TOANMATH.com

Tài liệu và đề thi Toán THPT miễn phí

  • Toán 10
    • Tài liệu Toán 10
    • Đề Cương Toán 10
    • Đề giữa HK1 Toán 10
    • Đề HK1 Toán 10
    • Đề giữa HK2 Toán 10
    • Đề HK2 Toán 10
    • Đề khảo sát Toán 10
    • Đề HSG Toán 10
    • Giáo án Toán 10
    • TIPS Giải Toán 10
  • Toán 11
    • Tài liệu Toán 11
    • Đề Cương Toán 11
    • Đề giữa HK1 Toán 11
    • Đề HK1 Toán 11
    • Đề giữa HK2 Toán 11
    • Đề HK2 Toán 11
    • Đề khảo sát Toán 11
    • Đề HSG Toán 11
    • Giáo án Toán 11
    • TIPS Giải Toán 11
  • Toán 12
    • Tài liệu Toán 12
    • Đề Cương Toán 12
    • Đề giữa HK1 Toán 12
    • Đề HK1 Toán 12
    • Đề giữa HK2 Toán 12
    • Đề HK2 Toán 12
    • Đề khảo sát Toán 12
    • Đề HSG Toán 12
    • Giáo án Toán 12
    • TIPS Giải Toán 12
  • Đề thi THPT
    • Đề thi thử THPT
    • Đề THPT chính thức
    • Đề đánh giá năng lực
    • Tài liệu ôn thi THPT
  • SGK-SBT
    • Sách giáo khoa THPT
    • Sách giáo khoa THCS
  • Toán THCS

Đề Thi HK1 Toán 11

Tổng hợp ĐỀ THI HK1 TOÁN 11 có đáp án và lời giải chi tiết của các trường Trung học Phổ thông, Sở Giáo dục và Đào tạo trên toàn quốc (File PDF). Các ĐỀ THI HK1 TOÁN 11 mới nhất sẽ được cập nhật liên tục và nhanh nhất có thể sau khi kỳ thi diễn ra, đáp án và lời giải chi tiết cũng sẽ được TOANMATH.com cập nhật sau đó nhằm giúp bạn đọc thuận tiện trong việc tra cứu và đối chiếu đáp án.

File WORD các ĐỀ THI CUỐI HỌC KÌ 1 TOÁN 11 (nếu có) được đính kèm trong nội dung bài viết, nhằm giúp quý thầy, cô giáo có thể tải xuống miễn phí, phục vụ cho quá trình biên soạn và giảng dạy. Quý thầy, cô giáo và bạn đọc có thể chia sẻ thêm ĐỀ THI CUỐI HỌC KÌ 1 TOÁN 11 bằng cách gửi về địa chỉ email: toanmath.com@gmail.com, nhằm tạo nguồn đề thi phong phú, đa dạng để các em học sinh lớp 11 tham khảo và rèn luyện.

