TOANMATH.com

Tài liệu và đề thi Toán THPT miễn phí

  • Toán 10
    • Tài liệu Toán 10
    • Đề Cương Toán 10
    • Đề giữa HK1 Toán 10
    • Đề HK1 Toán 10
    • Đề giữa HK2 Toán 10
    • Đề HK2 Toán 10
    • Đề khảo sát Toán 10
    • Đề HSG Toán 10
    • Giáo án Toán 10
    • TIPS Giải Toán 10
  • Toán 11
    • Tài liệu Toán 11
    • Đề Cương Toán 11
    • Đề giữa HK1 Toán 11
    • Đề HK1 Toán 11
    • Đề giữa HK2 Toán 11
    • Đề HK2 Toán 11
    • Đề khảo sát Toán 11
    • Đề HSG Toán 11
    • Giáo án Toán 11
    • TIPS Giải Toán 11
  • Toán 12
    • Tài liệu Toán 12
    • Đề Cương Toán 12
    • Đề giữa HK1 Toán 12
    • Đề HK1 Toán 12
    • Đề giữa HK2 Toán 12
    • Đề HK2 Toán 12
    • Đề khảo sát Toán 12
    • Đề HSG Toán 12
    • Giáo án Toán 12
    • TIPS Giải Toán 12
  • Đề thi THPT
    • Đề thi thử THPT
    • Đề THPT chính thức
    • Đề đánh giá năng lực
    • Tài liệu ôn thi THPT
  • SGK-SBT
    • Sách giáo khoa THPT
    • Sách giáo khoa THCS
  • Toán THCS

Đề Thi Giữa HK1 Toán 10

Tổng hợp ĐỀ THI GIỮA HK1 TOÁN 10 có đáp án và lời giải chi tiết của các trường Trung học Phổ thông, Sở Giáo dục và Đào tạo trên toàn quốc (File PDF). Các ĐỀ THI GIỮA HK1 TOÁN 10 mới nhất sẽ được cập nhật liên tục và nhanh nhất có thể sau khi kỳ thi diễn ra, đáp án và lời giải chi tiết cũng sẽ được TOANMATH.com cập nhật sau đó nhằm giúp bạn đọc thuận tiện trong việc tra cứu và đối chiếu đáp án.

File WORD các ĐỀ THI GIỮA HỌC KÌ 1 TOÁN 10 (nếu có) được đính kèm trong nội dung bài viết, nhằm giúp quý thầy, cô giáo có thể tải xuống miễn phí, phục vụ cho quá trình biên soạn và giảng dạy. Quý thầy, cô giáo và bạn đọc có thể chia sẻ thêm ĐỀ THI GIỮA HỌC KÌ 1 TOÁN 10 bằng cách gửi về địa chỉ email: toanmath.com@gmail.com, nhằm tạo nguồn đề thi phong phú, đa dạng để các em học sinh lớp 10 tham khảo và rèn luyện.

Đề Thi Giữa HK1 Toán 10

Đề kiểm tra giữa kì 1 Toán 10 năm 2019 – 2020 trường THPT Việt Đức – Hà Nội

26/10/2019

Đề Thi Giữa HK1 Toán 10

Đề kiểm tra giữa HK1 Toán 10 năm 2019 – 2020 trường Nguyễn Chí Thanh – TP HCM

23/10/2019

Đề Thi Giữa HK1 Toán 10

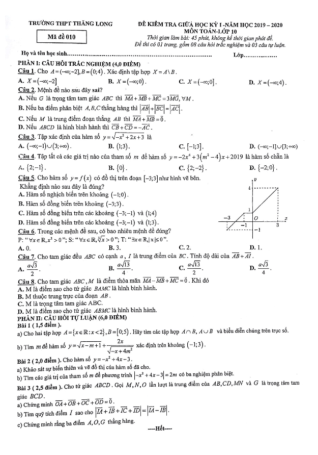
Đề kiểm tra giữa HK1 Toán 10 năm 2019 – 2020 trường Thăng Long – Hà Nội

21/10/2019

Đề Thi Giữa HK1 Toán 10

Đề kiểm tra giữa HK1 Toán 10 năm 2019 – 2020 trường Huỳnh Thúc Kháng – Hà Nội

21/10/2019

Đề Thi Giữa HK1 Toán 10

Đề kiểm tra giữa học kì 1 Toán 10 năm 2019 – 2020 trường Nhân Chính – Hà Nội

21/10/2019

Đề Thi Giữa HK1 Toán 10

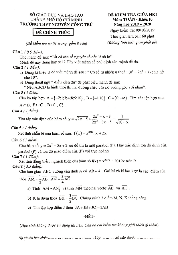
Đề kiểm tra giữa HK1 Toán 10 năm 2019 – 2020 trường Nguyễn Công Trứ – TP HCM

