TOANMATH.com

Tài liệu và đề thi Toán THPT miễn phí

  • Toán 10
    • Tài liệu Toán 10
    • Đề Cương Toán 10
    • Đề giữa HK1 Toán 10
    • Đề HK1 Toán 10
    • Đề giữa HK2 Toán 10
    • Đề HK2 Toán 10
    • Đề khảo sát Toán 10
    • Đề HSG Toán 10
    • Giáo án Toán 10
    • TIPS Giải Toán 10
  • Toán 11
    • Tài liệu Toán 11
    • Đề Cương Toán 11
    • Đề giữa HK1 Toán 11
    • Đề HK1 Toán 11
    • Đề giữa HK2 Toán 11
    • Đề HK2 Toán 11
    • Đề khảo sát Toán 11
    • Đề HSG Toán 11
    • Giáo án Toán 11
    • TIPS Giải Toán 11
  • Toán 12
    • Tài liệu Toán 12
    • Đề Cương Toán 12
    • Đề giữa HK1 Toán 12
    • Đề HK1 Toán 12
    • Đề giữa HK2 Toán 12
    • Đề HK2 Toán 12
    • Đề khảo sát Toán 12
    • Đề HSG Toán 12
    • Giáo án Toán 12
    • TIPS Giải Toán 12
  • Đề thi THPT
    • Đề thi thử THPT
    • Đề THPT chính thức
    • Đề đánh giá năng lực
    • Tài liệu ôn thi THPT
  • SGK-SBT
    • Sách giáo khoa THPT
    • Sách giáo khoa THCS
  • Toán THCS

