TOANMATH.com

Tài liệu và đề thi Toán THPT miễn phí

  • Toán 10
    • Tài liệu Toán 10
    • Đề Cương Toán 10
    • Đề giữa HK1 Toán 10
    • Đề HK1 Toán 10
    • Đề giữa HK2 Toán 10
    • Đề HK2 Toán 10
    • Đề khảo sát Toán 10
    • Đề HSG Toán 10
    • Giáo án Toán 10
    • TIPS Giải Toán 10
  • Toán 11
    • Tài liệu Toán 11
    • Đề Cương Toán 11
    • Đề giữa HK1 Toán 11
    • Đề HK1 Toán 11
    • Đề giữa HK2 Toán 11
    • Đề HK2 Toán 11
    • Đề khảo sát Toán 11
    • Đề HSG Toán 11
    • Giáo án Toán 11
    • TIPS Giải Toán 11
  • Toán 12
    • Tài liệu Toán 12
    • Đề Cương Toán 12
    • Đề giữa HK1 Toán 12
    • Đề HK1 Toán 12
    • Đề giữa HK2 Toán 12
    • Đề HK2 Toán 12
    • Đề khảo sát Toán 12
    • Đề HSG Toán 12
    • Giáo án Toán 12
    • TIPS Giải Toán 12
  • Đề thi THPT
    • Đề thi thử THPT
    • Đề THPT chính thức
    • Đề đánh giá năng lực
    • Tài liệu ôn thi THPT
  • SGK-SBT
    • Sách giáo khoa THPT
    • Sách giáo khoa THCS
  • Toán THCS

Tháng: Tháng 5 2016

Toán 11

Chọn lọc bài toán xác suất trong các đề thi thử 2016 – Ngô Quang Nghiệp – Trần Văn Tài

09/05/2016

Đề Thi Thử THPT Môn Toán

Đề thi thử THPT Quốc gia 2016 môn Toán trường Nguyễn Diêu – Bình Định

09/05/2016

Đề Thi Thử THPT Môn Toán

Đề thi thử THPT Quốc gia 2016 môn Toán trường Lê Quý Đôn – Bình Định

08/05/2016

Đề Thi Thử THPT Môn Toán

Đề thi thử THPT Quốc gia 2016 môn Toán trường Hoài Ân – Bình Định

08/05/2016

Đề Thi Thử THPT Môn Toán

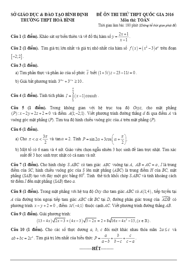
Đề thi thử THPT Quốc gia 2016 môn Toán trường Hòa Bình – Bình Định

08/05/2016

Đề Thi Thử THPT Môn Toán

Đề thi thử THPT Quốc gia 2016 môn Toán Sở GD và ĐT Hà Tĩnh

08/05/2016

Phương Trình - Hệ Phương Trình - Bất Phương Trình

Tuyệt kĩ bấm máy Casio giải phương trình – hệ phương trình – bất phương trình

07/05/2016

Phương Pháp Toạ Độ Trong Không Gian

Giải bài toán hình học không gian bằng phương pháp tọa độ – Trần Đình Cư

07/05/2016

Phương Trình - Hệ Phương Trình - Bất Phương Trình

164 bài toán hệ – bất – phương trình trong các đề thi thử Quốc gia 2016 – Trần Văn Tài

07/05/2016

Phương Trình - Hệ Phương Trình - Bất Phương Trình

Bài tập sử dụng phương pháp hàm số để giải hệ phương trình

04/05/2016

Phương Trình - Hệ Phương Trình - Bất Phương Trình

Bài tập phương pháp lũy thừa giải hệ phương trình có lời giải chi tiết

04/05/2016

Đề Thi Thử THPT Môn Toán

Đề thi thử THPT Quốc gia 2016 môn Toán trường Đặng Thúc Hứa lần 2

03/05/2016

Đề Thi Thử THPT Môn Toán

Đề thi thử THPT Quốc gia 2016 môn Toán trường Đặng Thúc Hứa lần 1

03/05/2016

Phương Pháp Tọa Độ Trong Mặt Phẳng

Vận dụng các tính chất hình học phẳng vào bài toán tọa độ Oxy – Võ Quang Mẫn (Tập 1 – phiên bản 2016)

03/05/2016

Phương Pháp Toạ Độ Trong Không Gian

Ứng dụng phương pháp tọa độ để giải các bài toán hình học không gian

03/05/2016

Đề Thi Thử THPT Môn Toán

Tuyển tập 30 đề thi thử THPT Quốc gia 2016 môn Toán sở GD – ĐT Bình Định

01/05/2016

Phân trang bài viết

« 1 2 3

TÌM KIẾM THEO TỪ KHÓA

TÀI LIỆU MỚI NHẤT

  • Đề thi thử TN THPT 2026 lần 1 môn Toán trường THPT CG-TT-CG2 – Hải Phòng
    16/01/2026
  • Đề thi học sinh giỏi Toán 10 năm 2025 – 2026 trường THPT Cầu Giấy – Hà Nội
    16/01/2026
  • Đề thi thử TN THPT 2026 lần 1 môn Toán trường THPT chuyên Trần Phú – Hải Phòng
    16/01/2026
  • Đề chọn học sinh giỏi tỉnh Toán THPT năm 2025 – 2026 sở GD&ĐT Lâm Đồng
    16/01/2026
  • Đề cuối kì 1 Toán 10 năm 2025 – 2026 trường THPT Trần Cao Vân – Khánh Hòa
    16/01/2026
  • Đề khảo sát Toán 12 lần 1 năm 2025 – 2026 trường THPT Lê Quý Đôn – Hà Nội
    16/01/2026
  • Facebook
  • Giới Thiệu
  • Chính Sách Bảo Mật
  • Liên Hệ

Copyright © 2026 | TOANMATH.com