TOANMATH.com

Tài liệu và đề thi Toán THPT miễn phí

  • Toán 10
    • Tài liệu Toán 10
    • Đề Cương Toán 10
    • Đề giữa HK1 Toán 10
    • Đề HK1 Toán 10
    • Đề giữa HK2 Toán 10
    • Đề HK2 Toán 10
    • Đề khảo sát Toán 10
    • Đề HSG Toán 10
    • Giáo án Toán 10
    • TIPS Giải Toán 10
  • Toán 11
    • Tài liệu Toán 11
    • Đề Cương Toán 11
    • Đề giữa HK1 Toán 11
    • Đề HK1 Toán 11
    • Đề giữa HK2 Toán 11
    • Đề HK2 Toán 11
    • Đề khảo sát Toán 11
    • Đề HSG Toán 11
    • Giáo án Toán 11
    • TIPS Giải Toán 11
  • Toán 12
    • Tài liệu Toán 12
    • Đề Cương Toán 12
    • Đề giữa HK1 Toán 12
    • Đề HK1 Toán 12
    • Đề giữa HK2 Toán 12
    • Đề HK2 Toán 12
    • Đề khảo sát Toán 12
    • Đề HSG Toán 12
    • Giáo án Toán 12
    • TIPS Giải Toán 12
  • Đề thi THPT
    • Đề thi thử THPT
    • Đề THPT chính thức
    • Đề đánh giá năng lực
    • Tài liệu ôn thi THPT
  • SGK-SBT
    • Sách giáo khoa THPT
    • Sách giáo khoa THCS
  • Toán THCS

Tháng: Tháng 1 2019

Đề Thi Thử THPT Môn Toán

Đề thi KSCL lần 2 Toán 12 năm 2018 – 2019 trường THPT Cộng Hiền – Hải Phòng

20/01/2019

Đề Thi Thử THPT Môn Toán

Đề thi KSCL lần 1 Toán 12 năm 2018 – 2019 trường THPT Cộng Hiền – Hải Phòng

20/01/2019

Đề Thi Thử THPT Môn Toán

Đề thi thử Toán THPTQG 2019 trường chuyên Phan Bội Châu – Nghệ An lần 1

19/01/2019

Đề Thi Thử THPT Môn Toán

Đề thi thử Toán THPTQG 2019 hội 8 trường chuyên đồng bằng sông Hồng lần 1

19/01/2019

Toán 10

Tài liệu học tập Toán 10 học kỳ 2

19/01/2019

Đề Thi Thử THPT Môn Toán

Đề thi thử THPTQG 2019 môn Toán lần 1 trường THPT chuyên Long An

19/01/2019

Đề Thi Thử THPT Môn Toán

Đề thi thử Toán THPTQG 2019 trường chuyên Lê Thánh Tông – Quảng Nam lần 1

19/01/2019

Đề Thi Thử THPT Môn Toán

Đề thi thử THPTQG 2019 môn Toán trường chuyên Quang Trung – Bình Phước lần 3

16/01/2019

Đại Số Tổ Hợp

108 bài toán tổ hợp – phương pháp

16/01/2019

Kiểm Tra ĐS Và GT 11 Chương 4

20 đề ôn tập kiểm tra Đại số và Giải tích 11 chương 4 – giới hạn

16/01/2019

Khảo Sát Chất Lượng Toán 11

Đề thi KSCL Toán 11 lần 1 năm học 2018 – 2019 trường Tiên Du 1 – Bắc Ninh

16/01/2019

Đề Thi Thử THPT Môn Toán

Đề thi thử THPTQG 2019 môn Toán trường THPT Cẩm Bình – Hà Tĩnh lần 1

16/01/2019

Khảo Sát Chất Lượng Toán 11

Đề thi thử Toán 11 THPT Quốc gia 2019 trường Yên Mô B – Ninh Bình lần 1

15/01/2019

Đề Thi Thử THPT Môn Toán

Đề kiểm tra kiến thức Toán ôn thi THPTQG 2019 trường Yên Định 2 – Thanh Hóa lần 1

