TOANMATH.com

Tài liệu và đề thi Toán THPT miễn phí

  • Toán 10
    • Tài liệu Toán 10
    • Đề Cương Toán 10
    • Đề giữa HK1 Toán 10
    • Đề HK1 Toán 10
    • Đề giữa HK2 Toán 10
    • Đề HK2 Toán 10
    • Đề khảo sát Toán 10
    • Đề HSG Toán 10
    • Giáo án Toán 10
    • TIPS Giải Toán 10
  • Toán 11
    • Tài liệu Toán 11
    • Đề Cương Toán 11
    • Đề giữa HK1 Toán 11
    • Đề HK1 Toán 11
    • Đề giữa HK2 Toán 11
    • Đề HK2 Toán 11
    • Đề khảo sát Toán 11
    • Đề HSG Toán 11
    • Giáo án Toán 11
    • TIPS Giải Toán 11
  • Toán 12
    • Tài liệu Toán 12
    • Đề Cương Toán 12
    • Đề giữa HK1 Toán 12
    • Đề HK1 Toán 12
    • Đề giữa HK2 Toán 12
    • Đề HK2 Toán 12
    • Đề khảo sát Toán 12
    • Đề HSG Toán 12
    • Giáo án Toán 12
    • TIPS Giải Toán 12
  • Đề thi THPT
    • Đề thi thử THPT
    • Đề THPT chính thức
    • Đề đánh giá năng lực
    • Tài liệu ôn thi THPT
  • SGK-SBT
    • Sách giáo khoa THPT
    • Sách giáo khoa THCS
  • Toán THCS

Tháng: Tháng mười một 2018

Đề Thi HK1 Toán 11

20 đề trắc nghiệm – tự luận ôn tập thi học kỳ 1 Toán 11 có đáp án

27/11/2018

Đề Thi HK1 Toán 10

14 đề trắc nghiệm – tự luận ôn tập thi học kỳ 1 Toán 10 có đáp án

27/11/2018

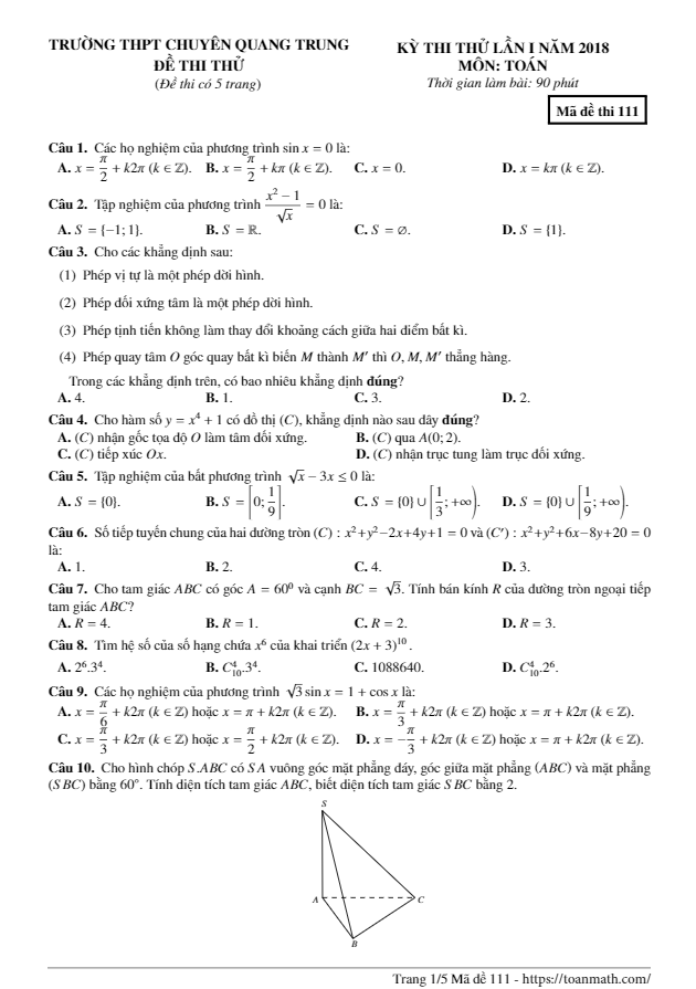
Khảo Sát Chất Lượng Toán 11

Đề thi thử Toán 11 lần 1 năm 2018 trường THPT chuyên Quang Trung – Bình Phước

27/11/2018

Phương Trình - Hệ Phương Trình - Bất Phương Trình

Sử dụng liên hợp trực tiếp giải phương trình chứa căn (liên hợp 1) – Lương Tuấn Đức

