TOANMATH.com

Tài liệu và đề thi Toán THPT miễn phí

  • Toán 10
    • Tài liệu Toán 10
    • Đề Cương Toán 10
    • Đề giữa HK1 Toán 10
    • Đề HK1 Toán 10
    • Đề giữa HK2 Toán 10
    • Đề HK2 Toán 10
    • Đề khảo sát Toán 10
    • Đề HSG Toán 10
    • Giáo án Toán 10
    • TIPS Giải Toán 10
  • Toán 11
    • Tài liệu Toán 11
    • Đề Cương Toán 11
    • Đề giữa HK1 Toán 11
    • Đề HK1 Toán 11
    • Đề giữa HK2 Toán 11
    • Đề HK2 Toán 11
    • Đề khảo sát Toán 11
    • Đề HSG Toán 11
    • Giáo án Toán 11
    • TIPS Giải Toán 11
  • Toán 12
    • Tài liệu Toán 12
    • Đề Cương Toán 12
    • Đề giữa HK1 Toán 12
    • Đề HK1 Toán 12
    • Đề giữa HK2 Toán 12
    • Đề HK2 Toán 12
    • Đề khảo sát Toán 12
    • Đề HSG Toán 12
    • Giáo án Toán 12
    • TIPS Giải Toán 12
  • Đề thi THPT
    • Đề thi thử THPT
    • Đề THPT chính thức
    • Đề đánh giá năng lực
    • Tài liệu ôn thi THPT
  • SGK-SBT
    • Sách giáo khoa THPT
    • Sách giáo khoa THCS
  • Toán THCS

Đề Thi Thử THPT Môn Toán 2017

Chuyên mục ĐỀ THI THỬ THPT MÔN TOÁN 2017 bao gồm: Đề Thi Thử Tốt Nghiệp THPT Năm 2017 Môn Toán, Đề Minh Họa Tốt Nghiệp THPT Năm 2017 Môn Toán, Đề Tham Khảo Tốt Nghiệp THPT Năm 2017 Môn Toán … của các trường Trung học Phổ thông, Sở GD&ĐT và Bộ GD&ĐT; giúp học sinh ôn thi tốt nghiệp Trung học Phổ thông Quốc gia, ôn thi tuyển sinh vào các trường Đại học – Cao đẳng.

Các ĐỀ THI THỬ THPT MÔN TOÁN 2017 sẽ được TOANMATH.com cập nhật nhanh nhất và chuẩn xác nhất sau kỳ thi, bao gồm file PDF và file WORD (nếu có), có đầy đủ đáp án và lời giải chi tiết. Quý thầy, cô giáo và bạn đọc có thể chia sẻ thêm ĐỀ THI THỬ THPT MÔN TOÁN 2017 bằng cách gửi về địa chỉ email: toanmath.com@gmail.com, nhằm tạo nguồn đề thi phong phú, đa dạng để các em học sinh tham khảo và rèn luyện.

Đề Thi Thử THPT Môn Toán

Đề thi thử THPT Quốc gia 2017 môn Toán khối chuyên THPT Đại học Khoa học Huế

18/03/2017

Đề Thi Thử THPT Môn Toán

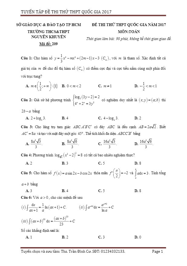
Đề thi thử THPT Quốc gia 2017 môn Toán trường Nguyễn Khuyến – TP. HCM lần 1

