TOANMATH.com

Tài liệu và đề thi Toán THPT miễn phí

  • Toán 10
    • Tài liệu Toán 10
    • Đề Cương Toán 10
    • Đề giữa HK1 Toán 10
    • Đề HK1 Toán 10
    • Đề giữa HK2 Toán 10
    • Đề HK2 Toán 10
    • Đề khảo sát Toán 10
    • Đề HSG Toán 10
    • Giáo án Toán 10
    • TIPS Giải Toán 10
  • Toán 11
    • Tài liệu Toán 11
    • Đề Cương Toán 11
    • Đề giữa HK1 Toán 11
    • Đề HK1 Toán 11
    • Đề giữa HK2 Toán 11
    • Đề HK2 Toán 11
    • Đề khảo sát Toán 11
    • Đề HSG Toán 11
    • Giáo án Toán 11
    • TIPS Giải Toán 11
  • Toán 12
    • Tài liệu Toán 12
    • Đề Cương Toán 12
    • Đề giữa HK1 Toán 12
    • Đề HK1 Toán 12
    • Đề giữa HK2 Toán 12
    • Đề HK2 Toán 12
    • Đề khảo sát Toán 12
    • Đề HSG Toán 12
    • Giáo án Toán 12
    • TIPS Giải Toán 12
  • Đề thi THPT
    • Đề thi thử THPT
    • Đề THPT chính thức
    • Đề đánh giá năng lực
    • Tài liệu ôn thi THPT
  • SGK-SBT
    • Sách giáo khoa THPT
    • Sách giáo khoa THCS
  • Toán THCS

Đề Thi Thử THPT Môn Toán 2017

Chuyên mục ĐỀ THI THỬ THPT MÔN TOÁN 2017 bao gồm: Đề Thi Thử Tốt Nghiệp THPT Năm 2017 Môn Toán, Đề Minh Họa Tốt Nghiệp THPT Năm 2017 Môn Toán, Đề Tham Khảo Tốt Nghiệp THPT Năm 2017 Môn Toán … của các trường Trung học Phổ thông, Sở GD&ĐT và Bộ GD&ĐT; giúp học sinh ôn thi tốt nghiệp Trung học Phổ thông Quốc gia, ôn thi tuyển sinh vào các trường Đại học – Cao đẳng.

Các ĐỀ THI THỬ THPT MÔN TOÁN 2017 sẽ được TOANMATH.com cập nhật nhanh nhất và chuẩn xác nhất sau kỳ thi, bao gồm file PDF và file WORD (nếu có), có đầy đủ đáp án và lời giải chi tiết. Quý thầy, cô giáo và bạn đọc có thể chia sẻ thêm ĐỀ THI THỬ THPT MÔN TOÁN 2017 bằng cách gửi về địa chỉ email: toanmath.com@gmail.com, nhằm tạo nguồn đề thi phong phú, đa dạng để các em học sinh tham khảo và rèn luyện.

Đề Thi Thử THPT Môn Toán

Đề thi thử THPT Quốc gia 2017 môn Toán sở GD và ĐT Phú Thọ lần 2

23/05/2017

Đề Thi Thử THPT Môn Toán

Đề thi thử THPT Quốc gia 2017 môn Toán trường THPT chuyên Hà Tĩnh lần 2

22/05/2017

Đề Thi Thử THPT Môn Toán

Đề thi thử THPT Quốc gia 2017 môn Toán trường THPT chuyên Sơn La lần 4

22/05/2017

Đề Thi Thử THPT Môn Toán

Đề thi thử THPT Quốc gia 2017 môn Toán trường THPT chuyên Hoàng Văn Thụ – Hòa Bình lần 3

22/05/2017

Đề Thi Thử THPT Môn Toán

Đề thi thử THPT Quốc gia 2017 môn Toán sở GD và ĐT Bắc Giang lần 2

22/05/2017

Đề Thi Thử THPT Môn Toán

Tổng hợp 20 đề thi thử THPT Quốc gia môn Toán tháng 5/2017 có đáp án

21/05/2017

Đề Thi Thử THPT Môn Toán

Đề thi thử THPT Quốc gia 2017 môn Toán trường THPT Đông Hà – Quảng Trị lần 2

21/05/2017

Đề Thi Thử THPT Môn Toán

Tuyển tập 14 đề thi thử THPT Quốc gia 2017 môn Toán có lời giải chi tiết – Nhóm LaTeX (Phần 7)

