TOANMATH.com

Tài liệu và đề thi Toán THPT miễn phí

  • Toán 10
    • Tài liệu Toán 10
    • Đề Cương Toán 10
    • Đề giữa HK1 Toán 10
    • Đề HK1 Toán 10
    • Đề giữa HK2 Toán 10
    • Đề HK2 Toán 10
    • Đề khảo sát Toán 10
    • Đề HSG Toán 10
    • Giáo án Toán 10
    • TIPS Giải Toán 10
  • Toán 11
    • Tài liệu Toán 11
    • Đề Cương Toán 11
    • Đề giữa HK1 Toán 11
    • Đề HK1 Toán 11
    • Đề giữa HK2 Toán 11
    • Đề HK2 Toán 11
    • Đề khảo sát Toán 11
    • Đề HSG Toán 11
    • Giáo án Toán 11
    • TIPS Giải Toán 11
  • Toán 12
    • Tài liệu Toán 12
    • Đề Cương Toán 12
    • Đề giữa HK1 Toán 12
    • Đề HK1 Toán 12
    • Đề giữa HK2 Toán 12
    • Đề HK2 Toán 12
    • Đề khảo sát Toán 12
    • Đề HSG Toán 12
    • Giáo án Toán 12
    • TIPS Giải Toán 12
  • Đề thi THPT
    • Đề thi thử THPT
    • Đề THPT chính thức
    • Đề đánh giá năng lực
    • Tài liệu ôn thi THPT
  • SGK-SBT
    • Sách giáo khoa THPT
    • Sách giáo khoa THCS
  • Toán THCS