18/03/2017

Đề Thi Thử THPT Môn Toán

Đề ôn thi THPT Quốc gia 2017 môn Toán trường THPT Nguyễn Chí Thanh – TT. Huế

18/03/2017

Đề Thi Thử THPT Môn Toán

Đề thi thử THPT Quốc gia 2017 môn Toán sở GD và ĐT Vĩnh Phúc lần 2

18/03/2017

Đề Thi Thử THPT Môn Toán

Đề thi thử THPT Quốc gia 2017 môn Toán trường THPT Trần Phú – Hà Tĩnh lần 1

17/03/2017

Đề Thi Thử THPT Môn Toán

6 đề ôn tập thi THPT Quốc gia 2017 môn Toán trường THPT Hoàng Diệu – Sóc Trăng

17/03/2017

Đề Thi Thử THPT Môn Toán

Đề thi thử THPT Quốc gia 2017 môn Toán trường THPT Kim Sơn A – Ninh Bình

16/03/2017

Đề Thi Thử THPT Môn Toán

Đề thi thử THPT Quốc gia 2017 môn Toán trường THPT Đồng Đậu – Vĩnh Phúc lần 3

15/03/2017

Đề Thi Thử THPT Môn Toán

Đề thi thử THPT Quốc gia 2017 môn Toán trường THPT Trần Hưng Đạo – Ninh Bình lần 3

15/03/2017

Đề Thi Thử THPT Môn Toán

Đề thi thử THPT Quốc gia 2017 môn Toán trường THPT Lý Thái Tổ – Hà Nội lần 4

14/03/2017

Đề Thi Thử THPT Môn Toán

Đề thi thử THPT Quốc gia 2017 môn Toán trường THPT Lý Thái Tổ – Bắc Ninh lần 1

14/03/2017

Đề Thi Thử THPT Môn Toán

Đề thi thử THPT Quốc gia 2017 môn Toán trường THPT Lạng Giang 1 – Bắc Giang lần 3

14/03/2017

Đề Thi Thử THPT Môn Toán

Đề thi thử THPT Quốc gia 2017 môn Toán trường THPT Tân Yên 1 – Bắc Giang

14/03/2017

Đề Thi Thử THPT Môn Toán

24 đề tập huấn thi THPT Quốc gia 2017 môn Toán sở GD và ĐT Bắc Ninh

14/03/2017

Đề Thi Thử THPT Môn Toán

Đề thi thử THPT Quốc gia 2017 môn Toán trường Nguyễn Thị Minh Khai – Hà Tĩnh lần 1

14/03/2017

Đề Thi Thử THPT Môn Toán

Đề thi thử THPT Quốc gia 2017 môn Toán trường THPT chuyên Phan Bội Châu – Nghệ An lần 2

14/03/2017

Đề Thi Thử THPT Môn Toán

Đề thi thử THPT Quốc gia 2017 môn Toán – tạp chí Toán Học Tuổi Trẻ lần 7

13/03/2017

Đề Thi Thử THPT Môn Toán

Đề thi thử THPT Quốc gia 2017 môn Toán trường THPT Lương Văn Chánh – Phú Yên

13/03/2017

Đề Thi Thử THPT Môn Toán

Đề thi thử THPT Quốc gia 2017 môn Toán trường THPT Nguyễn Đức Mậu – Nghệ An lần 2

13/03/2017

Đề Thi Thử THPT Môn Toán

Đề thi thử THPT Quốc gia 2017 môn Toán trường THPT EaRôk – Đăk Lăk

13/03/2017

Phân trang bài viết

« 1 … 12 13 14 … 20 »

TÌM KIẾM THEO TỪ KHÓA

TÀI LIỆU MỚI NHẤT

  • Đề kiểm tra cuối học kì 2 Toán 12 năm 2025 – 2026 sở GD&ĐT Bắc Ninh
    16/04/2026
  • 50 đề ôn tập kỳ thi tốt nghiệp THPT môn Toán năm học 2025 – 2026
    16/04/2026
  • Đề khảo sát thi tốt nghiệp THPT 2026 môn Toán sở GD&ĐT Hải Phòng
    16/04/2026
  • Đề thi thử tốt nghiệp THPT 2026 môn Toán lần 2 sở GD&ĐT Sơn La
    15/04/2026
  • Đề thi Olympic Toán 10 năm 2025 – 2026 sở GD&ĐT TP Hồ Chí Minh
    15/04/2026
  • Đề thi Olympic Toán 11 năm 2025 – 2026 sở GD&ĐT TP Hồ Chí Minh
    15/04/2026

THEO DÕI TRÊN FACEBOOK

  • Facebook
  • Giới Thiệu
  • Chính Sách Bảo Mật
  • Liên Hệ

Copyright © 2026 | TOANMATH.com