TOANMATH.com

Tài liệu và đề thi Toán THPT miễn phí

  • Toán 10
    • Tài liệu Toán 10
    • Đề Cương Toán 10
    • Đề giữa HK1 Toán 10
    • Đề HK1 Toán 10
    • Đề giữa HK2 Toán 10
    • Đề HK2 Toán 10
    • Đề khảo sát Toán 10
    • Đề HSG Toán 10
    • Giáo án Toán 10
    • TIPS Giải Toán 10
  • Toán 11
    • Tài liệu Toán 11
    • Đề Cương Toán 11
    • Đề giữa HK1 Toán 11
    • Đề HK1 Toán 11
    • Đề giữa HK2 Toán 11
    • Đề HK2 Toán 11
    • Đề khảo sát Toán 11
    • Đề HSG Toán 11
    • Giáo án Toán 11
    • TIPS Giải Toán 11
  • Toán 12
    • Tài liệu Toán 12
    • Đề Cương Toán 12
    • Đề giữa HK1 Toán 12
    • Đề HK1 Toán 12
    • Đề giữa HK2 Toán 12
    • Đề HK2 Toán 12
    • Đề khảo sát Toán 12
    • Đề HSG Toán 12
    • Giáo án Toán 12
    • TIPS Giải Toán 12
  • Đề thi THPT
    • Đề thi thử THPT
    • Đề THPT chính thức
    • Đề đánh giá năng lực
    • Tài liệu ôn thi THPT
  • SGK-SBT
    • Sách giáo khoa THPT
    • Sách giáo khoa THCS
  • Toán THCS

Đề Thi Giữa HK1 Toán 11

Tổng hợp ĐỀ THI GIỮA HK1 TOÁN 11 có đáp án và lời giải chi tiết của các trường Trung học Phổ thông, Sở Giáo dục và Đào tạo trên toàn quốc (File PDF). Các ĐỀ THI GIỮA HK1 TOÁN 11 mới nhất sẽ được cập nhật liên tục và nhanh nhất có thể sau khi kỳ thi diễn ra, đáp án và lời giải chi tiết cũng sẽ được TOANMATH.com cập nhật sau đó nhằm giúp bạn đọc thuận tiện trong việc tra cứu và đối chiếu đáp án.

File WORD các ĐỀ THI GIỮA HỌC KÌ 1 TOÁN 11 (nếu có) được đính kèm trong nội dung bài viết, nhằm giúp quý thầy, cô giáo có thể tải xuống miễn phí, phục vụ cho quá trình biên soạn và giảng dạy. Quý thầy, cô giáo và bạn đọc có thể chia sẻ thêm ĐỀ THI GIỮA HỌC KÌ 1 TOÁN 11 bằng cách gửi về địa chỉ email: toanmath.com@gmail.com, nhằm tạo nguồn đề thi phong phú, đa dạng để các em học sinh lớp 11 tham khảo và rèn luyện.

Đề Thi Giữa HK1 Toán 11

Đề thi giữa HK1 Toán 11 năm 2019 – 2020 trường THPT Yên Phong 1 – Bắc Ninh

12/11/2019

Đề Thi Giữa HK1 Toán 11

Đề khảo sát giữa kỳ 1 Toán 11 năm 2019 – 2020 trường Tiên Du 1 – Bắc Ninh

05/11/2019

Đề Thi Giữa HK1 Toán 11

Đề kiểm tra giữa HK1 Toán 11 năm 2019 – 2020 trường Chu Văn An – Hà Nội

01/11/2019

Đề Thi Giữa HK1 Toán 11

Đề kiểm tra giữa kỳ 1 Toán 11 năm 2019 – 2020 trường Nguyễn Khuyến – Nam Định

31/10/2019

Đề Thi Giữa HK1 Toán 11

Đề kiểm tra giữa kỳ 1 Toán 11 năm 2019 – 2020 trường Lý Thái Tổ – Bắc Ninh

29/10/2019

Đề Thi Giữa HK1 Toán 11

Đề kiểm tra giữa kì 1 Toán 11 năm 2019 – 2020 trường THPT Việt Đức – Hà Nội

26/10/2019

Đề Thi Giữa HK1 Toán 11

Đề kiểm tra giữa HK1 Toán 11 năm 2019 – 2020 trường Nguyễn Chí Thanh – TP HCM

23/10/2019

Đề Thi Giữa HK1 Toán 11

Đề kiểm tra giữa học kỳ 1 Toán 11 năm 2019 – 2020 trường chuyên Lê Khiết – Quảng Ngãi