Tháng: Tháng 5 2023

Đề Thi HK2 Toán 10

Đề tham khảo cuối HK2 Toán 10 năm 2022 – 2023 trường Pétrus Ký – Bình Dương

07/05/2023

Đề Thi HK2 Toán 10

Đề học kỳ 2 Toán 10 năm 2022 – 2023 trường THCS – THPT Bàu Hàm – Đồng Nai

07/05/2023

Đề Thi HK2 Toán 10

Đề ôn tập học kỳ 2 Toán 10 năm 2022 – 2023 trường Long Thạnh – Kiên Giang

07/05/2023

Đề Thi HK2 Toán 12

Đề cuối kỳ 2 Toán 12 năm 2022 – 2023 trường THPT Trần Quốc Tuấn – Kon Tum

06/05/2023

Đề Thi HK2 Toán 10

Đề kiểm tra cuối học kì 2 Toán 10 năm 2022 – 2023 sở GD&ĐT Sơn La

06/05/2023

Đề Thi Thử THPT Môn Toán

Đề thi thử Toán TN THPT 2023 lần 2 trường chuyên Hoàng Văn Thụ – Hòa Bình

06/05/2023

Đề Thi HK2 Toán 10

Đề học kỳ 2 Toán 10 năm 2022 – 2023 trường THPT Nguyễn Thị Minh Khai – TP HCM

06/05/2023

Đề Thi HK2 Toán 10

Đề cuối kì 2 Toán 10 năm 2022 – 2023 trường THPT Gia Định – TP HCM

06/05/2023

Đề Thi HK2 Toán 11

Đề cuối kì 2 Toán 11 năm 2022 – 2023 trường THPT Gia Định – TP HCM

06/05/2023

Đề Thi HK2 Toán 12

Đề cuối kì 2 Toán 12 năm 2022 – 2023 trường THPT Gia Định – TP HCM

06/05/2023

Đề Thi HK2 Toán 12

Đề kiểm tra học kỳ 2 Toán 12 năm 2022 – 2023 sở GD&ĐT Đồng Nai

05/05/2023

Đề Thi HK2 Toán 11

Đề học kì 2 Toán 11 năm 2022 – 2023 trường chuyên Lương Thế Vinh – Đồng Nai

05/05/2023

Đề Thi HK2 Toán 10

Đề cuối kì 2 Toán 10 năm 2022 – 2023 trường THPT Triệu Quang Phục – Hưng Yên

05/05/2023

Đề Thi Thử THPT Môn Toán

Đề thi thử tốt nghiệp THPT năm 2023 môn Toán sở GD&ĐT Quảng Bình

05/05/2023

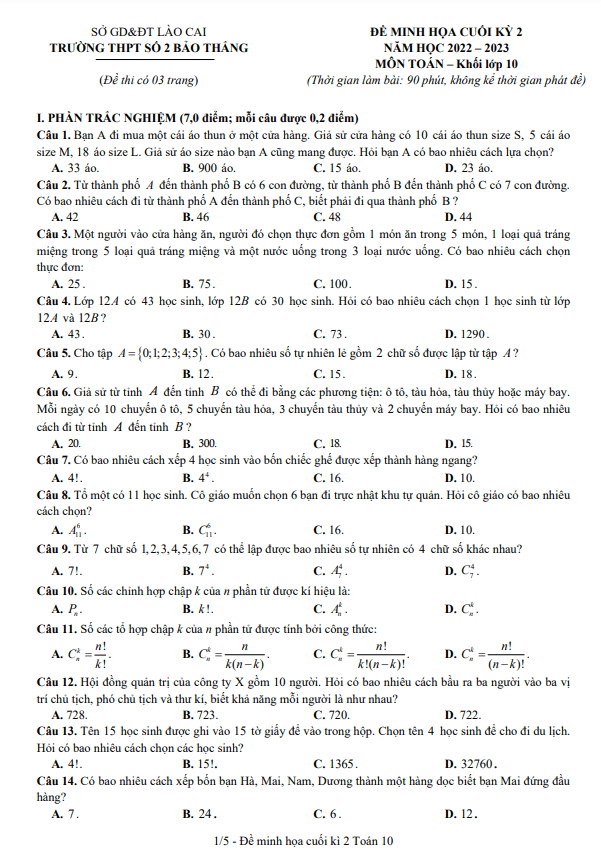
Đề Thi HK2 Toán 10

Đề minh họa cuối kỳ 2 Toán 10 năm 2022 – 2023 trường THPT Bảo Thắng 2 – Lào Cai

05/05/2023

Đề Thi HSG Toán 11

Đề học sinh giỏi Toán 11 THPT năm 2022 – 2023 sở GD&ĐT Vĩnh Phúc

05/05/2023

Đề Thi HSG Toán 10

Đề học sinh giỏi Toán 10 THPT năm 2022 – 2023 sở GD&ĐT Vĩnh Phúc

05/05/2023

Đề Thi HK2 Toán 10

Đề cuối học kì 2 Toán 10 năm 2022 – 2023 sở GD&ĐT Bắc Giang

05/05/2023

Đề Thi HK2 Toán 10

Đề học kì 2 Toán 10 năm 2022 – 2023 trường THPT Củ Chi – TP HCM

03/05/2023

Đề Thi HK2 Toán 10

Đề học kỳ 2 Toán 10 năm 2022 – 2023 trường THPT Phạm Phú Thứ – TP HCM

03/05/2023

Phân trang bài viết

« 1 … 11 12 13 14 »

TÌM KIẾM THEO TỪ KHÓA

TÀI LIỆU MỚI NHẤT

  • Đề cuối học kỳ 2 Toán 10 năm 2025 – 2026 trường THPT Ngô Gia Tự 1 – Đắk Lắk
    17/05/2026
  • Đề cuối học kỳ 2 Toán 11 năm 2025 – 2026 trường THPT Ngô Gia Tự 1 – Đắk Lắk
    17/05/2026
  • Đề cuối học kỳ 2 Toán 12 năm 2025 – 2026 trường THPT Ngô Gia Tự 1 – Đắk Lắk
    17/05/2026
  • Đề thi thử TN THPT 2026 môn Toán lần 2 trường THPT Hai Bà Trưng – Huế
    17/05/2026
  • Đề thi thử TN THPT 2026 môn Toán lần 3 trường THPT Trần Phú – Quảng Ninh
    17/05/2026
  • Đề cuối kì 2 Toán 11 năm 2025 – 2026 trường THPT Lê Quý Đôn – Quảng Ngãi
    17/05/2026

THEO DÕI TRÊN FACEBOOK

  • Facebook
  • Giới Thiệu
  • Chính Sách Bảo Mật
  • Liên Hệ

Copyright © 2026 | TOANMATH.com