TOANMATH.com

Tài liệu và đề thi Toán THPT miễn phí

  • Toán 10
    • Tài liệu Toán 10
    • Đề Cương Toán 10
    • Đề giữa HK1 Toán 10
    • Đề HK1 Toán 10
    • Đề giữa HK2 Toán 10
    • Đề HK2 Toán 10
    • Đề khảo sát Toán 10
    • Đề HSG Toán 10
    • Giáo án Toán 10
    • TIPS Giải Toán 10
  • Toán 11
    • Tài liệu Toán 11
    • Đề Cương Toán 11
    • Đề giữa HK1 Toán 11
    • Đề HK1 Toán 11
    • Đề giữa HK2 Toán 11
    • Đề HK2 Toán 11
    • Đề khảo sát Toán 11
    • Đề HSG Toán 11
    • Giáo án Toán 11
    • TIPS Giải Toán 11
  • Toán 12
    • Tài liệu Toán 12
    • Đề Cương Toán 12
    • Đề giữa HK1 Toán 12
    • Đề HK1 Toán 12
    • Đề giữa HK2 Toán 12
    • Đề HK2 Toán 12
    • Đề khảo sát Toán 12
    • Đề HSG Toán 12
    • Giáo án Toán 12
    • TIPS Giải Toán 12
  • Đề thi THPT
    • Đề thi thử THPT
    • Đề THPT chính thức
    • Đề đánh giá năng lực
    • Tài liệu ôn thi THPT
  • SGK-SBT
    • Sách giáo khoa THPT
    • Sách giáo khoa THCS
  • Toán THCS

Tháng: Tháng 3 2021

Đề Thi HSG Toán 12

Đề học sinh giỏi Toán THPT cấp thành phố năm 2020 – 2021 sở GD&ĐT Cần Thơ

17/03/2021

Đề Thi HSG Toán 12

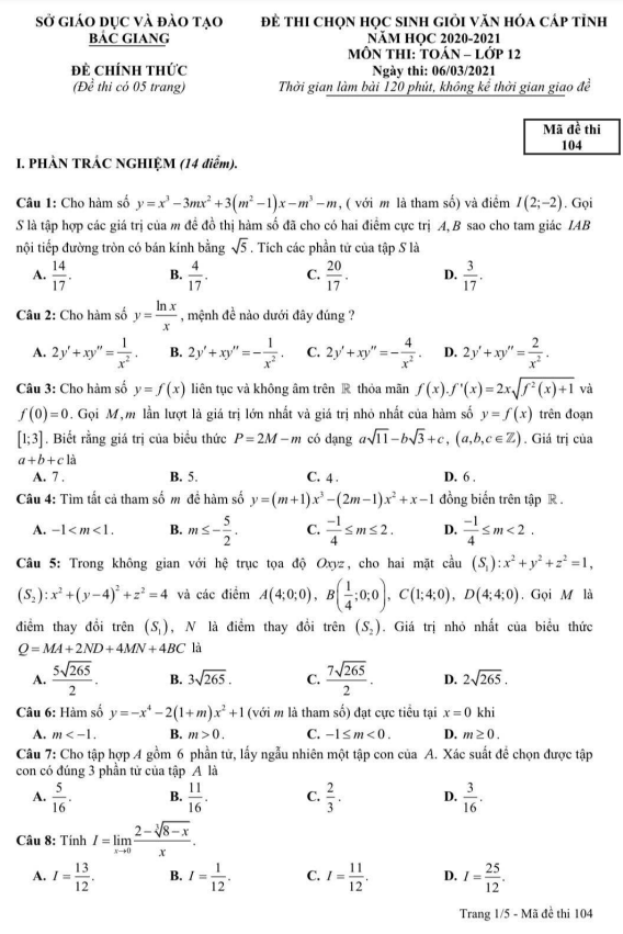
Đề thi học sinh giỏi cấp tỉnh Toán 12 năm 2020 – 2021 sở GD&ĐT Bắc Giang

17/03/2021

Đề Thi Thử THPT Môn Toán

Đề KSCL lần 3 Toán 12 năm 2020 – 2021 trường THPT Nguyễn Viết Xuân – Vĩnh Phúc

16/03/2021

Đề Thi HSG Toán 11

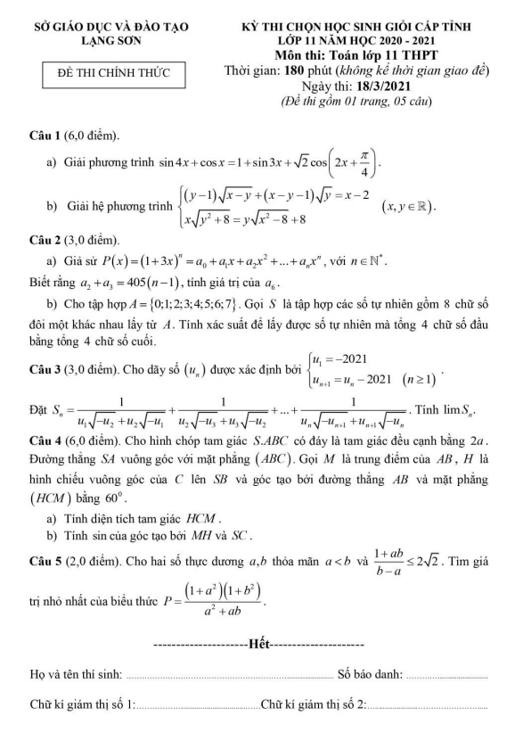
Đề thi học sinh giỏi cấp tỉnh Toán 11 năm 2020 – 2021 sở GD&ĐT Lạng Sơn

