TOANMATH.com

Tài liệu và đề thi Toán THPT miễn phí

  • Toán 10
    • Tài liệu Toán 10
    • Đề Cương Toán 10
    • Đề giữa HK1 Toán 10
    • Đề HK1 Toán 10
    • Đề giữa HK2 Toán 10
    • Đề HK2 Toán 10
    • Đề khảo sát Toán 10
    • Đề HSG Toán 10
    • Giáo án Toán 10
    • TIPS Giải Toán 10
  • Toán 11
    • Tài liệu Toán 11
    • Đề Cương Toán 11
    • Đề giữa HK1 Toán 11
    • Đề HK1 Toán 11
    • Đề giữa HK2 Toán 11
    • Đề HK2 Toán 11
    • Đề khảo sát Toán 11
    • Đề HSG Toán 11
    • Giáo án Toán 11
    • TIPS Giải Toán 11
  • Toán 12
    • Tài liệu Toán 12
    • Đề Cương Toán 12
    • Đề giữa HK1 Toán 12
    • Đề HK1 Toán 12
    • Đề giữa HK2 Toán 12
    • Đề HK2 Toán 12
    • Đề khảo sát Toán 12
    • Đề HSG Toán 12
    • Giáo án Toán 12
    • TIPS Giải Toán 12
  • Đề thi THPT
    • Đề thi thử THPT
    • Đề THPT chính thức
    • Đề đánh giá năng lực
    • Tài liệu ôn thi THPT
  • SGK-SBT
    • Sách giáo khoa THPT
    • Sách giáo khoa THCS
  • Toán THCS

Đề Thi Giữa HK1 Toán 11

Tổng hợp ĐỀ THI GIỮA HK1 TOÁN 11 có đáp án và lời giải chi tiết của các trường Trung học Phổ thông, Sở Giáo dục và Đào tạo trên toàn quốc (File PDF). Các ĐỀ THI GIỮA HK1 TOÁN 11 mới nhất sẽ được cập nhật liên tục và nhanh nhất có thể sau khi kỳ thi diễn ra, đáp án và lời giải chi tiết cũng sẽ được TOANMATH.com cập nhật sau đó nhằm giúp bạn đọc thuận tiện trong việc tra cứu và đối chiếu đáp án.

File WORD các ĐỀ THI GIỮA HỌC KÌ 1 TOÁN 11 (nếu có) được đính kèm trong nội dung bài viết, nhằm giúp quý thầy, cô giáo có thể tải xuống miễn phí, phục vụ cho quá trình biên soạn và giảng dạy. Quý thầy, cô giáo và bạn đọc có thể chia sẻ thêm ĐỀ THI GIỮA HỌC KÌ 1 TOÁN 11 bằng cách gửi về địa chỉ email: toanmath.com@gmail.com, nhằm tạo nguồn đề thi phong phú, đa dạng để các em học sinh lớp 11 tham khảo và rèn luyện.

Đề Thi Giữa HK1 Toán 11

Đề giữa kì 1 Toán 11 năm 2024 – 2025 trường THPT A Phủ Lý – Hà Nam

05/11/2024

Đề Thi Giữa HK1 Toán 11

Đề giữa học kì 1 Toán 11 năm 2024 – 2025 trường THPT Hoa Lư A – Ninh Bình

05/11/2024

Đề Thi Giữa HK1 Toán 11

Đề giữa kỳ 1 Toán 11 năm 2024 – 2025 trường Thực Nghiệm Khoa Học Giáo Dục – Hà Nội

05/11/2024

Đề Thi Giữa HK1 Toán 11

Đề giữa học kỳ 1 Toán 11 năm 2024 – 2025 trường THPT chuyên Vị Thanh – Hậu Giang

04/11/2024

Đề Thi Giữa HK1 Toán 11

Đề tham khảo giữa kì 1 Toán 11 năm 2024 – 2025 trường THPT Thuận Thành 1 – Bắc Ninh

04/11/2024

Đề Thi Giữa HK1 Toán 11

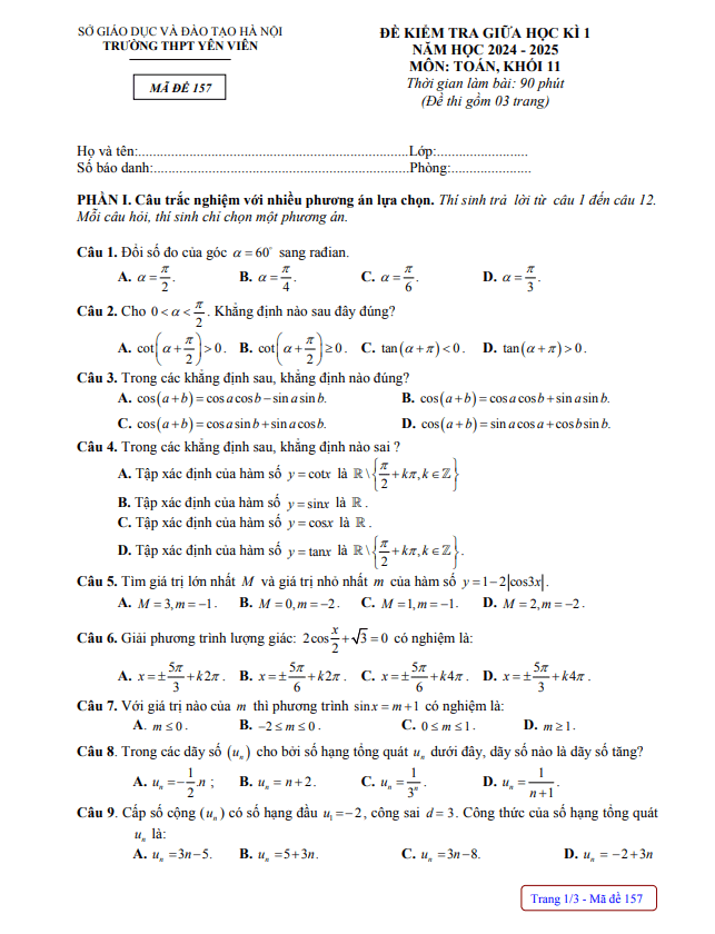
Đề giữa học kì 1 Toán 11 năm 2024 – 2025 trường THPT Yên Viên – Hà Nội

