TOANMATH.com

Tài liệu và đề thi Toán THPT miễn phí

  • Toán 10
    • Tài liệu Toán 10
    • Đề Cương Toán 10
    • Đề giữa HK1 Toán 10
    • Đề HK1 Toán 10
    • Đề giữa HK2 Toán 10
    • Đề HK2 Toán 10
    • Đề khảo sát Toán 10
    • Đề HSG Toán 10
    • Giáo án Toán 10
    • TIPS Giải Toán 10
  • Toán 11
    • Tài liệu Toán 11
    • Đề Cương Toán 11
    • Đề giữa HK1 Toán 11
    • Đề HK1 Toán 11
    • Đề giữa HK2 Toán 11
    • Đề HK2 Toán 11
    • Đề khảo sát Toán 11
    • Đề HSG Toán 11
    • Giáo án Toán 11
    • TIPS Giải Toán 11
  • Toán 12
    • Tài liệu Toán 12
    • Đề Cương Toán 12
    • Đề giữa HK1 Toán 12
    • Đề HK1 Toán 12
    • Đề giữa HK2 Toán 12
    • Đề HK2 Toán 12
    • Đề khảo sát Toán 12
    • Đề HSG Toán 12
    • Giáo án Toán 12
    • TIPS Giải Toán 12
  • Đề thi THPT
    • Đề thi thử THPT
    • Đề THPT chính thức
    • Đề đánh giá năng lực
    • Tài liệu ôn thi THPT
  • SGK-SBT
    • Sách giáo khoa THPT
    • Sách giáo khoa THCS
  • Toán THCS

Đề Thi Thử THPT Môn Toán 2017

Chuyên mục ĐỀ THI THỬ THPT MÔN TOÁN 2017 bao gồm: Đề Thi Thử Tốt Nghiệp THPT Năm 2017 Môn Toán, Đề Minh Họa Tốt Nghiệp THPT Năm 2017 Môn Toán, Đề Tham Khảo Tốt Nghiệp THPT Năm 2017 Môn Toán … của các trường Trung học Phổ thông, Sở GD&ĐT và Bộ GD&ĐT; giúp học sinh ôn thi tốt nghiệp Trung học Phổ thông Quốc gia, ôn thi tuyển sinh vào các trường Đại học – Cao đẳng.

Các ĐỀ THI THỬ THPT MÔN TOÁN 2017 sẽ được TOANMATH.com cập nhật nhanh nhất và chuẩn xác nhất sau kỳ thi, bao gồm file PDF và file WORD (nếu có), có đầy đủ đáp án và lời giải chi tiết. Quý thầy, cô giáo và bạn đọc có thể chia sẻ thêm ĐỀ THI THỬ THPT MÔN TOÁN 2017 bằng cách gửi về địa chỉ email: toanmath.com@gmail.com, nhằm tạo nguồn đề thi phong phú, đa dạng để các em học sinh tham khảo và rèn luyện.

Đề Thi Thử THPT Môn Toán

Đề kiểm tra chất lượng dạy – học bồi dưỡng môn Toán trường Hậu Lộc 4 – Thanh Hóa lần 1

17/01/2017

Đề Thi Thử THPT Môn Toán

Đề thi thử THPT Quốc gia 2017 môn Toán trường THPT Hoài Ân – Bình Định

17/01/2017

Đề Thi Thử THPT Môn Toán

Đề thi thử THPT Quốc gia 2017 môn Toán trường THPT chuyên Thoại Ngọc Hầu lần 1

16/01/2017

Đề Thi Thử THPT Môn Toán

Đề thi thử THPT Quốc gia 2017 môn Toán trường THPT Thanh Hà – Hải Dương lần 1

16/01/2017

Đề Thi Thử THPT Môn Toán

Đề thi thử THPT Quốc gia 2017 môn Toán trường THPT chuyên ĐH Sư phạm Hà Nội lần 1

