TOANMATH.com

Tài liệu và đề thi Toán THPT miễn phí

  • Toán 10
    • Tài liệu Toán 10
    • Đề Cương Toán 10
    • Đề giữa HK1 Toán 10
    • Đề HK1 Toán 10
    • Đề giữa HK2 Toán 10
    • Đề HK2 Toán 10
    • Đề khảo sát Toán 10
    • Đề HSG Toán 10
    • Giáo án Toán 10
    • TIPS Giải Toán 10
  • Toán 11
    • Tài liệu Toán 11
    • Đề Cương Toán 11
    • Đề giữa HK1 Toán 11
    • Đề HK1 Toán 11
    • Đề giữa HK2 Toán 11
    • Đề HK2 Toán 11
    • Đề khảo sát Toán 11
    • Đề HSG Toán 11
    • Giáo án Toán 11
    • TIPS Giải Toán 11
  • Toán 12
    • Tài liệu Toán 12
    • Đề Cương Toán 12
    • Đề giữa HK1 Toán 12
    • Đề HK1 Toán 12
    • Đề giữa HK2 Toán 12
    • Đề HK2 Toán 12
    • Đề khảo sát Toán 12
    • Đề HSG Toán 12
    • Giáo án Toán 12
    • TIPS Giải Toán 12
  • Đề thi THPT
    • Đề thi thử THPT
    • Đề THPT chính thức
    • Đề đánh giá năng lực
    • Tài liệu ôn thi THPT
  • SGK-SBT
    • Sách giáo khoa THPT
    • Sách giáo khoa THCS
  • Toán THCS

Đề Thi HK1 Toán 11

Tổng hợp ĐỀ THI HK1 TOÁN 11 có đáp án và lời giải chi tiết của các trường Trung học Phổ thông, Sở Giáo dục và Đào tạo trên toàn quốc (File PDF). Các ĐỀ THI HK1 TOÁN 11 mới nhất sẽ được cập nhật liên tục và nhanh nhất có thể sau khi kỳ thi diễn ra, đáp án và lời giải chi tiết cũng sẽ được TOANMATH.com cập nhật sau đó nhằm giúp bạn đọc thuận tiện trong việc tra cứu và đối chiếu đáp án.

File WORD các ĐỀ THI CUỐI HỌC KÌ 1 TOÁN 11 (nếu có) được đính kèm trong nội dung bài viết, nhằm giúp quý thầy, cô giáo có thể tải xuống miễn phí, phục vụ cho quá trình biên soạn và giảng dạy. Quý thầy, cô giáo và bạn đọc có thể chia sẻ thêm ĐỀ THI CUỐI HỌC KÌ 1 TOÁN 11 bằng cách gửi về địa chỉ email: toanmath.com@gmail.com, nhằm tạo nguồn đề thi phong phú, đa dạng để các em học sinh lớp 11 tham khảo và rèn luyện.