04/11/2024

Đề Thi Giữa HK1 Toán 11

Đề giữa kỳ 1 Toán 11 năm 2024 – 2025 trường THPT Quế Sơn – Quảng Nam

04/11/2024

Đề Thi Giữa HK1 Toán 11

Đề giữa kỳ 1 Toán 11 năm 2024 – 2025 trường THPT Huỳnh Thúc Kháng – Quảng Nam

03/11/2024

Đề Thi Giữa HK1 Toán 11

Đề giữa kỳ 1 Toán 11 KNTTVCS năm 2024 – 2025 trường THPT Nguyễn Chí Thanh – Lâm Đồng

02/11/2024

Đề Thi Giữa HK1 Toán 11

Đề giữa học kỳ 1 Toán 11 năm 2024 – 2025 trường THPT Nguyễn Thị Minh Khai – Hà Nội

02/11/2024

Đề Thi Giữa HK1 Toán 11

Đề giữa kỳ 1 Toán 11 KNTTVCS năm 2024 – 2025 trường THPT Trần Quang Khải – Hưng Yên

02/11/2024

Đề Thi Giữa HK1 Toán 11

Đề giữa học kỳ 1 Toán 11 năm 2024 – 2025 trường THPT Cẩm Bình – Hà Tĩnh

01/11/2024

Đề Thi Giữa HK1 Toán 11

Đề giữa kì 1 Toán 11 năm 2024 – 2025 trường THPT Trần Hưng Đạo – Nam Định

01/11/2024

Đề Thi Giữa HK1 Toán 11

Đề giữa kì 1 Toán 11 năm 2024 – 2025 trường THPT Nguyễn Quốc Trinh – Hà Nội

01/11/2024

Đề Thi Giữa HK1 Toán 11

Đề giữa kì 1 Toán 11 năm 2024 – 2025 trường THPT Bắc Yên Thành – Nghệ An

31/10/2024

Đề Thi Giữa HK1 Toán 11

Đề giữa học kỳ 1 Toán 11 năm 2024 – 2025 trung tâm Lê Thị Hồng Gấm – TP HCM

31/10/2024

Đề Thi Giữa HK1 Toán 11

Đề giữa học kì 1 Toán 11 năm 2024 – 2025 trường THPT Lê Quý Đôn – TP HCM

30/10/2024

Đề Thi Giữa HK1 Toán 11

Đề giữa kì 1 Toán 11 năm 2024 – 2025 trường THPT Yên Lạc – Vĩnh Phúc

29/10/2024

Đề Thi Giữa HK1 Toán 11

Đề tham khảo giữa kỳ 1 Toán 11 năm 2024 – 2025 trường THPT Lương Ngọc Quyến – Thái Nguyên

27/10/2024

Đề Thi Giữa HK1 Toán 11

Bộ đề ôn tập giữa học kì 1 Toán 11 KNTTVCS định hướng cấu trúc 2025

27/10/2024

Phân trang bài viết

« 1 … 5 6 7 … 18 »

TÌM KIẾM THEO TỪ KHÓA

TÀI LIỆU MỚI NHẤT

  • Đề cuối kỳ 2 Toán 12 năm 2025 – 2026 trường THPT Lê Hồng Phong – Thái Nguyên
    09/05/2026
  • Đề học kì 2 Toán 10 năm 2025 – 2026 trường THPT Nguyễn Thị Minh Khai – Hà Nội
    09/05/2026
  • Đề cuối học kì 2 Toán 10 năm 2025 – 2026 trường THPT Xuyên Mộc – TP HCM
    09/05/2026
  • Đề cuối học kì 2 Toán 11 năm 2025 – 2026 trường THPT Xuyên Mộc – TP HCM
    09/05/2026
  • Đề cuối học kì 2 Toán 12 năm 2025 – 2026 trường THPT Xuyên Mộc – TP HCM
    09/05/2026
  • Đề thi thử tốt nghiệp THPT năm 2026 môn Toán sở GD&ĐT Đồng Tháp
    08/05/2026

THEO DÕI TRÊN FACEBOOK

  • Facebook
  • Giới Thiệu
  • Chính Sách Bảo Mật
  • Liên Hệ

Copyright © 2026 | TOANMATH.com