TOANMATH.com

Tài liệu và đề thi Toán THPT miễn phí

  • Toán 10
    • Tài liệu Toán 10
    • Đề Cương Toán 10
    • Đề giữa HK1 Toán 10
    • Đề HK1 Toán 10
    • Đề giữa HK2 Toán 10
    • Đề HK2 Toán 10
    • Đề khảo sát Toán 10
    • Đề HSG Toán 10
    • Giáo án Toán 10
    • TIPS Giải Toán 10
  • Toán 11
    • Tài liệu Toán 11
    • Đề Cương Toán 11
    • Đề giữa HK1 Toán 11
    • Đề HK1 Toán 11
    • Đề giữa HK2 Toán 11
    • Đề HK2 Toán 11
    • Đề khảo sát Toán 11
    • Đề HSG Toán 11
    • Giáo án Toán 11
    • TIPS Giải Toán 11
  • Toán 12
    • Tài liệu Toán 12
    • Đề Cương Toán 12
    • Đề giữa HK1 Toán 12
    • Đề HK1 Toán 12
    • Đề giữa HK2 Toán 12
    • Đề HK2 Toán 12
    • Đề khảo sát Toán 12
    • Đề HSG Toán 12
    • Giáo án Toán 12
    • TIPS Giải Toán 12
  • Đề thi THPT
    • Đề thi thử THPT
    • Đề THPT chính thức
    • Đề đánh giá năng lực
    • Tài liệu ôn thi THPT
  • SGK-SBT
    • Sách giáo khoa THPT
    • Sách giáo khoa THCS
  • Toán THCS

Tháng: Tháng 3 2022

Đề Thi HSG Toán 12

Đề thi học sinh giỏi tỉnh Toán 12 năm 2021 – 2022 sở GD&ĐT Bắc Ninh

31/03/2022

Đề Thi HSG Toán 10

Đề thi chọn học sinh giỏi Toán 10 năm 2021 – 2022 sở GD&ĐT Hà Nam

31/03/2022

Đề Thi Giữa HK2 Toán 10

Đề giữa kỳ 2 Toán 10 năm 2021 – 2022 trường THPT Nguyễn Hữu Cầu – TP HCM

31/03/2022

Đề Thi Giữa HK2 Toán 12

Đề giữa kỳ 2 Toán 12 năm 2021 – 2022 trường Nguyễn Thị Minh Khai – Hà Nội

31/03/2022

Đề Thi Giữa HK2 Toán 12

Đề kiểm tra giữa kỳ 2 Toán 12 năm 2021 – 2022 trường THPT Trần Phú – TP HCM

31/03/2022

Đề Thi Giữa HK2 Toán 12

Đề kiểm tra giữa HK2 Toán 12 năm 2021 – 2022 trường THPT Tân Bình – TP HCM

31/03/2022

Đề Thi Giữa HK2 Toán 12

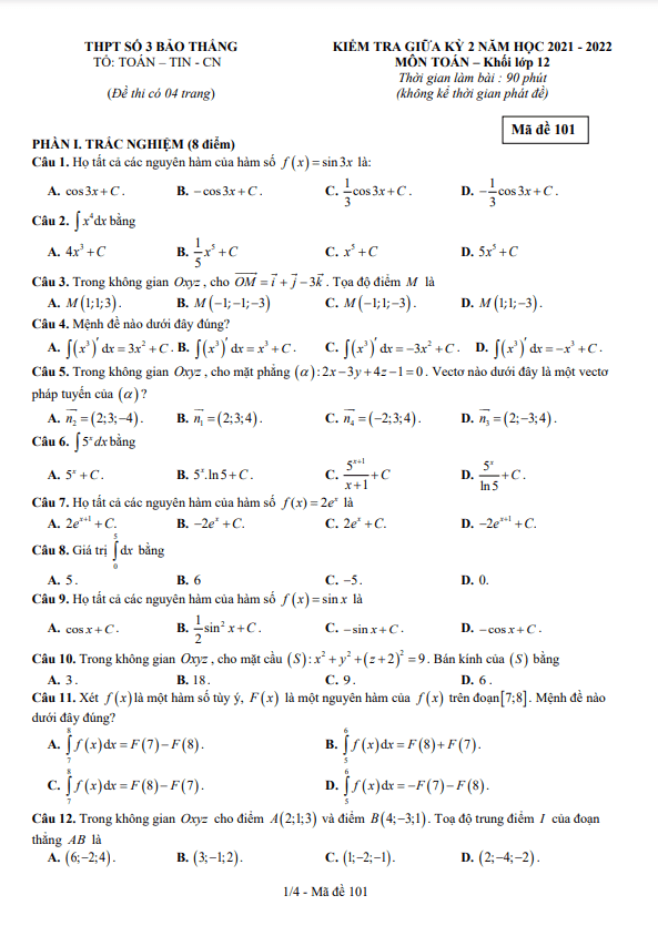
Đề giữa kỳ 2 Toán 12 năm 2021 – 2022 trường THPT Bảo Thắng 3 – Lào Cai

