TOANMATH.com

Tài liệu và đề thi Toán THPT miễn phí

  • Toán 10
    • Tài liệu Toán 10
    • Đề Cương Toán 10
    • Đề giữa HK1 Toán 10
    • Đề HK1 Toán 10
    • Đề giữa HK2 Toán 10
    • Đề HK2 Toán 10
    • Đề khảo sát Toán 10
    • Đề HSG Toán 10
    • Giáo án Toán 10
    • TIPS Giải Toán 10
  • Toán 11
    • Tài liệu Toán 11
    • Đề Cương Toán 11
    • Đề giữa HK1 Toán 11
    • Đề HK1 Toán 11
    • Đề giữa HK2 Toán 11
    • Đề HK2 Toán 11
    • Đề khảo sát Toán 11
    • Đề HSG Toán 11
    • Giáo án Toán 11
    • TIPS Giải Toán 11
  • Toán 12
    • Tài liệu Toán 12
    • Đề Cương Toán 12
    • Đề giữa HK1 Toán 12
    • Đề HK1 Toán 12
    • Đề giữa HK2 Toán 12
    • Đề HK2 Toán 12
    • Đề khảo sát Toán 12
    • Đề HSG Toán 12
    • Giáo án Toán 12
    • TIPS Giải Toán 12
  • Đề thi THPT
    • Đề thi thử THPT
    • Đề THPT chính thức
    • Đề đánh giá năng lực
    • Tài liệu ôn thi THPT
  • SGK-SBT
    • Sách giáo khoa THPT
    • Sách giáo khoa THCS
  • Toán THCS

Tháng: Tháng 10 2020

Đề Thi HSG Toán 12

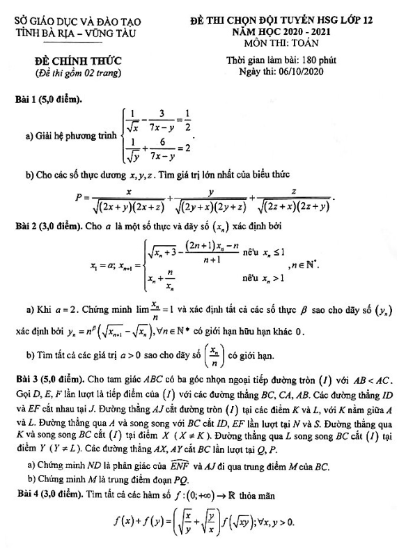
Đề thi HSG Toán 12 năm 2020 – 2021 sở GD&ĐT Bà Rịa – Vũng Tàu

07/10/2020

Đề Thi HSG Toán 12

Đề chọn đội tuyển HSG Toán THPT năm 2020 – 2021 sở GD&ĐT Hà Tĩnh

07/10/2020

Hàm Số Mũ Và Hàm Số Lôgarit

Hàm số lũy thừa, hàm số mũ và hàm số lôgarit – Nguyễn Tài Chung

06/10/2020

Đại Số Tổ Hợp

Chuyên đề tổ hợp và xác suất – Dương Minh Hùng

05/10/2020

Đề Cương Ôn Tập Toán 12

Tài liệu ôn thi giữa học kì 1 Toán 12 – Lê Văn Đoàn

05/10/2020

Quan Hệ Vuông Góc Trong Không Gian

Các dạng bài tập khối đa diện và thể tích của chúng – Hoàng Xuân Nhàn

05/10/2020

Quan Hệ Vuông Góc Trong Không Gian

Tuyển tập 181 bài tập tỷ số thể tích có đáp án và lời giải

02/10/2020

Quan Hệ Vuông Góc Trong Không Gian

Chuyên đề khối đa diện và thể tích của chúng – Nguyễn Trọng

01/10/2020

Mặt Nón – Mặt Trụ – Mặt Cầu

Chuyên đề mặt cầu, mặt trụ, mặt nón dành cho học sinh trung bình – yếu – Dương Minh Hùng

01/10/2020

Phân trang bài viết

« 1 … 3 4

TÌM KIẾM THEO TỪ KHÓA

TÀI LIỆU MỚI NHẤT

  • Đề thi thử tốt nghiệp THPT 2026 môn Toán trường THPT Phan Đăng Lưu – TP HCM
    30/05/2026
  • Đề khảo sát Toán 12 năm 2025 – 2026 cụm các trường THPT chuyên – Phú Thọ
    29/05/2026
  • Đề khảo sát Toán 12 lần 4 năm 2025 – 2026 sở GD&ĐT Ninh Bình
    28/05/2026
  • Đề thi thử tốt nghiệp THPT 2026 môn Toán trường THPT Gia Định – TP HCM
    28/05/2026
  • Đề thi thử tốt nghiệp THPT 2026 môn Toán trường THPT Ngô Quyền – TP HCM
    28/05/2026
  • Đề thi thử tốt nghiệp THPT 2026 môn Toán cụm chuyên môn số 3 – Đắk Lắk
    28/05/2026

THEO DÕI TRÊN FACEBOOK

  • Facebook
  • Giới Thiệu
  • Chính Sách Bảo Mật
  • Liên Hệ

Copyright © 2026 | TOANMATH.com