TOANMATH.com

Tài liệu và đề thi Toán THPT miễn phí

  • Toán 10
    • Tài liệu Toán 10
    • Đề Cương Toán 10
    • Đề giữa HK1 Toán 10
    • Đề HK1 Toán 10
    • Đề giữa HK2 Toán 10
    • Đề HK2 Toán 10
    • Đề khảo sát Toán 10
    • Đề HSG Toán 10
    • Giáo án Toán 10
    • TIPS Giải Toán 10
  • Toán 11
    • Tài liệu Toán 11
    • Đề Cương Toán 11
    • Đề giữa HK1 Toán 11
    • Đề HK1 Toán 11
    • Đề giữa HK2 Toán 11
    • Đề HK2 Toán 11
    • Đề khảo sát Toán 11
    • Đề HSG Toán 11
    • Giáo án Toán 11
    • TIPS Giải Toán 11
  • Toán 12
    • Tài liệu Toán 12
    • Đề Cương Toán 12
    • Đề giữa HK1 Toán 12
    • Đề HK1 Toán 12
    • Đề giữa HK2 Toán 12
    • Đề HK2 Toán 12
    • Đề khảo sát Toán 12
    • Đề HSG Toán 12
    • Giáo án Toán 12
    • TIPS Giải Toán 12
  • Đề thi THPT
    • Đề thi thử THPT
    • Đề THPT chính thức
    • Đề đánh giá năng lực
    • Tài liệu ôn thi THPT
  • SGK-SBT
    • Sách giáo khoa THPT
    • Sách giáo khoa THCS
  • Toán THCS

Tháng: Tháng 5 2019

Đề Thi Thử THPT Môn Toán

Đề thi diễn tập THPT Quốc gia 2019 môn Toán sở GD&ĐT Đồng Tháp

20/05/2019

Đề Thi HK2 Toán 11

Đề thi học kỳ 2 Toán 11 năm 2018 – 2019 trường THPT Thị xã Quảng Trị

20/05/2019

Đề Thi HK2 Toán 10

Đề thi học kỳ 2 Toán 10 năm 2018 – 2019 trường THPT Thị xã Quảng Trị

20/05/2019

Khảo Sát Chất Lượng Toán 11

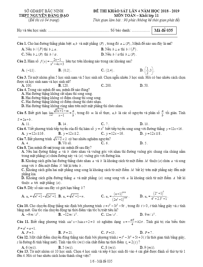
Đề khảo sát Toán 11 lần 4 năm 2018 – 2019 trường Nguyễn Đăng Đạo – Bắc Ninh

20/05/2019

Đề Thi HK2 Toán 12

Đề kiểm tra học kỳ 2 Toán 12 năm 2018 – 2019 trường THPT Trưng Vương – TP HCM

20/05/2019

Đề Thi HK2 Toán 12

Đề kiểm tra học kỳ 2 Toán 12 năm 2018 – 2019 trường THPT Mạc Đĩnh Chi – TP HCM

20/05/2019

Đề Thi HK2 Toán 12

Đề kiểm tra học kỳ 2 Toán 12 năm 2018 – 2019 trường Đào Duy Anh – TP HCM

20/05/2019

Đề Thi HK2 Toán 12

Đề kiểm tra học kỳ 2 Toán 12 năm 2018 – 2019 trường THPT Nguyễn Huệ – TP HCM

20/05/2019

Đề Thi Thử THPT Môn Toán

Đề thi thử THPT QG 2019 môn Toán trường Toàn Thắng – Hải Phòng lần 3

20/05/2019

Khảo Sát Chất Lượng Toán 10

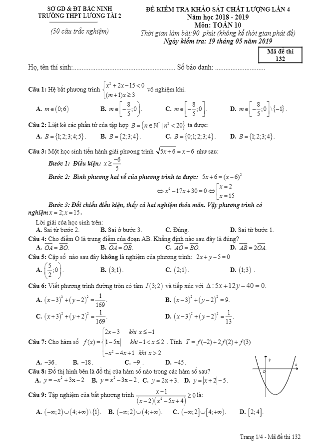
Đề kiểm tra KSCL Toán 10 năm 2018 – 2019 lần 4 trường Lương Tài 2 – Bắc Ninh

20/05/2019

Đề Thi Thử THPT Môn Toán

Đề thi thử THPT Quốc gia 2019 môn Toán trường THPT chuyên Thái Bình lần 5

19/05/2019

Đề Thi Thử THPT Môn Toán

Đề thi thử THPT QG 2019 môn Toán trường Quỳnh Lưu 1 – Nghệ An lần 3

19/05/2019

Nguyên Hàm – Tích Phân

Tuyển tập chuyên đề tích phân và số phức vận dụng cao

19/05/2019

Đề Thi Thử THPT Môn Toán

Đề thi thử Toán THPT QG 2019 trường THPT Ngô Sĩ Liên – Bắc Giang lần 4

19/05/2019

Đề Thi HK2 Toán 12

Đề kiểm tra học kỳ 2 Toán 12 năm 2018 – 2019 trường THPT Thăng Long – TP HCM

19/05/2019

Đề Thi HK2 Toán 12

Đề kiểm tra học kỳ 2 Toán 12 năm 2018 – 2019 trường Albert Einstein – TP HCM

19/05/2019

Đề Thi HK2 Toán 12

Đề kiểm tra học kỳ 2 Toán 12 năm 2018 – 2019 trường Quốc tế Canada – TP HCM

19/05/2019

Đề Thi HK2 Toán 12

Đề kiểm tra học kỳ 2 Toán 12 năm 2018 – 2019 trường Hòa Bình – TP HCM

19/05/2019

Đề Thi Thử THPT Môn Toán

Đề thi thử Toán THPT Quốc gia 2019 lần 3 trường Kinh Môn – Hải Dương

19/05/2019

Đề Thi Thử THPT Môn Toán

Đề thi thử Toán THPTQG 2019 trường chuyên Hạ Long – Quảng Ninh lần 3

18/05/2019

Phân trang bài viết

« 1 2 3 4 … 10 »

TÌM KIẾM THEO TỪ KHÓA

TÀI LIỆU MỚI NHẤT

  • Đề khảo sát Toán 12 lần 3 năm 2025 – 2026 trường THPT Khương Đình – Hà Nội
    15/05/2026
  • Đề thi thử TN THPT 2026 môn Toán lần 3 trường chuyên Lê Hồng Phong – Ninh Bình
    15/05/2026
  • Đề thi thử tốt nghiệp THPT 2026 môn Toán sở GD&ĐT Hà Tĩnh
    14/05/2026
  • Đề thi thử tốt nghiệp THPT năm 2026 môn Toán sở GD&ĐT Lâm Đồng
    14/05/2026
  • Đề ôn thi tốt nghiệp THPT 2026 môn Toán trường THPT Nguyễn Thị Diệu – TP HCM
    14/05/2026
  • Đề khảo sát Toán 12 lần 3 năm 2025 – 2026 trường THPT Kim Liên – Hà Nội
    14/05/2026

THEO DÕI TRÊN FACEBOOK

  • Facebook
  • Giới Thiệu
  • Chính Sách Bảo Mật
  • Liên Hệ

Copyright © 2026 | TOANMATH.com