21/05/2017

Đề Thi Thử THPT Môn Toán

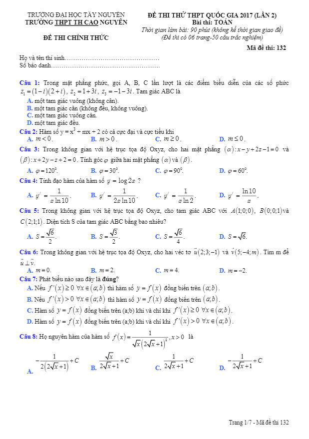
Đề thi thử THPT Quốc gia 2017 môn Toán trường THPT TH Cao Nguyên – Đăk Lăk

21/05/2017

Đề Thi Thử THPT Môn Toán

Đề thi thử THPT Quốc gia 2017 môn Toán trường THPT Đồng Quan – Hà Nội

21/05/2017

Đề Thi Thử THPT Môn Toán

Đề thi thử THPT Quốc gia 2017 môn Toán sở GD và ĐT Phú Thọ

21/05/2017

Đề Thi Thử THPT Môn Toán

Đề thi thử THPT Quốc gia 2017 môn Toán trường THPT chuyên Lào Cai lần 2

20/05/2017

Đề Thi Thử THPT Môn Toán

Đề thi thử THPT Quốc gia 2017 môn Toán trường THPT Đông Anh – Hà Nội

20/05/2017

Đề Thi Thử THPT Môn Toán

Đề thi thử THPT Quốc gia 2017 môn Toán trường THPT Đống Đa – Hà Nội

20/05/2017

Đề Thi Thử THPT Môn Toán

Đề thi thử THPT Quốc gia 2017 môn Toán trường THPT Lương Thế Vinh – Hà Nội lần 3

20/05/2017

Đề Thi Thử THPT Môn Toán

Đề thi thử THPT Quốc gia 2017 môn Toán trường THPT chuyên Phan Bội Châu – Nghệ An lần 4

19/05/2017

Đề Thi Thử THPT Môn Toán

Đề thi thử THPT Quốc gia 2017 môn Toán trường THPT Nguyễn Huệ – TT. Huế lần 2

18/05/2017

Đề Thi Thử THPT Môn Toán

Đề thi thử THPT Quốc gia 2017 môn Toán sở GD và ĐT Hải Dương

18/05/2017

Đề Thi Thử THPT Môn Toán

Đề thi thử THPT Quốc gia 2017 môn Toán trường THPT Lê Lợi – Thanh Hóa lần 3

18/05/2017

Đề Thi Thử THPT Môn Toán

Đề thi thử THPT Quốc gia 2017 môn Toán sở GD và ĐT Ninh Bình

18/05/2017

Phân trang bài viết

« 1 … 3 4 5 … 20 »

TÌM KIẾM THEO TỪ KHÓA

TÀI LIỆU MỚI NHẤT

  • Tuyển tập bài tập tổ hợp – xác suất hay và khó trong đề thi TN THPT môn Toán
    07/05/2026
  • Đề khảo sát Toán 12 lần 3 năm 2025 – 2026 sở GD&ĐT Ninh Bình
    07/05/2026
  • Đề học kỳ 2 Toán 11 năm 2025 – 2026 trường THPT Việt Đức – Hà Nội
    07/05/2026
  • Đề học kỳ 2 Toán 12 năm 2025 – 2026 trường THPT Việt Đức – Hà Nội
    07/05/2026
  • Đề cuối kỳ 2 Toán 10 năm 2025 – 2026 trường THPT Quế Sơn – Đà Nẵng
    06/05/2026
  • Đề cuối kỳ 2 Toán 11 năm 2025 – 2026 trường THPT Quế Sơn – Đà Nẵng
    06/05/2026

THEO DÕI TRÊN FACEBOOK

  • Facebook
  • Giới Thiệu
  • Chính Sách Bảo Mật
  • Liên Hệ

Copyright © 2026 | TOANMATH.com