TOANMATH.com

Tài liệu và đề thi Toán THPT miễn phí

  • Toán 10
    • Tài liệu Toán 10
    • Đề Cương Toán 10
    • Đề giữa HK1 Toán 10
    • Đề HK1 Toán 10
    • Đề giữa HK2 Toán 10
    • Đề HK2 Toán 10
    • Đề khảo sát Toán 10
    • Đề HSG Toán 10
    • Giáo án Toán 10
    • TIPS Giải Toán 10
  • Toán 11
    • Tài liệu Toán 11
    • Đề Cương Toán 11
    • Đề giữa HK1 Toán 11
    • Đề HK1 Toán 11
    • Đề giữa HK2 Toán 11
    • Đề HK2 Toán 11
    • Đề khảo sát Toán 11
    • Đề HSG Toán 11
    • Giáo án Toán 11
    • TIPS Giải Toán 11
  • Toán 12
    • Tài liệu Toán 12
    • Đề Cương Toán 12
    • Đề giữa HK1 Toán 12
    • Đề HK1 Toán 12
    • Đề giữa HK2 Toán 12
    • Đề HK2 Toán 12
    • Đề khảo sát Toán 12
    • Đề HSG Toán 12
    • Giáo án Toán 12
    • TIPS Giải Toán 12
  • Đề thi THPT
    • Đề thi thử THPT
    • Đề THPT chính thức
    • Đề đánh giá năng lực
    • Tài liệu ôn thi THPT
  • SGK-SBT
    • Sách giáo khoa THPT
    • Sách giáo khoa THCS
  • Toán THCS

Đề Thi Thử THPT Môn Toán 2017

Chuyên mục ĐỀ THI THỬ THPT MÔN TOÁN 2017 bao gồm: Đề Thi Thử Tốt Nghiệp THPT Năm 2017 Môn Toán, Đề Minh Họa Tốt Nghiệp THPT Năm 2017 Môn Toán, Đề Tham Khảo Tốt Nghiệp THPT Năm 2017 Môn Toán … của các trường Trung học Phổ thông, Sở GD&ĐT và Bộ GD&ĐT; giúp học sinh ôn thi tốt nghiệp Trung học Phổ thông Quốc gia, ôn thi tuyển sinh vào các trường Đại học – Cao đẳng.

Các ĐỀ THI THỬ THPT MÔN TOÁN 2017 sẽ được TOANMATH.com cập nhật nhanh nhất và chuẩn xác nhất sau kỳ thi, bao gồm file PDF và file WORD (nếu có), có đầy đủ đáp án và lời giải chi tiết. Quý thầy, cô giáo và bạn đọc có thể chia sẻ thêm ĐỀ THI THỬ THPT MÔN TOÁN 2017 bằng cách gửi về địa chỉ email: toanmath.com@gmail.com, nhằm tạo nguồn đề thi phong phú, đa dạng để các em học sinh tham khảo và rèn luyện.

Đề Thi Thử THPT Môn Toán

Đề kiểm tra cuối cấp THPT năm học 2016 – 2017 môn Toán sở GD và ĐT Sóc Trăng

27/04/2017

Đề Thi Thử THPT Môn Toán

Đề thi thử THPT Quốc gia 2017 môn Toán trường THPT Tam Dương – Vĩnh Phúc

27/04/2017

Đề Thi Thử THPT Môn Toán

Đề thi thử THPT Quốc gia 2017 môn Toán trường THPT chuyên Nguyễn Trãi – Hải Dương lần 3

27/04/2017

Đề Thi Thử THPT Môn Toán

Bộ đề thi thử THPT Quốc gia 2017 môn Toán trường THPT Nam Lương Sơn – Hòa Bình

26/04/2017

Đề Thi Thử THPT Môn Toán

Đề thi thử THPT Quốc gia 2017 môn Toán sở GD – ĐT Bắc Ninh

26/04/2017

Đề Thi Thử THPT Môn Toán

Đề thi thử THPT Quốc gia 2017 môn Toán sở GD và ĐT Hà Nam

26/04/2017

Đề Thi Thử THPT Môn Toán

Đề thi thử THPT Quốc gia 2017 môn Toán trường THPT chuyên Sư Phạm Hà Nội lần 4

26/04/2017

Đề Thi Thử THPT Môn Toán

Đề thi thử THPT Quốc gia 2017 môn Toán trường THPT chuyên Hưng Yên lần 3

25/04/2017

Đề Thi Thử THPT Môn Toán

Bộ đề tham khảo thi thử THPT Quốc gia 2017 môn Toán trường THPT Phan Bội Châu – Lâm Đồng

