    • Đề giữa HK1 Toán 12
    • Đề HK1 Toán 12
    • Đề giữa HK2 Toán 12
    • Đề HK2 Toán 12
    • Đề khảo sát Toán 12
    • Đề HSG Toán 12
    • Giáo án Toán 12
    • TIPS Giải Toán 12
  • Đề thi THPT
    • Đề thi thử THPT
    • Đề THPT chính thức
    • Đề đánh giá năng lực
    • Tài liệu ôn thi THPT
  • SGK-SBT
    • Sách giáo khoa THPT
    • Sách giáo khoa THCS
  • Toán THCS

Tháng: Tháng 3 2023

Đề Thi HSG Toán 11

Đề thi Olympic Toán 11 năm 2022 – 2023 cụm các trường THPT – Hà Nội

16/03/2023

Đề Thi HSG Toán 10

Đề học sinh giỏi tỉnh Toán 10 chuyên đợt 2 năm 2022 – 2023 sở GD&ĐT Quảng Nam

16/03/2023

Đề Thi HSG Toán 10

Đề thi Olympic Toán 10 năm 2022 – 2023 cụm các trường THPT – Hà Nội

16/03/2023

Đề Thi HSG Toán 12

Đề học sinh giỏi tỉnh Toán THPT & GDTX năm 2022 – 2023 sở GD&ĐT Đắk Lắk

15/03/2023

Đề Thi Giữa HK2 Toán 10

Đề giữa học kỳ 2 Toán 10 năm 2022 – 2023 trường THPT Trần Phú – TP HCM

15/03/2023

Đề Thi HSG Toán 10

Đề thi HSG Toán 10 lần 3 năm 2022 – 2023 trường THPT Ngô Gia Tự – Vĩnh Phúc

15/03/2023

Đề Thi Giữa HK2 Toán 12

Đề giữa kỳ 2 Toán 12 năm 2022 – 2023 trường chuyên Lê Hồng Phong – Nam Định

15/03/2023

Đề Thi HSG Toán 10

Đề thi HSG Toán 10 năm 2022 – 2023 cụm THPT huyện Yên Dũng – Bắc Giang

15/03/2023

Đề Thi HSG Toán 12

Đề thi HSG Toán 12 lần 4 năm 2022 – 2023 trường THPT Giao Thủy – Nam Định

15/03/2023

Đề Thi Giữa HK2 Toán 11

Đề giữa kỳ 2 Toán 11 năm 2022 – 2023 trường THPT Yên Mô B – Ninh Bình

15/03/2023

Đề Thi HSG Toán 11

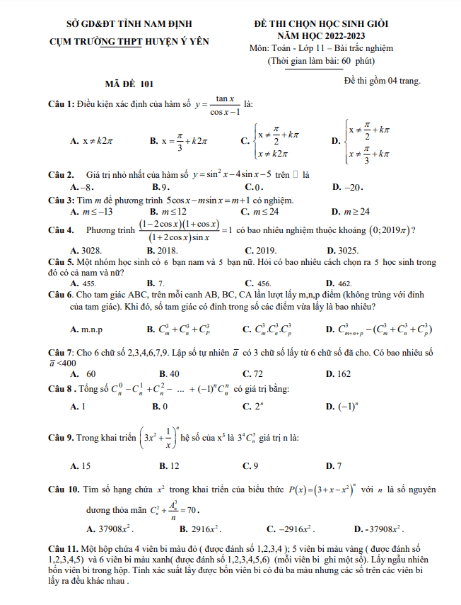
Đề học sinh giỏi Toán 11 năm 2022 – 2023 cụm THPT huyện Ý Yên – Nam Định

15/03/2023

Đề Thi HSG Toán 11

Đề thi HSG Toán 11 năm 2022 – 2023 cụm THPT huyện Yên Dũng – Bắc Giang

15/03/2023

Đề Thi Thử THPT Môn Toán

Đề khảo sát chất lượng Toán 12 năm 2022 – 2023 sở GD&ĐT Phú Thọ

15/03/2023

Đề Thi Giữa HK2 Toán 10

Đề minh họa giữa HK2 Toán 10 năm 2022 – 2023 trường THPT Long Thạnh – Kiên Giang

14/03/2023

Đề Thi Giữa HK2 Toán 11

Đề giữa kỳ 2 Toán 11 năm 2022 – 2023 trường THPT Nguyễn Tất Thành – TP HCM

14/03/2023

Đề Thi Giữa HK2 Toán 10

Đề giữa kỳ 2 Toán 10 năm 2022 – 2023 trường THPT Nguyễn Tất Thành – TP HCM

14/03/2023

Đề Thi Giữa HK2 Toán 12

Đề giữa kỳ 2 Toán 12 năm 2022 – 2023 trường THPT Nguyễn Tất Thành – TP HCM

14/03/2023

Khảo Sát Chất Lượng Toán 10

Đề khảo sát lần 3 Toán 10 năm 2022 – 2023 trường THPT Triệu Quang Phục – Hưng Yên

14/03/2023

Đề Thi Giữa HK2 Toán 12

Đề giữa kỳ 2 Toán 12 năm 2022 – 2023 trường THPT Trần Phú – Phú Yên

14/03/2023

Đề Thi Thử THPT Môn Toán

Đề thi thử Toán TN THPT 2023 lần 1 trường THPT Ngô Gia Tự – Đắk Lắk

14/03/2023

Phân trang bài viết

« 1 … 5 6 7 … 10 »

TÌM KIẾM THEO TỪ KHÓA

TÀI LIỆU MỚI NHẤT

  • Đề thi thử TN THPT 2026 môn Toán lần 2 trường THPT Yên Hòa – Hà Nội
    22/04/2026
  • Đề cuối học kì 2 Toán 10 năm 2025 – 2026 trường THPT Hoàng Mai – Hà Nội
    22/04/2026
  • Đề khảo sát Toán 12 lần 3 năm 2025 – 2026 trường THPT Trần Phú – Hà Nội
    22/04/2026
  • Bộ đề tham khảo TN THPT năm 2026 môn Toán sở GD&ĐT TP Hồ Chí Minh
    22/04/2026
  • Đề cuối kỳ 2 Toán 10 năm 2025 – 2026 trường THPT Phạm Hồng Thái – Hà Nội
    22/04/2026
  • Bộ đề ôn tập THPT Quốc gia môn Toán năm 2026 (phần 2) – Lê Minh Kha
    22/04/2026

THEO DÕI TRÊN FACEBOOK

  • Facebook
  • Giới Thiệu
  • Chính Sách Bảo Mật
  • Liên Hệ

Copyright © 2026 | TOANMATH.com