TOANMATH.com

Tài liệu và đề thi Toán THPT miễn phí

  • Toán 10
    • Tài liệu Toán 10
    • Đề Cương Toán 10
    • Đề giữa HK1 Toán 10
    • Đề HK1 Toán 10
    • Đề giữa HK2 Toán 10
    • Đề HK2 Toán 10
    • Đề khảo sát Toán 10
    • Đề HSG Toán 10
    • Giáo án Toán 10
    • TIPS Giải Toán 10
  • Toán 11
    • Tài liệu Toán 11
    • Đề Cương Toán 11
    • Đề giữa HK1 Toán 11
    • Đề HK1 Toán 11
    • Đề giữa HK2 Toán 11
    • Đề HK2 Toán 11
    • Đề khảo sát Toán 11
    • Đề HSG Toán 11
    • Giáo án Toán 11
    • TIPS Giải Toán 11
  • Toán 12
    • Tài liệu Toán 12
    • Đề Cương Toán 12
    • Đề giữa HK1 Toán 12
    • Đề HK1 Toán 12
    • Đề giữa HK2 Toán 12
    • Đề HK2 Toán 12
    • Đề khảo sát Toán 12
    • Đề HSG Toán 12
    • Giáo án Toán 12
    • TIPS Giải Toán 12
  • Đề thi THPT
    • Đề thi thử THPT
    • Đề THPT chính thức
    • Đề đánh giá năng lực
    • Tài liệu ôn thi THPT
  • SGK-SBT
    • Sách giáo khoa THPT
    • Sách giáo khoa THCS
  • Toán THCS

Tháng: Tháng 4 2017

Đề Thi Thử THPT Môn Toán

Đề thi thử THPT Quốc gia 2017 môn Toán trường THPT chuyên Lào Cai

05/04/2017

Đề Cương Ôn Tập Toán 12

130 bài tập trắc nghiệm ôn tập học kỳ 2 môn Toán 12 – Nguyễn Quốc Việt

05/04/2017

Kiểm Tra Hình Học 12 Chương 3

Đề kiểm tra Hình học 12 chương 3 (Tọa độ không gian) trường THPT Nguyễn Trung Trực – Bình Định

05/04/2017

Kiểm Tra Giải Tích 12 Chương 4

Đề kiểm tra Giải tích 12 chương 4 (Số phức) trường THPT Cần Đước – Long An

05/04/2017

Đề Thi Thử THPT Môn Toán

Bộ đề thi đề xuất thi THPT Quốc gia 2017 môn Toán của các trường THPT tại Bình Định

05/04/2017

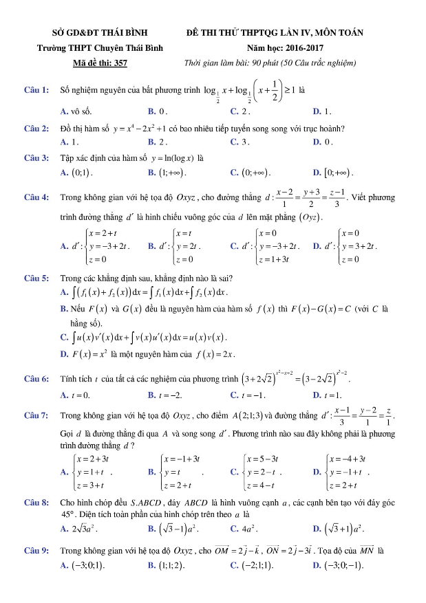
Đề Thi Thử THPT Môn Toán

Đề thi thử THPT Quốc gia 2017 môn Toán trường THPT chuyên Thái Bình lần 4

04/04/2017

Kiểm Tra ĐS Và GT 11 Chương 4

Đề kiểm tra Đại số và Giải tích 11 chương 4 (Giới hạn) trường THPT Hoàng Thái Hiếu – Vĩnh Long

04/04/2017

Đề Thi Thử THPT Môn Toán

Đề thi thử THPT Quốc gia 2017 môn Toán trường THPT Thanh Chương 1 – Nghệ An lần 1

04/04/2017

Số Phức

Hướng dẫn giải một số bài tập số phức mức độ vận dụng cao – Phạm Minh Tuấn

04/04/2017

Kiểm Tra Giải Tích 12 Chương 3

Đề kiểm tra Giải tích 12 chương 3 (Nguyên hàm – Tích phân) trường THPT Quỳnh Lưu 1 – Nghệ An

03/04/2017

Đề Thi Thử THPT Môn Toán

Đề thi thử THPT Quốc gia 2017 môn Toán trường Lạc Hồng – TP. HCM

03/04/2017

Đề Cương Ôn Tập Toán 12

Đề cương ôn tập học kỳ 2 môn Toán 12 – Phan Đình Lộc

03/04/2017

Kiểm Tra Đại Số 10 Chương 4

Đề kiểm tra Đại số 10 chương 4 (BĐT – BPT) trường THPT Trần Nhân Tông – Đăk Lăk

03/04/2017

Kiểm Tra Hình Học 10 Chương 2

Đề kiểm tra Hình học 10 chương 2 trường THPT Lưu Đình Chất – Thanh Hóa

03/04/2017

Kiểm Tra Giải Tích 12 Chương 4

Đề kiểm tra Giải tích 12 chương 4 (Số phức) trường THPT Châu Văn Liêm – Cần Thơ

03/04/2017

Đề Thi Thử THPT Môn Toán

Đề thi thử THPT Quốc gia 2017 môn Toán trường THPT Quảng Xương 1 – Thanh Hóa lần 3

03/04/2017

Đề Thi Thử THPT Môn Toán

Đề thi thử THPT Quốc gia 2017 môn Toán trường THPT Lý Tự Trọng – Nam Định lần 1

03/04/2017

Đề Thi Thử THPT Môn Toán

Đề thi thử THPT Quốc gia 2017 môn Toán trường THPT chuyên Biên Hòa – Hà Nam lần 2

03/04/2017

Đề Thi Thử THPT Môn Toán

Đề thi thử THPT Quốc gia 2017 môn Toán trường THPT Hà Huy Tập – Hà Tĩnh lần 1

02/04/2017

Đề Thi Thử THPT Môn Toán

Đề thi thử THPT Quốc gia 2017 môn Toán sở GD và ĐT Bắc Giang

02/04/2017

Phân trang bài viết

« 1 … 9 10 11 »

TÌM KIẾM THEO TỪ KHÓA

TÀI LIỆU MỚI NHẤT

  • Đề thi thử tốt nghiệp THPT năm 2026 môn Toán liên trường THPT – Nghệ An
    30/05/2026
  • Đề thi thử tốt nghiệp THPT 2026 môn Toán trường THPT Trần Phú – TP HCM
    30/05/2026
  • Đề thi thử TN THPT 2026 môn Toán trường THPT chuyên Lê Hồng Phong – TP HCM
    30/05/2026
  • Đề thi thử tốt nghiệp THPT 2026 môn Toán trường THPT Phan Đăng Lưu – TP HCM
    30/05/2026
  • Đề khảo sát Toán 12 năm 2025 – 2026 cụm các trường THPT chuyên – Phú Thọ
    29/05/2026
  • Đề khảo sát Toán 12 lần 4 năm 2025 – 2026 sở GD&ĐT Ninh Bình
    28/05/2026

THEO DÕI TRÊN FACEBOOK

  • Facebook
  • Giới Thiệu
  • Chính Sách Bảo Mật
  • Liên Hệ

Copyright © 2026 | TOANMATH.com