Đề Thi HK1 Toán 11

Đề thi học kì 1 Toán 11 năm 2019 – 2020 trường THPT Phú Quốc – Kiên Giang

27/12/2019

Đề Thi HK1 Toán 11

Đề thi HK1 Toán 11 năm 2019 – 2020 trường chuyên Thăng Long – Lâm Đồng

26/12/2019

Đề Thi HK1 Toán 11

Đề thi học kỳ 1 Toán 11 năm 2019 – 2020 trường THPT Quốc Oai – Hà Nội

25/12/2019

Đề Thi HK1 Toán 11

Đề thi HKI Toán 11 năm 2019 – 2020 trường THPT Ngô Gia Tự – Đắk Lắk

24/12/2019

Đề Thi HK1 Toán 11

Đề thi học kì 1 Toán 11 năm 2019 – 2020 trường Nguyễn Chí Thanh – TP HCM

22/12/2019

Đề Thi HK1 Toán 11

Đề thi HK1 Toán 11 năm 2019 – 2020 trường THPT Lê Quý Đôn – Quảng Ninh

22/12/2019

Đề Thi HK1 Toán 11

Đề thi HK1 Toán 11 năm học 2019 – 2020 sở GD&ĐT Bà Rịa – Vũng Tàu

21/12/2019

Đề Thi HK1 Toán 11

Đề thi học kì 1 Toán 11 năm 2019 – 2020 trường THPT Trần Phú – Hà Nội

21/12/2019

Đề Thi HK1 Toán 11

Đề thi học kỳ 1 Toán 11 năm 2019 – 2020 trường THPT chuyên Tiền Giang

21/12/2019

Đề Thi HK1 Toán 11

Đề thi HK1 Toán 11 năm học 2019 – 2020 sở GDKHCN Bạc Liêu

20/12/2019

Đề Thi HK1 Toán 11

Đề thi HK1 Toán 11 năm 2019 – 2020 trường THPT chuyên Hà Nội – Amsterdam

19/12/2019

Đề Thi HK1 Toán 11

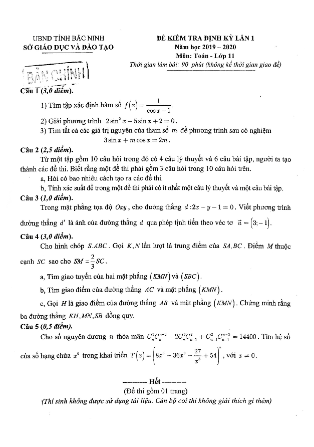
Đề kiểm tra định kỳ lần 1 Toán 11 năm 2019 – 2020 sở GD&ĐT Bắc Ninh

17/12/2019

Đề Thi HK1 Toán 11

Đề thi học kỳ 1 Toán 11 năm học 2019 – 2020 sở GD&ĐT Vĩnh Phúc

17/12/2019

Đề Thi HK1 Toán 11

Đề thi HK1 Toán 11 năm 2019 – 2020 trường Đinh Tiên Hoàng – TP HCM

16/12/2019

Đề Thi HK1 Toán 11

Đề kiểm tra học kỳ 1 Toán 11 năm 2019 – 2020 trường THPT Bình Tân – TP HCM

14/12/2019

Đề Thi HK1 Toán 11

Đề thi HK1 Toán 11 năm 2019 – 2020 trường THPT Dương Văn Dương – TP HCM

13/12/2019

Đề Thi HK1 Toán 11

Đề thi HK1 Toán 11 năm 2019 – 2020 trường chuyên Hạ Long – Quảng Ninh

13/12/2019

Đề Thi HK1 Toán 11

Đề thi học kì 1 Toán 11 năm 2019 – 2020 trường THPT An Lạc – TP HCM

12/12/2019

Đề Thi HK1 Toán 11

Đề kiểm tra học kì 1 Toán 11 năm 2019 – 2020 trường Albert Einstein – TP HCM

12/12/2019

Đề Thi HK1 Toán 11

Đề thi học kì 1 Toán 11 năm 2019 – 2020 trường THPT chuyên ĐHSP Hà Nội

12/12/2019

Phân trang bài viết

« 1 … 19 20 21 … 27 »

TÌM KIẾM THEO TỪ KHÓA

TÀI LIỆU MỚI NHẤT

  • Đề ôn tập CK2 Toán 12 năm 2025 – 2026 trường chuyên Lương Văn Chánh – Đắk Lắk
    26/04/2026
  • Đề cuối học kỳ 2 Toán 11 năm 2025 – 2026 sở GD&ĐT Hưng Yên
    26/04/2026
  • Đề ôn tập HK2 Toán 10 năm 2025 – 2026 trường THPT Triệu Quang Phục – Hưng Yên
    26/04/2026
  • Đề ôn tập HK2 Toán 11 năm 2025 – 2026 trường THPT Triệu Quang Phục – Hưng Yên
    26/04/2026
  • Đề học kì 2 Toán 11 năm 2025 – 2026 trường Trần Cao Vân – TP HCM
    26/04/2026
  • Đề cuối học kì 2 Toán 11 năm 2025 – 2026 trường THPT Tân Bình – TP HCM
    26/04/2026

THEO DÕI TRÊN FACEBOOK

  • Facebook
  • Giới Thiệu
  • Chính Sách Bảo Mật
  • Liên Hệ

Copyright © 2026 | TOANMATH.com