Tháng: Tháng 7 2020

Đề Thi Thử THPT Môn Toán

Đề thi thử tốt nghiệp THPT 2020 môn Toán trường chuyên Phan Bội Châu – Nghệ An

05/07/2020

Khảo Sát Chất Lượng Toán 11

Đề chọn lớp chất lượng cao Toán 11 năm 2020 – 2021 trường Yên Phong 2 – Bắc Ninh

05/07/2020

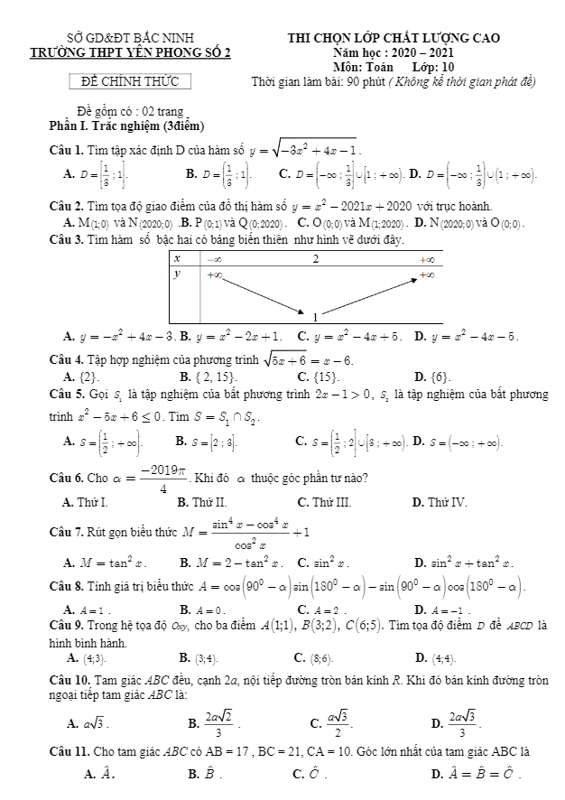
Khảo Sát Chất Lượng Toán 10

Đề chọn lớp chất lượng cao Toán 10 năm 2020 – 2021 trường Yên Phong 2 – Bắc Ninh

05/07/2020

Khảo Sát Và Vẽ Đồ Thị Hàm Số

Chuyên đề đường tiệm cận của đồ thị hàm số – Phạm Hoàng Điệp

05/07/2020

Đề Thi HK2 Toán 10

Đề kết thúc HK2 Toán 10 năm 2019 – 2020 trường THPT Quang Trung – Hà Nội

05/07/2020

Đề Thi HK2 Toán 11

Đề khảo sát học kỳ 2 Toán 11 năm 2019 – 2020 trường THPT Liễn Sơn – Vĩnh Phúc

05/07/2020

Khảo Sát Và Vẽ Đồ Thị Hàm Số

Bài tập trắc nghiệm tìm số nghiệm của phương trình hàm hợp

05/07/2020

Đề Thi Thử THPT Môn Toán

Đề thi thử tốt nghiệp THPT 2020 môn Toán lần 2 trường THPT thị xã Quảng Trị

05/07/2020

Đề Thi Thử THPT Môn Toán

Đề thi thử tốt nghiệp THPT 2020 môn Toán lần 3 trường THPT Kim Liên – Hà Nội

05/07/2020

Khảo Sát Và Vẽ Đồ Thị Hàm Số

50 bài tập trắc nghiệm cực trị hàm hợp có đáp án và lời giải chi tiết

04/07/2020

Khảo Sát Và Vẽ Đồ Thị Hàm Số

Bài tập trắc nghiệm tính đơn điệu của hàm số chứa tham số m

04/07/2020

Đề Thi Thử THPT Môn Toán

Đề thi thử tốt nghiệp THPT 2020 lần 2 môn Toán trường chuyên Biên Hòa – Hà Nam

04/07/2020

Đề Thi Thử THPT Môn Toán

Đề khảo sát Toán 12 lần 3 năm 2019 – 2020 trường THPT Lê Lai – Thanh Hóa

04/07/2020

Đề Thi HK2 Toán 11

Đề thi học kì 2 Toán 11 năm 2019 – 2020 trường THPT Marie Curie – TP HCM

04/07/2020

Đề Thi HK2 Toán 10

Đề thi học kì 2 Toán 10 năm 2019 – 2020 trường THPT Marie Curie – TP HCM

04/07/2020

Đề Thi HK2 Toán 12

Đề thi học kỳ 2 Toán 12 năm 2019 – 2020 trường THPT Nguyễn Khuyến – An Giang

04/07/2020

Phương Pháp Toạ Độ Trong Không Gian

Chuyên đề phương pháp tọa độ trong không gian – Nguyễn Tăng Vũ

04/07/2020

Đề Thi HK2 Toán 10

Đề thi học kỳ 2 Toán 10 năm 2019 – 2020 trường THPT Lạc Long Quân – Bến Tre

04/07/2020

Đề Thi HK2 Toán 11

Đề thi học kỳ 2 Toán 11 năm 2019 – 2020 trường THPT Lạc Long Quân – Bến Tre

04/07/2020

Đề Thi HK2 Toán 11

Đề thi HK2 Toán 11 năm 2019 – 2020 trường THPT Phan Huy Chú – Hà Nội

04/07/2020

Phân trang bài viết

« 1 … 5 6 7 … 9 »

TÌM KIẾM THEO TỪ KHÓA

TÀI LIỆU MỚI NHẤT

  • Đề thi thử tốt nghiệp THPT năm 2026 môn Toán sở GD&ĐT Quảng Trị
    21/04/2026
  • 80 đề ôn thi tốt nghiệp THPT năm 2026 môn Toán – Nguyễn Hữu Chung Kiên
    21/04/2026
  • Tài liệu ôn tập cuối kỳ 2 Toán 10 năm 2025 – 2026 trường THPT Trần Phú – Đà Nẵng
    20/04/2026
  • Tài liệu ôn tập cuối kỳ 2 Toán 11 năm 2025 – 2026 trường THPT Trần Phú – Đà Nẵng
    20/04/2026
  • Tài liệu ôn tập cuối kỳ 2 Toán 12 năm 2025 – 2026 trường THPT Trần Phú – Đà Nẵng
    20/04/2026
  • Đề thi thử TN THPT 2026 môn Toán trường chuyên Lương Văn Chánh – Đắk Lắk
    20/04/2026

THEO DÕI TRÊN FACEBOOK

  • Facebook
  • Giới Thiệu
  • Chính Sách Bảo Mật
  • Liên Hệ

Copyright © 2026 | TOANMATH.com