15/01/2019

Đề Thi Thử THPT Môn Toán

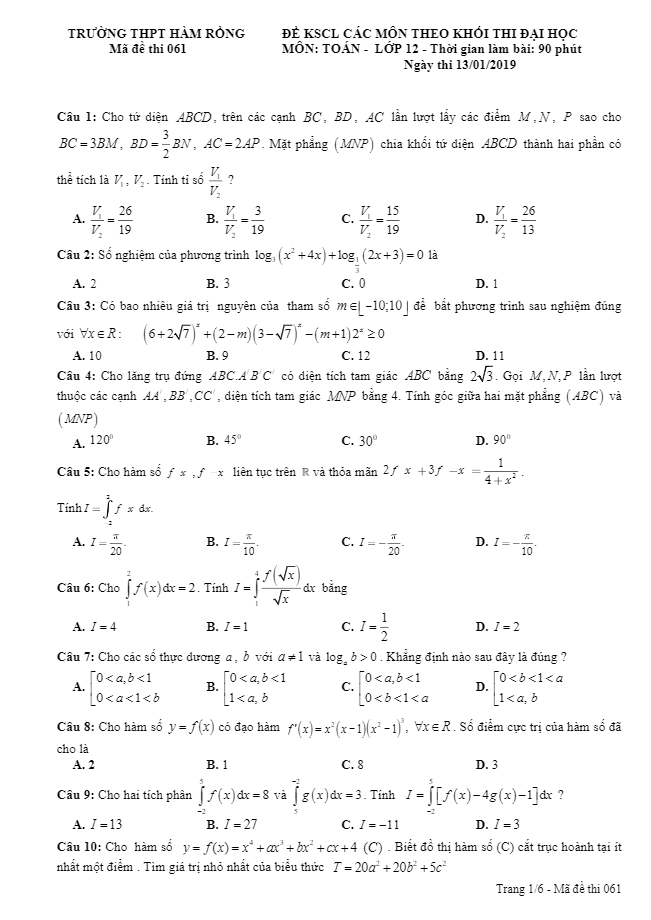
Đề KSCL môn Toán thi ĐH 2019 trường THPT Hàm Rồng – Thanh Hóa

15/01/2019

Đề Thi Thử THPT Môn Toán

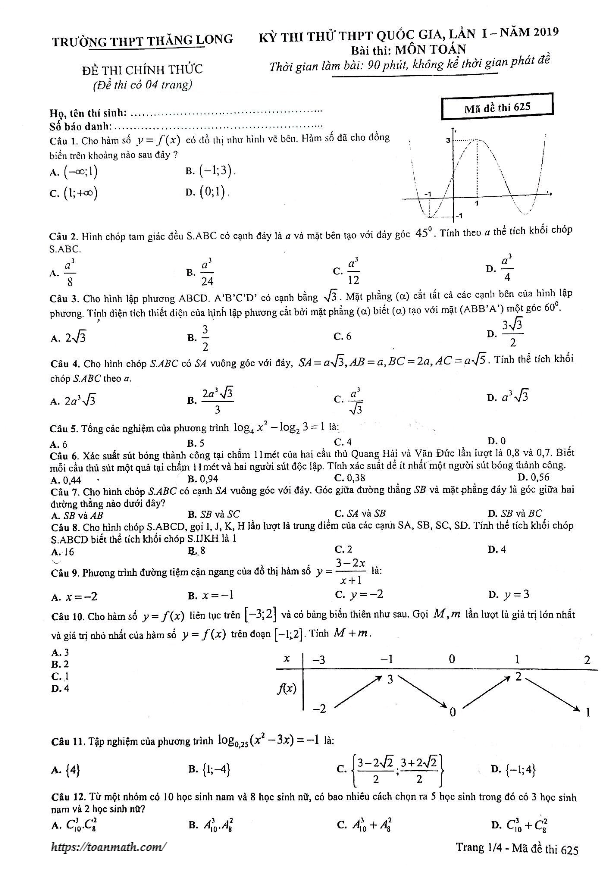
Đề thi thử Toán THPT Quốc gia 2019 trường THPT Thăng Long – Hà Nội lần 1

14/01/2019

Đề Thi Thử THPT Môn Toán

Đề thử sức trước kỳ thi THPT Quốc gia 2019 môn Toán – Toán Học Tuổi Trẻ (Đề số 2)

14/01/2019

Đề Thi Thử THPT Môn Toán

Đề thi thử Toán THPT Quốc gia 2019 trường THPT Kim Liên – Hà Nội lần 1

14/01/2019

Phương Trình - Hệ Phương Trình - Bất Phương Trình

Hệ thống bài tập trắc nghiệm bất phương trình – hệ bất phương trình chứa tham số

13/01/2019

Phương Trình - Hệ Phương Trình - Bất Phương Trình

Sử dụng hàm số thuần giải hệ chứa căn (hệ chứa căn phần 7) – Lương Tuấn Đức

13/01/2019

Phân trang bài viết

« 1 2 3 4 … 6 »

TÌM KIẾM THEO TỪ KHÓA

TÀI LIỆU MỚI NHẤT

  • Đề thi thử TN THPT 2026 môn Toán lần 3 trường chuyên Lê Hồng Phong – Ninh Bình
    15/05/2026
  • Đề thi thử tốt nghiệp THPT 2026 môn Toán sở GD&ĐT Hà Tĩnh
    14/05/2026
  • Đề thi thử tốt nghiệp THPT năm 2026 môn Toán sở GD&ĐT Lâm Đồng
    14/05/2026
  • Đề ôn thi tốt nghiệp THPT 2026 môn Toán trường THPT Nguyễn Thị Diệu – TP HCM
    14/05/2026
  • Đề khảo sát Toán 12 lần 3 năm 2025 – 2026 trường THPT Kim Liên – Hà Nội
    14/05/2026
  • Đề thi thử TN THPT 2026 môn Toán lần 2 trường THPT Lê Hồng Phong – Thanh Hóa
    14/05/2026

THEO DÕI TRÊN FACEBOOK

  • Facebook
  • Giới Thiệu
  • Chính Sách Bảo Mật
  • Liên Hệ

Copyright © 2026 | TOANMATH.com