TOANMATH.com

Tài liệu và đề thi Toán THPT miễn phí

  • Toán 10
    • Tài liệu Toán 10
    • Đề Cương Toán 10
    • Đề giữa HK1 Toán 10
    • Đề HK1 Toán 10
    • Đề giữa HK2 Toán 10
    • Đề HK2 Toán 10
    • Đề khảo sát Toán 10
    • Đề HSG Toán 10
    • Giáo án Toán 10
    • TIPS Giải Toán 10
  • Toán 11
    • Tài liệu Toán 11
    • Đề Cương Toán 11
    • Đề giữa HK1 Toán 11
    • Đề HK1 Toán 11
    • Đề giữa HK2 Toán 11
    • Đề HK2 Toán 11
    • Đề khảo sát Toán 11
    • Đề HSG Toán 11
    • Giáo án Toán 11
    • TIPS Giải Toán 11
  • Toán 12
    • Tài liệu Toán 12
    • Đề Cương Toán 12
    • Đề giữa HK1 Toán 12
    • Đề HK1 Toán 12
    • Đề giữa HK2 Toán 12
    • Đề HK2 Toán 12
    • Đề khảo sát Toán 12
    • Đề HSG Toán 12
    • Giáo án Toán 12
    • TIPS Giải Toán 12
  • Đề thi THPT
    • Đề thi thử THPT
    • Đề THPT chính thức
    • Đề đánh giá năng lực
    • Tài liệu ôn thi THPT
  • SGK-SBT
    • Sách giáo khoa THPT
    • Sách giáo khoa THCS
  • Toán THCS

Đề Thi HK1 Toán 12

Tổng hợp ĐỀ THI HK1 TOÁN 12 có đáp án và lời giải chi tiết của các trường Trung học Phổ thông, Sở Giáo dục và Đào tạo trên toàn quốc (File PDF). Các ĐỀ THI HK1 TOÁN 12 mới nhất sẽ được cập nhật liên tục và nhanh nhất có thể sau khi kỳ thi diễn ra, đáp án và lời giải chi tiết cũng sẽ được TOANMATH.com cập nhật sau đó nhằm giúp bạn đọc thuận tiện trong việc tra cứu và đối chiếu đáp án.

File WORD các ĐỀ THI CUỐI HỌC KÌ 1 TOÁN 12 (nếu có) được đính kèm trong nội dung bài viết, nhằm giúp quý thầy, cô giáo có thể tải xuống miễn phí, phục vụ cho quá trình biên soạn và giảng dạy. Quý thầy, cô giáo và bạn đọc có thể chia sẻ thêm ĐỀ THI CUỐI HỌC KÌ 1 TOÁN 12 bằng cách gửi về địa chỉ email: toanmath.com@gmail.com, nhằm tạo nguồn đề thi phong phú, đa dạng để các em học sinh lớp 12 tham khảo và rèn luyện.