15/01/2017

Đề Thi Thử THPT Môn Toán

Đề thi thử THPT Quốc gia 2017 môn Toán trường THPT chuyên Quốc học Huế lần 1

15/01/2017

Đề Thi Thử THPT Môn Toán

Đề thi thử THPT Quốc gia 2017 môn Toán – tạp chí Toán Học Tuổi Trẻ lần 5

12/01/2017

Đề Thi Thử THPT Môn Toán

Đề thi thử THPT Quốc gia 2017 môn Toán trường THPT Kim Liên – Hà Nội lần 1

08/01/2017

Đề Thi Thử THPT Môn Toán

Đề thi thử THPT Quốc gia 2017 môn Toán trường THPT chuyên Lam Sơn – Thanh Hóa

06/01/2017

Đề Thi Thử THPT Môn Toán

Đề kiểm tra kiến thức Toán 12 năm học 2016 – 2017 trường THPT chuyên KHTN – Hà Nội

05/01/2017

Đề Thi Thử THPT Môn Toán

Đề thi thử THPT Quốc gia 2017 môn Toán trường THPT chuyên Vị Thanh – Hậu Giang

05/01/2017

Đề Thi Thử THPT Môn Toán

Đề thi thử THPT Quốc gia 2017 môn Toán sở GD và ĐT Hà Tĩnh

05/01/2017

Đề Thi Thử THPT Môn Toán

Đề thi thử THPT Quốc gia 2017 môn Toán trường chuyên Bắc Kạn lần 1

02/01/2017

Đề Thi Thử THPT Môn Toán

Đề thi thử THPT Quốc gia 2017 môn Toán trường Lương Tài 2 – Bắc Ninh lần 1

02/01/2017

Đề Thi Thử THPT Môn Toán

Đề thi thử THPT Quốc gia 2017 môn Toán – Đoàn Trí Dũng lần 3

01/01/2017

Đề Thi Thử THPT Môn Toán

Bộ đề tinh túy ôn thi THPT Quốc gia 2017 môn Toán – Lovebook

25/12/2016

Đề Thi Thử THPT Môn Toán

Đề thi thử Quốc gia 2017 môn Toán trường Nguyễn Đăng Đạo – Bắc Ninh lần 1

19/12/2016

Đề Thi Thử THPT Môn Toán

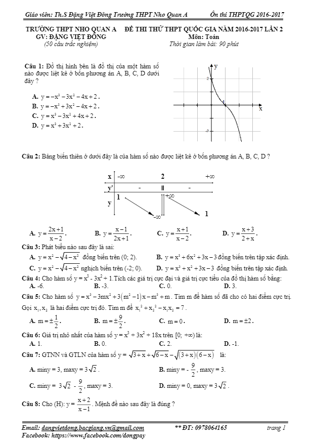
Đề thi thử THPT Quốc gia 2017 môn Toán trường Nho Quan A – Ninh Bình lần 2

17/12/2016

Đề Thi Thử THPT Môn Toán

Đề thi thử Quốc gia 2017 môn Toán chuyên Lương Văn Tụy – Ninh Bình

16/12/2016

Đề Thi Thử THPT Môn Toán

Đề khảo sát chất lượng môn Toán 12 trường Đoàn Thượng – Hải Dương lần 2

16/12/2016

Phân trang bài viết

« 1 … 16 17 18 … 20 »

TÌM KIẾM THEO TỪ KHÓA

TÀI LIỆU MỚI NHẤT

  • Tuyển tập bài tập tổ hợp – xác suất hay và khó trong đề thi TN THPT môn Toán
    07/05/2026
  • Đề khảo sát Toán 12 lần 3 năm 2025 – 2026 sở GD&ĐT Ninh Bình
    07/05/2026
  • Đề học kỳ 2 Toán 11 năm 2025 – 2026 trường THPT Việt Đức – Hà Nội
    07/05/2026
  • Đề học kỳ 2 Toán 12 năm 2025 – 2026 trường THPT Việt Đức – Hà Nội
    07/05/2026
  • Đề cuối kỳ 2 Toán 10 năm 2025 – 2026 trường THPT Quế Sơn – Đà Nẵng
    06/05/2026
  • Đề cuối kỳ 2 Toán 11 năm 2025 – 2026 trường THPT Quế Sơn – Đà Nẵng
    06/05/2026

THEO DÕI TRÊN FACEBOOK

  • Facebook
  • Giới Thiệu
  • Chính Sách Bảo Mật
  • Liên Hệ

Copyright © 2026 | TOANMATH.com