Đề Thi HK1 Toán 11

Đề thi HK1 Toán 11 năm 2020 – 2021 trường THPT Nguyễn Gia Thiều – Hà Nội

30/12/2020

Đề Thi HK1 Toán 11

Đề thi học kì 1 Toán 11 năm học 2020 – 2021 sở GD&ĐT Hà Nam

30/12/2020

Đề Thi HK1 Toán 11

Đề thi HK1 Toán 11 năm 2020 – 2021 trường Phổ thông Năng khiếu – TP HCM

30/12/2020

Đề Thi HK1 Toán 11

Đề thi HK1 Toán 11 năm 2020 – 2021 trường THPT Phan Chu Trinh – Đắk Lắk

29/12/2020

Đề Thi HK1 Toán 11

Đề kiểm tra cuối học kì 1 Toán 11 năm 2020 – 2021 sở GD&ĐT Kon Tum

29/12/2020

Đề Thi HK1 Toán 11

Đề thi học kỳ 1 Toán 11 năm học 2020 – 2021 sở GD&ĐT Nam Định

28/12/2020

Đề Thi HK1 Toán 11

Đề thi HK1 Toán 11 năm 2020 – 2021 trường THPT chuyên Lê Quý Đôn – Khánh Hòa

28/12/2020

Đề Thi HK1 Toán 11

Đề thi HK1 Toán 11 năm 2020 – 2021 trường THPT Phan Ngọc Hiển – Cà Mau

27/12/2020

Đề Thi HK1 Toán 11

Tuyển tập một số đề thi học kì 1 Toán 11 năm 2020 – 2021 – Bùi Đình Thông

27/12/2020

Đề Thi HK1 Toán 11

Đề thi học kỳ 1 Toán 11 năm 2020 – 2021 trường Nguyễn Tất Thành – Hà Nội

25/12/2020

Đề Thi HK1 Toán 11

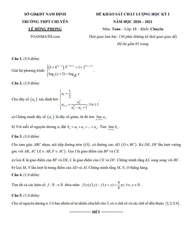
Đề thi HK1 Toán 11 chuyên năm 2020 – 2021 trường chuyên Lê Hồng Phong – Nam Định

23/12/2020

Đề Thi HK1 Toán 11

Đề thi học kì 1 Toán 11 năm 2020 – 2021 trường THPT chuyên Hà Nội – Amsterdam

21/12/2020

Đề Thi HK1 Toán 11

Đề thi HK1 Toán 11 năm 2020 – 2021 trường THPT Nguyễn Thị Minh Khai – TP HCM

21/12/2020

Đề Thi HK1 Toán 11

Đề thi học kỳ 1 Toán 11 năm 2020 – 2021 trường chuyên Lê Hồng Phong – TP HCM

16/12/2020

Đề Thi HK1 Toán 11

Bộ đề trắc nghiệm kết hợp tự luận ôn tập cuối học kì 1 Toán 11

15/12/2020

Đề Thi HK1 Toán 11

15 đề ôn tập học kỳ 1 Toán 11 năm học 2020 – 2021 – Đặng Việt Đông

11/12/2020

Đề Thi HK1 Toán 10

Bộ đề ôn tập cuối kì 1 môn Toán khối 10 và khối 11 năm học 2020 – 2021

09/12/2020

Đề Thi HK1 Toán 11

Đề thi cuối học kì 1 Toán 11 năm 2019 – 2020 trường THPT Phước Long – TP HCM

21/01/2020

Đề Thi HK1 Toán 11

Đề thi cuối học kì 1 Toán 11 năm 2019 – 2020 trường THPT Nguyễn Hữu Huân – TP HCM

21/01/2020

Đề Thi HK1 Toán 11

Đề thi cuối học kì 1 Toán 11 năm 2019 – 2020 trường THPT Phan Đăng Lưu – TP HCM

21/01/2020

Phân trang bài viết

« 1 … 16 17 18 … 27 »

TÌM KIẾM THEO TỪ KHÓA

TÀI LIỆU MỚI NHẤT

  • Đề ôn tập CK2 Toán 12 năm 2025 – 2026 trường chuyên Lương Văn Chánh – Đắk Lắk
    26/04/2026
  • Đề cuối học kỳ 2 Toán 11 năm 2025 – 2026 sở GD&ĐT Hưng Yên
    26/04/2026
  • Đề ôn tập HK2 Toán 10 năm 2025 – 2026 trường THPT Triệu Quang Phục – Hưng Yên
    26/04/2026
  • Đề ôn tập HK2 Toán 11 năm 2025 – 2026 trường THPT Triệu Quang Phục – Hưng Yên
    26/04/2026
  • Đề học kì 2 Toán 11 năm 2025 – 2026 trường Trần Cao Vân – TP HCM
    26/04/2026
  • Đề cuối học kì 2 Toán 11 năm 2025 – 2026 trường THPT Tân Bình – TP HCM
    26/04/2026

THEO DÕI TRÊN FACEBOOK

  • Facebook
  • Giới Thiệu
  • Chính Sách Bảo Mật
  • Liên Hệ

Copyright © 2026 | TOANMATH.com