16/03/2021

Đề Thi Giữa HK2 Toán 10

Đề thi giữa kỳ 2 Toán 10 năm 2020 – 2021 trường Nguyễn Tất Thành – Hà Nội

16/03/2021

Đề Thi Giữa HK2 Toán 11

Đề thi giữa kỳ 2 Toán 11 năm 2020 – 2021 trường Nguyễn Tất Thành – Hà Nội

16/03/2021

Đề Thi Giữa HK2 Toán 12

Đề thi giữa kỳ 2 Toán 12 năm 2020 – 2021 trường Nguyễn Tất Thành – Hà Nội

16/03/2021

Đề Thi HSG Toán 11

Đề thi HSG Toán 11 cấp trường năm 2020 – 2021 trường Liễn Sơn – Vĩnh Phúc

15/03/2021

Đề Thi HSG Toán 10

Đề KSCL đội tuyển HSG Toán 10 năm 2020 – 2021 trường Liễn Sơn – Vĩnh Phúc

15/03/2021

Khảo Sát Và Vẽ Đồ Thị Hàm Số

Giá trị lớn nhất, giá trị nhỏ nhất của hàm số giá trị tuyệt đối

15/03/2021

Đề Thi Thử THPT Môn Toán

Đề thi thử Toán TN THPT năm 2021 trường Đông Thụy Anh – Thái Bình

15/03/2021

Đề Thi HSG Toán 10

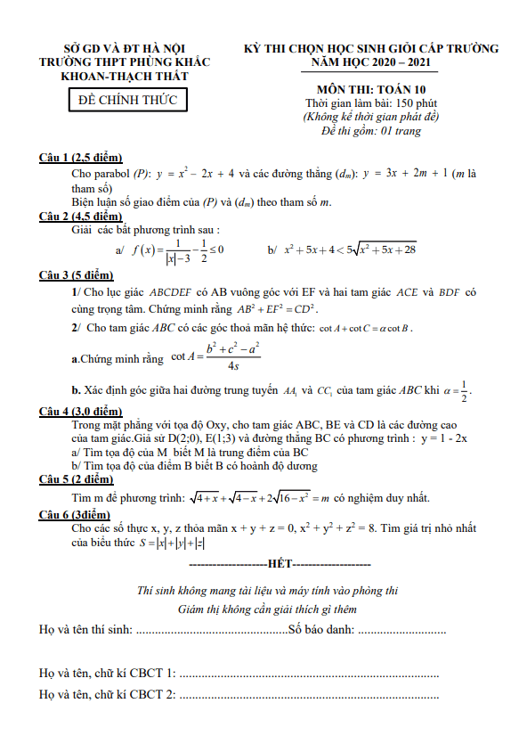
Đề học sinh giỏi Toán 10 năm 2020 – 2021 trường Phùng Khắc Khoan – Hà Nội

15/03/2021

Đề Thi HSG Toán 11

Đề học sinh giỏi Toán 11 năm 2020 – 2021 trường Phùng Khắc Khoan – Hà Nội

15/03/2021

Đề Thi Thử THPT Môn Toán

Đề thi thử Toán TN THPT 2021 lần 1 trường Nguyễn Công Trứ – Hà Tĩnh

14/03/2021

Đề Thi Thử THPT Môn Toán

Đề KSCL Toán thi tốt nghiệp THPT 2021 lần 2 trường chuyên Lam Sơn – Thanh Hóa

14/03/2021

Đề Thi Thử THPT Môn Toán

Đề thi công bằng Toán 12 lần 2 năm 2020 – 2021 trường THPT chuyên KHTN – Hà Nội

14/03/2021

Đề Thi Thử THPT Môn Toán

Đề trắc nghiệm Toán 12 lần 1 năm 2020 – 2021 trường chuyên Lê Hồng Phong – TP HCM

14/03/2021

Khảo Sát Chất Lượng Toán 10

Đề KSCL lần 3 Toán 10 năm 2020 – 2021 trường THPT Nguyễn Viết Xuân – Vĩnh Phúc

14/03/2021

Khảo Sát Chất Lượng Toán 11

Đề KSCL lần 3 Toán 11 năm 2020 – 2021 trường THPT Nguyễn Viết Xuân – Vĩnh Phúc

14/03/2021

Đề Thi HSG Toán 12

Đề thi học sinh giỏi Toán 12 cấp tỉnh năm 2020 – 2021 sở GD&ĐT Thái Bình

13/03/2021

Phân trang bài viết

« 1 … 3 4 5 … 7 »

TÌM KIẾM THEO TỪ KHÓA

TÀI LIỆU MỚI NHẤT

  • Tài liệu ôn tập cuối kỳ 2 Toán 10 năm 2025 – 2026 trường THPT Trần Phú – Đà Nẵng
    20/04/2026
  • Tài liệu ôn tập cuối kỳ 2 Toán 11 năm 2025 – 2026 trường THPT Trần Phú – Đà Nẵng
    20/04/2026
  • Tài liệu ôn tập cuối kỳ 2 Toán 12 năm 2025 – 2026 trường THPT Trần Phú – Đà Nẵng
    20/04/2026
  • Đề thi thử TN THPT 2026 môn Toán trường chuyên Lương Văn Chánh – Đắk Lắk
    20/04/2026
  • Đề cương cuối kì 2 Toán 10 năm 2025 – 2026 trường THPT Hướng Hóa – Quảng Trị
    19/04/2026
  • Đề cương cuối kì 2 Toán 11 năm 2025 – 2026 trường THPT Hướng Hóa – Quảng Trị
    19/04/2026

THEO DÕI TRÊN FACEBOOK

  • Facebook
  • Giới Thiệu
  • Chính Sách Bảo Mật
  • Liên Hệ

Copyright © 2026 | TOANMATH.com