Đề Thi HK1 Toán 12

Bộ đề ôn tập kiểm tra cuối học kì 1 môn Toán 12 theo cấu trúc mới

24/11/2024

Đề Thi HK1 Toán 12

17 đề tham khảo cuối học kỳ 1 Toán 12 cấu trúc trắc nghiệm mới

23/11/2024

Đề Thi HK1 Toán 12

Đề kiểm tra học kì 1 Toán 12 năm 2023 – 2024 sở GD&ĐT Bình Thuận

15/01/2024

Đề Thi HK1 Toán 12

Đề cuối học kỳ 1 Toán 12 năm 2023 – 2024 trường THPT Hướng Hóa – Quảng Trị

11/01/2024

Đề Thi HK1 Toán 12

Đề cuối kỳ 1 Toán 12 năm 2023 – 2024 trường THPT Bình Chiểu – TP HCM

11/01/2024

Đề Thi HK1 Toán 12

Đề cuối kỳ 1 Toán 12 năm 2023 – 2024 trường THPT Quế Sơn – Quảng Nam

11/01/2024

Đề Thi HK1 Toán 12

Đề cuối học kỳ 1 Toán 12 năm 2023 – 2024 trường THPT Thống Nhất A – Đồng Nai

11/01/2024

Đề Thi HK1 Toán 12

Đề cuối HK1 Toán 12 năm 2023 – 2024 trường Đinh Tiên Hoàng – Đồng Nai

11/01/2024

Đề Thi HK1 Toán 12

Đề khảo sát học kỳ 1 Toán 12 năm 2023 – 2024 sở GD&ĐT Thái Bình

10/01/2024

Đề Thi HK1 Toán 12

Đề cuối HK1 Toán 12 năm 2023 – 2024 trường THPT Nguyễn Công Trứ – TP HCM

10/01/2024

Đề Thi HK1 Toán 12

Đề cuối học kỳ 1 Toán 12 năm 2023 – 2024 trường THPT Nguyễn Du – TP HCM

10/01/2024

Đề Thi HK1 Toán 12

Đề học kỳ 1 Toán 12 năm 2023 – 2024 trường THPT Bùi Thị Xuân – TP HCM

10/01/2024

Đề Thi HK1 Toán 12

Đề cuối học kì 1 Toán 12 năm 2023 – 2024 trường THPT Thanh Đa – TP HCM

10/01/2024

Đề Thi HK1 Toán 12

Đề cuối học kì 1 Toán 12 năm 2023 – 2024 trường THCS – THPT Hoa Sen – TP HCM

10/01/2024

Đề Thi HK1 Toán 12

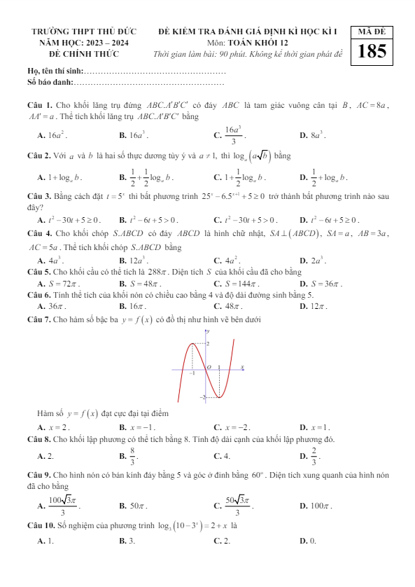
Đề học kì 1 Toán 12 năm 2023 – 2024 trường THPT Thủ Đức – TP HCM

10/01/2024

Đề Thi HK1 Toán 12

Đề cuối học kì 1 Toán 12 năm 2023 – 2024 trường THPT Lê Lợi – Quảng Trị

10/01/2024

Đề Thi HK1 Toán 12

Đề cuối học kỳ 1 Toán 12 năm 2023 – 2024 trường THPT Trưng Vương – TP HCM

10/01/2024

Đề Thi HK1 Toán 12

Đề cuối HK1 Toán 12 năm 2023 – 2024 trường THPT Tân Bình – TP HCM

10/01/2024

Đề Thi HK1 Toán 12

Đề học kỳ 1 Toán 12 năm 2023 – 2024 trường THPT Phan Ngọc Hiển – Cà Mau

10/01/2024

Đề Thi HK1 Toán 12

Đề cuối học kỳ 1 Toán 12 năm 2023 – 2024 trường THPT Cổ Loa – Hà Nội

09/01/2024

Phân trang bài viết

« 1 … 7 8 9 … 36 »

TÌM KIẾM THEO TỪ KHÓA

TÀI LIỆU MỚI NHẤT

  • Đề khảo sát Toán 12 lần 5 năm 2025 – 2026 trường THPT Yên Lạc – Phú Thọ
    19/05/2026
  • Đề thi thử tốt nghiệp THPT 2026 môn Toán lần 3 sở GD&ĐT Sơn La
    19/05/2026
  • Đề khảo sát lần 4 Toán 10 năm 2025 – 2026 trường THPT Nguyễn Đăng Đạo – Bắc Ninh
    19/05/2026
  • Đề khảo sát lần 4 Toán 11 năm 2025 – 2026 trường THPT Nguyễn Đăng Đạo – Bắc Ninh
    19/05/2026
  • Đề học kỳ 2 Toán 11 năm 2025 – 2026 trường THPT Chu Văn An – An Giang
    19/05/2026
  • Đề thi thử TN THPT 2026 môn Toán lần 1 trường THPT An Phước – Khánh Hòa
    18/05/2026

THEO DÕI TRÊN FACEBOOK

  • Facebook
  • Giới Thiệu
  • Chính Sách Bảo Mật
  • Liên Hệ

Copyright © 2026 | TOANMATH.com