27/11/2018

Phương Trình - Hệ Phương Trình - Bất Phương Trình

Sử dụng phân tích nhân tử giải hệ phương trình chứa căn – Lương Tuấn Đức

27/11/2018

Phương Trình - Hệ Phương Trình - Bất Phương Trình

Sử dụng một ẩn phụ đơn giản giải phương trình chứa căn (ẩn phụ 1) – Lương Tuấn Đức

27/11/2018

Phương Trình - Hệ Phương Trình - Bất Phương Trình

Sử dụng biến đổi tương đương giải phương trình chứa căn đơn giản – Lương Tuấn Đức

27/11/2018

Đề Cương Ôn Tập Toán 12

Đề cương ôn tập học kỳ 1 Toán 12 năm 2018 – 2019 trường THPT Chu Văn An – Hà Nội

26/11/2018

Đề Cương Ôn Tập Toán 11

Đề cương ôn tập học kỳ 1 Toán 11 năm 2018 – 2019 trường THPT Chu Văn An – Hà Nội

26/11/2018

Đề Cương Ôn Tập Toán 10

Đề cương ôn tập học kỳ 1 Toán 10 năm 2018 – 2019 trường THPT Chu Văn An – Hà Nội

26/11/2018

TIPS Giải Toán 12

Phương pháp tìm nguyên hàm của các hàm số mũ và logarit

26/11/2018

Đề Thi Thử THPT Môn Toán

Đề thi thử THPTQG 2019 môn Toán trường chuyên Quang Trung – Bình Phước lần 2

26/11/2018

Kiểm Tra Hình Học 12 Chương 1

Đề kiểm tra 1 tiết chương 1 Hình học 12 NC năm 2018 – 2019 trường Thị Xã Quảng Trị

26/11/2018

Kiểm Tra Hình Học 11 Chương 1

Đề kiểm tra 1 tiết chương 1 Hình học 11 NC năm 2018 – 2019 trường Thị Xã Quảng Trị

26/11/2018

Kiểm Tra Hình Học 10 Chương 1

Đề kiểm tra 1 tiết chương 1 Hình học 10 NC năm 2018 – 2019 trường Thị Xã Quảng Trị

26/11/2018

Kiểm Tra Hình Học 12 Chương 1

Đề kiểm tra 45 phút Hình học 12 bài số 1 năm 2018 – 2019 trường Đoàn Thượng – Hải Dương

26/11/2018

Đề Thi Thử THPT Môn Toán

Đề khảo sát chất lượng Toán 12 năm 2018 – 2019 trường Nguyễn Trãi – Thanh Hóa lần 1

25/11/2018

Đề Thi Thử THPT Môn Toán

Đề thi KSCL Toán 12 năm học 2018 – 2019 trường THPT Lưu Đình Chất – Thanh Hóa lần 1

25/11/2018

TIPS Giải Toán 10

Xác định các hệ số trong khai triển nhị thức Newton

25/11/2018

Đề Cương Ôn Tập Toán 10

Đề cương ôn tập học kì 1 Toán 10 năm 2018 – 2019 trường THPT Trần Phú – Hà Nội

25/11/2018

Phân trang bài viết

« 1 2 3 … 7 »

TÌM KIẾM THEO TỪ KHÓA

TÀI LIỆU MỚI NHẤT

  • Đề cương giữa học kỳ 1 Toán 10 năm 2025 – 2026 trường THPT Sơn Động 3 – Bắc Ninh
    24/10/2025
  • Đề cương giữa học kỳ 1 Toán 11 năm 2025 – 2026 trường THPT Sơn Động 3 – Bắc Ninh
    24/10/2025
  • Đề cương giữa học kỳ 1 Toán 12 năm 2025 – 2026 trường THPT Sơn Động 3 – Bắc Ninh
    24/10/2025
  • Đề thi công bằng Toán 12 lần 1 năm 2025 – 2026 trường THPT chuyên KHTN – Hà Nội
    24/10/2025
  • Phương pháp giải toán và bài tập chuyên đề mệnh đề và tập hợp Toán 10
    23/10/2025
  • Đề giữa học kỳ 1 Toán 11 năm 2025 – 2026 trường THPT Phan Đình Phùng – Hà Nội
    23/10/2025
  • Facebook
  • Giới Thiệu
  • Chính Sách Bảo Mật
  • Liên Hệ

Copyright © 2025 | TOANMATH.com