22/03/2022

Đề Thi Thử THPT Môn Toán

Đề thi thử Toán tốt nghiệp THPT 2022 lần 3 trường THPT Lương Tài 2 – Bắc Ninh

22/03/2022

Đề Thi Giữa HK2 Toán 12

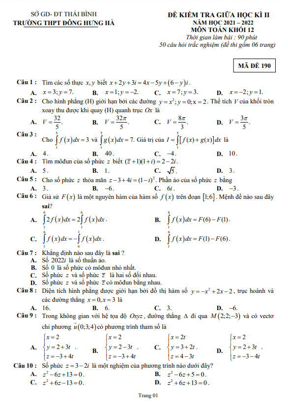
Đề giữa kỳ 2 Toán 12 năm 2021 – 2022 trường THPT Đông Hưng Hà – Thái Bình

21/03/2022

Đề Thi Giữa HK2 Toán 11

Đề giữa kỳ 2 Toán 11 năm 2021 – 2022 trường THPT Đông Hưng Hà – Thái Bình

21/03/2022

Đề Thi Giữa HK2 Toán 10

Đề giữa kỳ 2 Toán 10 năm 2021 – 2022 trường THPT Đông Hưng Hà – Thái Bình

21/03/2022

Đề Thi HSG Toán 11

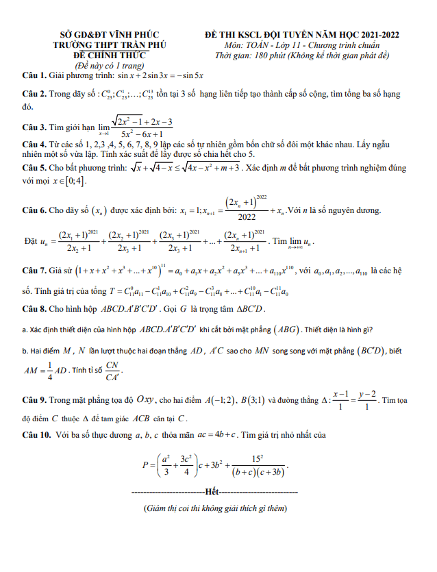
Đề khảo sát đội tuyển Toán 11 lần 2 năm 2021 – 2022 trường THPT Trần Phú – Vĩnh Phúc

19/03/2022

Đề Thi HSG Toán 10

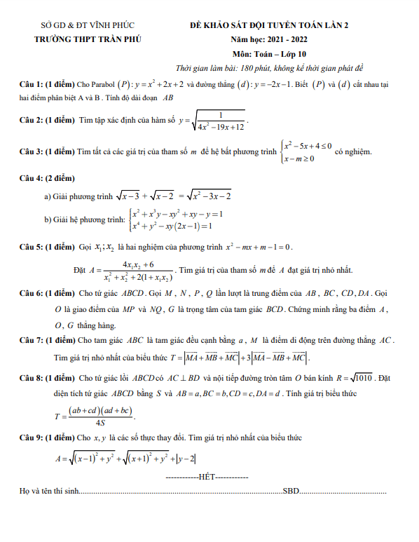
Đề khảo sát đội tuyển Toán 10 lần 2 năm 2021 – 2022 trường THPT Trần Phú – Vĩnh Phúc

19/03/2022

Đề Thi Thử THPT Môn Toán

Đề khảo sát Toán thi tốt nghiệp THPT 2022 lần 1 sở GD&ĐT Vĩnh Phúc

19/03/2022

Thống Kê

Kiến thức cần nhớ và phương pháp giải toán chuyên đề thống kê

19/03/2022

Đề Thi HSG Toán 12

Đề kiểm tra đội tuyển HSG Toán năm 2021 – 2022 trường chuyên Vị Thanh – Hậu Giang

18/03/2022

Đề Thi Giữa HK2 Toán 11

Đề minh họa giữa kỳ 2 Toán 11 năm 2021 – 2022 trường THPT Bảo Thắng 2 – Lào Cai

18/03/2022

Đề Thi Giữa HK2 Toán 12

Đề minh họa giữa kỳ 2 Toán 12 năm 2021 – 2022 trường THPT Bảo Thắng 2 – Lào Cai

18/03/2022

Đề Thi HSG Toán 11

Đề thi học sinh giỏi cấp tỉnh Toán 11 năm 2021 – 2022 sở GD&ĐT Bình Định

18/03/2022

Đề Thi Giữa HK2 Toán 10

Đề giữa học kì 2 Toán 10 năm 2021 – 2022 trường THPT Nguyễn Huệ – Đắk Lắk

18/03/2022

Phân trang bài viết

« 1 2 3 4 »

TÌM KIẾM THEO TỪ KHÓA

TÀI LIỆU MỚI NHẤT

  • Lý thuyết và phân dạng bài tập Toán 12 học kì 1 – Ngô Đức Tài
    26/05/2026
  • Đề thi thử TN THPT 2026 môn Toán lần 2 trường THPT Nguyễn Thị Minh Khai – Hà Nội
    25/05/2026
  • Đề thi thử TN THPT 2026 môn Toán lần 2 trường THPT An Lương Đông – Huế
    25/05/2026
  • Đề thi thử TN THPT 2026 môn Toán trường THPT Lê Quý Đôn – Quảng Ngãi
    24/05/2026
  • Đề khảo sát Toán 12 lần 2 năm 2025 – 2026 trường THPT Nguyễn Trãi – Hà Nội
    24/05/2026
  • Đề thi thử tốt nghiệp THPT 2026 môn Toán cụm chuyên môn số 08 – Cà Mau
    24/05/2026

THEO DÕI TRÊN FACEBOOK

  • Facebook
  • Giới Thiệu
  • Chính Sách Bảo Mật
  • Liên Hệ

Copyright © 2026 | TOANMATH.com