25/04/2017

Đề Thi Thử THPT Môn Toán

Đề thi thử THPT Quốc gia 2017 môn Toán trường THPT Ngô Sĩ Liên – Bắc Giang lần 3

25/04/2017

Đề Thi Thử THPT Môn Toán

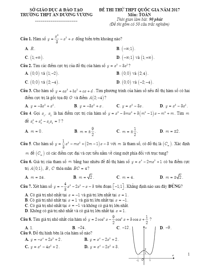
Đề thi đề xuất thi thử THPT Quốc gia 2017 môn Toán trường THPT An Dương Vương – TP. HCM

25/04/2017

Đề Thi Thử THPT Môn Toán

Đề thi thử THPT Quốc gia 2017 môn Toán trường Hòa Bình – TP. HCM

25/04/2017

Đề Thi Thử THPT Môn Toán

Đề thi thử THPT Quốc gia 2017 môn Toán trường THPT Anh Sơn 2 – Nghệ An lần 2

24/04/2017

Đề Thi Thử THPT Môn Toán

Bộ đề 8 điểm thi thử THPT Quốc gia 2017 môn Toán có lời giải chi tiết – Lưu Huy Thưởng

24/04/2017

Đề Thi Thử THPT Môn Toán

Đề thi thử THPT Quốc gia 2017 môn Toán – Nguyễn Viết Sơn (Đề 9)

24/04/2017

Đề Thi Thử THPT Môn Toán

Đề thi thử THPT Quốc gia 2017 môn Toán trường THPT chuyên Thái Nguyên lần 2

24/04/2017

Đề Thi Thử THPT Môn Toán

Đề thi thử THPT Quốc gia 2017 môn Toán trường THPT chuyên Đại học Vinh lần 3

23/04/2017

Đề Thi Thử THPT Môn Toán

Đề thi thử THPT Quốc gia 2017 môn Toán trường THPT chuyên KHTN – Hà Nội lần 5

23/04/2017

Đề Thi Thử THPT Môn Toán

Đề thi thử THPT Quốc gia 2017 môn Toán trường THPT Phan Bội Châu – Đăk Lăk lần 2

23/04/2017

Đề Thi Thử THPT Môn Toán

Tuyển tập 12 đề thi thử THPT Quốc gia 2017 môn Toán có lời giải chi tiết – Nhóm LaTeX (Phần 5)

22/04/2017

Phân trang bài viết

« 1 … 7 8 9 … 20 »

TÌM KIẾM THEO TỪ KHÓA

TÀI LIỆU MỚI NHẤT

  • Đề kiểm tra cuối học kì 2 Toán 12 năm 2025 – 2026 sở GD&ĐT Bắc Ninh
    16/04/2026
  • 50 đề ôn tập kỳ thi tốt nghiệp THPT môn Toán năm học 2025 – 2026
    16/04/2026
  • Đề khảo sát thi tốt nghiệp THPT 2026 môn Toán sở GD&ĐT Hải Phòng
    16/04/2026
  • Đề thi thử tốt nghiệp THPT 2026 môn Toán lần 2 sở GD&ĐT Sơn La
    15/04/2026
  • Đề thi Olympic Toán 10 năm 2025 – 2026 sở GD&ĐT TP Hồ Chí Minh
    15/04/2026
  • Đề thi Olympic Toán 11 năm 2025 – 2026 sở GD&ĐT TP Hồ Chí Minh
    15/04/2026

THEO DÕI TRÊN FACEBOOK

  • Facebook
  • Giới Thiệu
  • Chính Sách Bảo Mật
  • Liên Hệ

Copyright © 2026 | TOANMATH.com