23/10/2019

Đề Thi Giữa HK1 Toán 11

Đề kiểm tra giữa học kì 1 Toán 11 năm 2019 – 2020 trường Nhân Chính – Hà Nội

21/10/2019

Đề Thi Giữa HK1 Toán 11

Đề kiểm tra giữa HK1 Toán 11 năm 2019 – 2020 trường Trần Hưng Đạo – Hà Nội

19/10/2019

Đề Thi Giữa HK1 Toán 11

Đề kiểm tra giữa HK1 Toán 11 năm 2019 – 2020 trường Lương Thế Vinh – Hà Nội

14/10/2019

Đề Thi Giữa HK1 Toán 11

Đề kiểm tra giữa HKI Toán 11 năm 2019 – 2020 trường chuyên Hà Nội – Amsterdam

12/10/2019

Đề Thi Giữa HK1 Toán 11

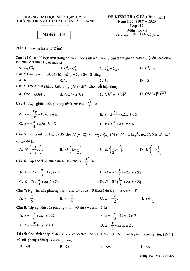
Đề kiểm tra giữa học kì 1 Toán 11 năm 2019 – 2020 trường Nguyễn Tất Thành – Hà Nội

12/10/2019

Đề Thi Giữa HK1 Toán 11

Đề kiểm tra giữa HK1 Toán 11 năm 2019 – 2020 trường Nguyễn Công Trứ – TP HCM

11/10/2019

Đề Thi Giữa HK1 Toán 11

Đề thi giữa học kỳ 1 Toán 11 năm 2018 – 2019 trường Yên Phong 1 – Bắc Ninh

13/11/2018

Đề Thi Giữa HK1 Toán 11

Đề KSCL giữa HK1 Toán 11 năm 2018 – 2019 trường THPT Bùi Thị Xuân – TT. Huế

03/11/2018

Đề Thi Giữa HK1 Toán 11

Đề kiểm tra giữa HK1 Toán 11 năm 2018 – 2019 trường THPT Lương Thế Vinh – Hà Nội

01/11/2018

Đề Thi Giữa HK1 Toán 11

Đề kiểm tra giữa kỳ 1 Toán 11 năm 2018 – 2019 trường THPT Việt Nam – Ba Lan – Hà Nội

30/10/2018

Đề Thi Giữa HK1 Toán 11

Đề thi chất lượng giữa kỳ 1 Toán 11 năm 2018 – 2019 trường THPT Lý Thái Tổ – Bắc Ninh

28/10/2018

Đề Thi Giữa HK1 Toán 11

Đề thi giữa kỳ 1 Toán 11 năm học 2018 – 2019 trường THPT B Thanh Liêm – Hà Nam

27/10/2018

Phân trang bài viết

« 1 … 16 17 18 »

TÌM KIẾM THEO TỪ KHÓA

TÀI LIỆU MỚI NHẤT

  • Đề cuối kỳ 2 Toán 12 năm 2025 – 2026 trường THPT Lê Hồng Phong – Thái Nguyên
    09/05/2026
  • Đề học kì 2 Toán 10 năm 2025 – 2026 trường THPT Nguyễn Thị Minh Khai – Hà Nội
    09/05/2026
  • Đề cuối học kì 2 Toán 10 năm 2025 – 2026 trường THPT Xuyên Mộc – TP HCM
    09/05/2026
  • Đề cuối học kì 2 Toán 11 năm 2025 – 2026 trường THPT Xuyên Mộc – TP HCM
    09/05/2026
  • Đề cuối học kì 2 Toán 12 năm 2025 – 2026 trường THPT Xuyên Mộc – TP HCM
    09/05/2026
  • Đề thi thử tốt nghiệp THPT năm 2026 môn Toán sở GD&ĐT Đồng Tháp
    08/05/2026

THEO DÕI TRÊN FACEBOOK

  • Facebook
  • Giới Thiệu
  • Chính Sách Bảo Mật
  • Liên Hệ

Copyright © 2026 | TOANMATH.com