11/10/2019

Đề Thi Giữa HK1 Toán 10

Đề kiểm tra giữa học kỳ 1 Toán 10 năm 2018 – 2019 trường THPT Trấn Biên – Đồng Nai

30/11/2018

Đề Thi Giữa HK1 Toán 10

Đề thi khảo sát giữa kỳ 1 Toán 10 năm 2018 – 2019 trường Nhữ Văn Lan – Hải Phòng

23/11/2018

Đề Thi Giữa HK1 Toán 10

Đề kiểm tra giữa học kỳ 1 Toán 10 năm 2018 – 2019 trường Yên Phong 1 – Bắc Ninh

13/11/2018

Đề Thi Giữa HK1 Toán 10

Đề kiểm tra giữa học kỳ 1 Toán 10 năm 2018 – 2019 trường Lương Thế Vinh – Hà Nội

06/11/2018

Đề Thi Giữa HK1 Toán 10

Đề KSCL giữa HK1 Toán 10 năm 2018 – 2019 trường THPT Bùi Thị Xuân – TT. Huế

03/11/2018

Đề Thi Giữa HK1 Toán 10

Đề kiểm tra giữa học kỳ 1 Toán 10 năm 2018 – 2019 trường Lý Thái Tổ – Bắc Ninh

30/10/2018

Đề Thi Giữa HK1 Toán 10

Đề kiểm tra giữa học kỳ 1 Toán 10 năm 2018 – 2019 trường THPT Thái Phiên – Hải Phòng

23/10/2018

Đề Thi Giữa HK1 Toán 10

Đề thi giữa HK1 Toán 10 năm học 2018 – 2019 trường THPT Yên Hòa – Hà Nội

22/10/2018

Đề Thi Giữa HK1 Toán 10

Đề kiểm tra giữa học kỳ 1 Toán 10 năm 2018 – 2019 trường THPT Nhân Chính – Hà Nội

21/10/2018

Đề Thi Giữa HK1 Toán 10

Đề kiểm tra giữa HKI Toán 10 năm 2018 – 2019 trường THPT Việt Nam – Ba Lan – Hà Nội

20/10/2018

Đề Thi Giữa HK1 Toán 10

Đề kiểm tra giữa học kỳ 1 Toán 10 năm 2018 – 2019 trường Nguyễn Tất Thành – ĐHSP Hà Nội

19/10/2018

Đề Thi Giữa HK1 Toán 10

Đề kiểm tra chất lượng giữa HK1 Toán 10 trường THPT Mê Linh – Thái Bình

29/11/2017

Đề Thi Giữa HK1 Toán 10

Đề thi giữa HK1 năm 2017 – 2018 môn Toán 10 trường THPT Lý Thái Tổ – Bắc Ninh

13/11/2017

Đề Thi Giữa HK1 Toán 10

Đề kiểm tra giữa học kỳ 1 năm học 2017 – 2018 môn Toán 10 trường THPT Hưng Nhân – Thái Bình

02/11/2017

Phân trang bài viết

« 1 … 16 17 18 »

TÌM KIẾM THEO TỪ KHÓA

TÀI LIỆU MỚI NHẤT

  • Đề chọn học sinh giỏi cấp tỉnh Toán 12 năm 2025 – 2026 sở GD&ĐT Thái Nguyên
    27/11/2025
  • Đề giữa kỳ 1 Toán 10 năm 2025 – 2026 trường THPT Nguyễn Văn Cừ – Hải Phòng
    27/11/2025
  • Đề giữa kỳ 1 Toán 11 năm 2025 – 2026 trường THPT Nguyễn Văn Cừ – Hải Phòng
    27/11/2025
  • Đề giữa kỳ 1 Toán 12 năm 2025 – 2026 trường THPT Nguyễn Văn Cừ – Hải Phòng
    27/11/2025
  • Đề giữa kỳ 1 Toán 12 năm 2025 – 2026 trường THCS-THPT Bàu Hàm – Đồng Nai
    27/11/2025
  • Đề giữa học kỳ 1 Toán 10 năm 2025 – 2026 trường THPT Nhữ Văn Lan – Hải Phòng
    26/11/2025
  • Facebook
  • Giới Thiệu
  • Chính Sách Bảo Mật
  • Liên Hệ

Copyright © 2025 | TOANMATH.com