TOANMATH.com

Tài liệu và đề thi Toán THPT miễn phí

  • Toán 10
    • Tài liệu Toán 10
    • Đề Cương Toán 10
    • Đề giữa HK1 Toán 10
    • Đề HK1 Toán 10
    • Đề giữa HK2 Toán 10
    • Đề HK2 Toán 10
    • Đề khảo sát Toán 10
    • Đề HSG Toán 10
    • Giáo án Toán 10
    • TIPS Giải Toán 10
  • Toán 11
    • Tài liệu Toán 11
    • Đề Cương Toán 11
    • Đề giữa HK1 Toán 11
    • Đề HK1 Toán 11
    • Đề giữa HK2 Toán 11
    • Đề HK2 Toán 11
    • Đề khảo sát Toán 11
    • Đề HSG Toán 11
    • Giáo án Toán 11
    • TIPS Giải Toán 11
  • Toán 12
    • Tài liệu Toán 12
    • Đề Cương Toán 12
    • Đề giữa HK1 Toán 12
    • Đề HK1 Toán 12
    • Đề giữa HK2 Toán 12
    • Đề HK2 Toán 12
    • Đề khảo sát Toán 12
    • Đề HSG Toán 12
    • Giáo án Toán 12
    • TIPS Giải Toán 12
  • Đề thi THPT
    • Đề thi thử THPT
    • Đề THPT chính thức
    • Đề đánh giá năng lực
    • Tài liệu ôn thi THPT
  • SGK-SBT
    • Sách giáo khoa THPT
    • Sách giáo khoa THCS
  • Toán THCS

Tháng: Tháng 5 2019

Đề Thi HK2 Toán 11

Đề thi học kì 2 Toán 11 năm học 2018 – 2019 sở GD&ĐT Quảng Bình

18/05/2019

Đề Thi HK2 Toán 10

Đề thi học kì 2 Toán 10 năm học 2018 – 2019 sở GD&ĐT Quảng Bình

18/05/2019

Đề Thi Thử THPT Môn Toán

Đề khảo sát chất lượng Toán 12 năm 2019 sở GD&ĐT Cần Thơ

18/05/2019

Khảo Sát Và Vẽ Đồ Thị Hàm Số

Chuyên đề bảng biến thiên và đồ thị hàm số – Đặng Việt Đông

18/05/2019

Đề Thi Thử THPT Môn Toán

Bộ đề ôn tập thi THPTQG 2019 môn Toán sở GD&ĐT Vĩnh Long

17/05/2019

Đề Thi HSG Toán 11

Đề thi HSG Toán 11 năm 2018 – 2019 trường Nguyễn Đức Cảnh – Thái Bình

17/05/2019

Đề Thi HSG Toán 10

Đề thi HSG Toán 10 năm 2018 – 2019 trường Nguyễn Đức Cảnh – Thái Bình

17/05/2019

Đề Thi HK2 Toán 11

Đề thi học kỳ 2 Toán 11 năm 2018 – 2019 trường Thống Nhất A – Đồng Nai

17/05/2019

Đề Thi HK2 Toán 10

Đề thi học kỳ 2 Toán 10 năm 2018 – 2019 trường Thống Nhất A – Đồng Nai

17/05/2019

Đề Thi HK2 Toán 11

Đề thi HK2 Toán 11 năm 2018 – 2019 trường Nguyễn Quang Diêu – An Giang

17/05/2019

Đề Thi Thử THPT Môn Toán

Đề thi thử Toán THPTQG 2019 lần 1 trường chuyên Lê Hồng Phong – Nam Định

17/05/2019

Đề Thi Thử THPT Môn Toán

Tuyển chọn 35 đề thi thử THPTQG 2019 môn Toán có lời giải chi tiết

17/05/2019

Đề Thi Thử THPT Môn Toán

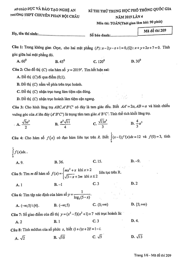
Đề thi thử Toán THPTQG 2019 trường chuyên Phan Bội Châu – Nghệ An lần 4

16/05/2019

Đề Thi HK2 Toán 11

Đề kiểm tra chất lượng Toán 11 năm 2018 – 2019 sở GD&ĐT Bắc Ninh

16/05/2019

Đề Thi HK2 Toán 10

Đề kiểm tra chất lượng Toán 10 năm 2018 – 2019 sở GD&ĐT Bắc Ninh

16/05/2019

Đề Thi Thử THPT Môn Toán

Đề thi thử THPT Quốc gia môn Toán năm 2019 sở GD&ĐT Tiền Giang

16/05/2019

Đề Thi Thử THPT Môn Toán

Đề thi thử Toán THPT Quốc gia 2019 trường THPT Tô Hiến Thành – Thanh Hóa

16/05/2019

Đề Thi Thử THPT Môn Toán

Đề thi thử Toán THPTQG 2019 trường chuyên Huỳnh Mẫn Đạt – Kiên Giang

16/05/2019

Đề Thi Thử THPT Môn Toán

Đề KSCL môn Toán thi ĐH 2019 trường THPT Hàm Rồng – Thanh Hóa lần 3

16/05/2019

Đề Thi HK2 Toán 10

Đề thi HK2 Toán 10 năm 2018 – 2019 trường Lê Hồng Phong – Khánh Hòa

16/05/2019

Phân trang bài viết

« 1 … 3 4 5 … 10 »

TÌM KIẾM THEO TỪ KHÓA

TÀI LIỆU MỚI NHẤT

  • Đề khảo sát Toán 12 lần 3 năm 2025 – 2026 trường THPT Khương Đình – Hà Nội
    15/05/2026
  • Đề thi thử TN THPT 2026 môn Toán lần 3 trường chuyên Lê Hồng Phong – Ninh Bình
    15/05/2026
  • Đề thi thử tốt nghiệp THPT 2026 môn Toán sở GD&ĐT Hà Tĩnh
    14/05/2026
  • Đề thi thử tốt nghiệp THPT năm 2026 môn Toán sở GD&ĐT Lâm Đồng
    14/05/2026
  • Đề ôn thi tốt nghiệp THPT 2026 môn Toán trường THPT Nguyễn Thị Diệu – TP HCM
    14/05/2026
  • Đề khảo sát Toán 12 lần 3 năm 2025 – 2026 trường THPT Kim Liên – Hà Nội
    14/05/2026

THEO DÕI TRÊN FACEBOOK

  • Facebook
  • Giới Thiệu
  • Chính Sách Bảo Mật
  • Liên Hệ

Copyright © 2026 | TOANMATH.com