TOANMATH.com

Tài liệu và đề thi Toán THPT miễn phí

  • Toán 10
    • Tài liệu Toán 10
    • Đề Cương Toán 10
    • Đề giữa HK1 Toán 10
    • Đề HK1 Toán 10
    • Đề giữa HK2 Toán 10
    • Đề HK2 Toán 10
    • Đề khảo sát Toán 10
    • Đề HSG Toán 10
    • Giáo án Toán 10
    • TIPS Giải Toán 10
  • Toán 11
    • Tài liệu Toán 11
    • Đề Cương Toán 11
    • Đề giữa HK1 Toán 11
    • Đề HK1 Toán 11
    • Đề giữa HK2 Toán 11
    • Đề HK2 Toán 11
    • Đề khảo sát Toán 11
    • Đề HSG Toán 11
    • Giáo án Toán 11
    • TIPS Giải Toán 11
  • Toán 12
    • Tài liệu Toán 12
    • Đề Cương Toán 12
    • Đề giữa HK1 Toán 12
    • Đề HK1 Toán 12
    • Đề giữa HK2 Toán 12
    • Đề HK2 Toán 12
    • Đề khảo sát Toán 12
    • Đề HSG Toán 12
    • Giáo án Toán 12
    • TIPS Giải Toán 12
  • Đề thi THPT
    • Đề thi thử THPT
    • Đề THPT chính thức
    • Đề đánh giá năng lực
    • Tài liệu ôn thi THPT
  • SGK-SBT
    • Sách giáo khoa THPT
    • Sách giáo khoa THCS
  • Toán THCS

Tháng: Tháng 5 2018

Đề Thi Thử THPT Môn Toán

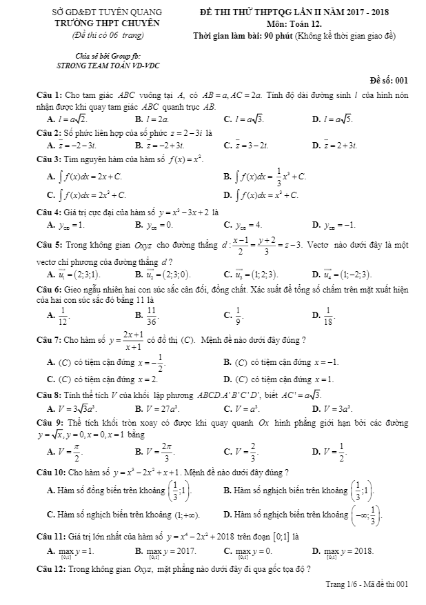
Đề thi thử Toán THPTQG 2018 trường THPT chuyên Tuyên Quang lần 2

26/05/2018

Đề Thi Thử THPT Môn Toán

Đề thi thử Toán THPTQG 2018 trường Đại học Ngoại Thương – Hà Nội lần 7

26/05/2018

Đề Thi Thử THPT Môn Toán

Đề thi thử Toán THPTQG 2018 trường Đại học Ngoại Thương – Hà Nội lần 6

26/05/2018

TIPS Giải Toán 11

Tìm tập xác định của hàm số lượng giác

25/05/2018

Đề Thi Thử THPT Môn Toán

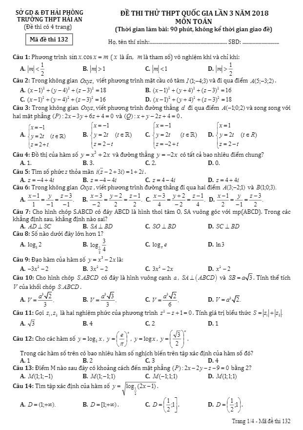
Đề thi thử Toán THPTQG 2018 trường THPT Hải An – Hải Phòng lần 3

25/05/2018

Đề Thi Thử THPT Môn Toán

Đề thi khảo sát Toán 12 năm 2018 trường THPT Lý Thánh Tông – Hà Nội lần 4

25/05/2018

Đạo Hàm

Trắc nghiệm nâng cao đạo hàm – Đặng Việt Đông

25/05/2018

Đề Thi Thử THPT Môn Toán

Đề thi thử Toán THPTQG 2018 trường THPT Thanh Chương 1 – Nghệ An lần 2

25/05/2018

Đề Thi Thử THPT Môn Toán

Đề thi thử Toán THPTQG 2018 trường Đoàn Kết – Hai Bà Trưng – Hà Nội

25/05/2018

TIPS Giải Toán 12

Tìm nguyên hàm bằng phương pháp nguyên hàm từng phần

24/05/2018

Đề Thi Thử THPT Môn Toán

Đề KSCL THPT Quốc gia 2018 môn Toán trường THPT Phước Vĩnh – Bình Dương

24/05/2018

Đề Thi Thử THPT Môn Toán

Đề thi thử THPT Quốc gia 2018 môn Toán sở GD và ĐT Gia Lai

24/05/2018

Hàm Số Lượng Giác Và Phương Trình Lượng Giác

Trắc nghiệm nâng cao hàm số lượng giác và phương trình lượng giác – Đặng Việt Đông

23/05/2018

Giới Hạn - Hàm Số Liên Tục

Trắc nghiệm nâng cao giới hạn – Đặng Việt Đông

23/05/2018

Dãy Số - Cấp Số Cộng Và Cấp Số Nhân

Trắc nghiệm nâng cao dãy số, cấp số cộng và cấp số nhân – Đặng Việt Đông

23/05/2018

Đại Số Tổ Hợp

Trắc nghiệm nâng cao tổ hợp và xác suất – Đặng Việt Đông

23/05/2018

Đề Thi Thử THPT Môn Toán

Đề thi thử Toán THPT Quốc gia 2018 trường THPT chuyên Lê Khiết – Quảng Ngãi lần 2

22/05/2018

Đề Thi Thử THPT Môn Toán

Đề thi thử Toán THPT Quốc gia 2018 sở GD và ĐT Ninh Bình

22/05/2018

Nguyên Hàm – Tích Phân

Chuyên đề nguyên hàm – tích phân và ứng dụng – Bùi Trần Duy Tuấn

22/05/2018

Đề Thi Thử THPT Môn Toán

Đề thi thử Toán THPTQG 2018 trường THPT Lương Thế Vinh – Hà Nội lần 3

22/05/2018

Phân trang bài viết

« 1 2 3 … 7 »

TÌM KIẾM THEO TỪ KHÓA

TÀI LIỆU MỚI NHẤT

  • Tài liệu ôn tập cuối kỳ 2 Toán 10 năm 2025 – 2026 trường THPT Trần Phú – Đà Nẵng
    20/04/2026
  • Tài liệu ôn tập cuối kỳ 2 Toán 11 năm 2025 – 2026 trường THPT Trần Phú – Đà Nẵng
    20/04/2026
  • Tài liệu ôn tập cuối kỳ 2 Toán 12 năm 2025 – 2026 trường THPT Trần Phú – Đà Nẵng
    20/04/2026
  • Đề thi thử TN THPT 2026 môn Toán trường chuyên Lương Văn Chánh – Đắk Lắk
    20/04/2026
  • Đề cương cuối kì 2 Toán 10 năm 2025 – 2026 trường THPT Hướng Hóa – Quảng Trị
    19/04/2026
  • Đề cương cuối kì 2 Toán 11 năm 2025 – 2026 trường THPT Hướng Hóa – Quảng Trị
    19/04/2026

THEO DÕI TRÊN FACEBOOK

  • Facebook
  • Giới Thiệu
  • Chính Sách Bảo Mật
  • Liên Hệ

Copyright © 2026 | TOANMATH.com