TOANMATH.com

Tài liệu và đề thi Toán THPT miễn phí

  • Toán 10
    • Tài liệu Toán 10
    • Đề Cương Toán 10
    • Đề giữa HK1 Toán 10
    • Đề HK1 Toán 10
    • Đề giữa HK2 Toán 10
    • Đề HK2 Toán 10
    • Đề khảo sát Toán 10
    • Đề HSG Toán 10
    • Giáo án Toán 10
    • TIPS Giải Toán 10
  • Toán 11
    • Tài liệu Toán 11
    • Đề Cương Toán 11
    • Đề giữa HK1 Toán 11
    • Đề HK1 Toán 11
    • Đề giữa HK2 Toán 11
    • Đề HK2 Toán 11
    • Đề khảo sát Toán 11
    • Đề HSG Toán 11
    • Giáo án Toán 11
    • TIPS Giải Toán 11
  • Toán 12
    • Tài liệu Toán 12
    • Đề Cương Toán 12
    • Đề giữa HK1 Toán 12
    • Đề HK1 Toán 12
    • Đề giữa HK2 Toán 12
    • Đề HK2 Toán 12
    • Đề khảo sát Toán 12
    • Đề HSG Toán 12
    • Giáo án Toán 12
    • TIPS Giải Toán 12
  • Đề thi THPT
    • Đề thi thử THPT
    • Đề THPT chính thức
    • Đề đánh giá năng lực
    • Tài liệu ôn thi THPT
  • SGK-SBT
    • Sách giáo khoa THPT
    • Sách giáo khoa THCS
  • Toán THCS

Đề Thi HK2 Toán 10

Tổng hợp ĐỀ THI HK2 TOÁN 10 có đáp án và lời giải chi tiết của các trường Trung học Phổ thông, Sở Giáo dục và Đào tạo trên toàn quốc (File PDF). Các ĐỀ THI HK2 TOÁN 10 mới nhất sẽ được cập nhật liên tục và nhanh nhất có thể sau khi kỳ thi diễn ra, đáp án và lời giải chi tiết cũng sẽ được TOANMATH.com cập nhật sau đó nhằm giúp bạn đọc thuận tiện trong việc tra cứu và đối chiếu đáp án.

File WORD các ĐỀ THI CUỐI HỌC KÌ 2 TOÁN 10 (nếu có) được đính kèm trong nội dung bài viết, nhằm giúp quý thầy, cô giáo có thể tải xuống miễn phí, phục vụ cho quá trình biên soạn và giảng dạy. Quý thầy, cô giáo và bạn đọc có thể chia sẻ thêm ĐỀ THI CUỐI HỌC KÌ 2 TOÁN 10 bằng cách gửi về địa chỉ email: toanmath.com@gmail.com, nhằm tạo nguồn đề thi phong phú, đa dạng để các em học sinh lớp 10 tham khảo và rèn luyện.

Đề Thi HK2 Toán 10

Đề học kì 2 Toán 10 năm 2019 – 2020 trường THPT chuyên Vị Thanh – Hậu Giang

17/06/2020

Đề Thi HK2 Toán 10

Đề thi học kì 2 Toán 10 năm 2019 – 2020 trường THPT Phan Đình Phùng – Hà Nội

17/06/2020

Đề Thi HK2 Toán 10

Đề thi học kỳ 2 Toán 10 năm 2019 – 2020 trường THPT chuyên Hạ Long – Quảng Ninh

12/06/2020

Đề Thi HK2 Toán 10

Đề thi học kì 2 Toán 10 năm học 2019 – 2020 trường THPT Yên Mỹ – Hưng Yên

06/06/2020

Đề Thi HK2 Toán 10

Đề thi học kì 2 Toán 10 năm 2019 – 2020 trường THPT Bình Hưng Hòa – TP HCM

02/06/2020

Đề Thi HK2 Toán 10

Đề thi học kì 2 Toán 10 năm 2019 – 2020 trường THPT Bách Việt – TP HCM

02/06/2020

Đề Thi HK2 Toán 10

Đề thi học kì 2 Toán 10 năm 2019 – 2020 trường THPT Bà Điểm – TP HCM

02/06/2020

Đề Thi HK2 Toán 10

Đề thi học kì 2 Toán 10 năm 2019 – 2020 trường THPT An Nghĩa – TP HCM

02/06/2020

Đề Thi HK2 Toán 10

Đề thi học kì 2 Toán 10 năm 2019 – 2020 trường Quốc tế Á Châu – TP HCM

02/06/2020

Đề Thi HK2 Toán 10

Đề thi học kì 2 Toán 10 năm 2019 – 2020 trường THPT Đông Dương – TP HCM

02/06/2020

Đề Thi HK2 Toán 10

Đề thi học kì 2 Toán 10 năm 2019 – 2020 trường THPT Thanh Đa – TP HCM

02/06/2020

Đề Thi HK2 Toán 10

Đề thi học kì 2 Toán 10 năm 2019 – 2020 trường Nguyễn Tất Thành – Hà Nội

20/05/2020

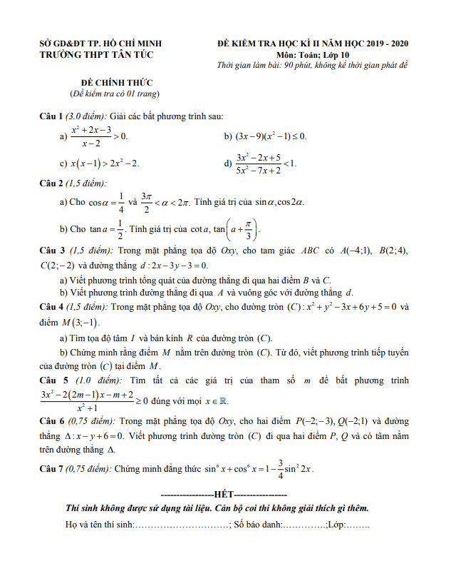
Đề Thi HK2 Toán 10

Đề thi học kì 2 Toán 10 năm 2019 – 2020 trường THPT Tân Túc – TP HCM

12/05/2020

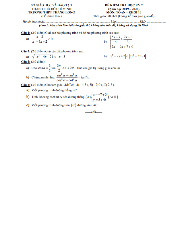
Đề Thi HK2 Toán 10

Đề thi học kì 2 Toán 10 năm 2019 – 2020 trường THPT Thăng Long – TP HCM

12/05/2020

Đề Thi HK2 Toán 10

Đề thi học kì 2 Toán 10 năm 2019 – 2020 trường Trần Cao Vân – TP HCM

12/05/2020

Đề Thi HK2 Toán 10

Đề thi học kì 2 Toán 10 năm 2019 – 2020 trường THPT Trần Hưng Đạo – TP HCM

12/05/2020

Đề Thi HK2 Toán 10

Đề thi học kì 2 Toán 10 năm 2019 – 2020 trường THPT Trần Nhân Tông – TP HCM

12/05/2020

Đề Thi HK2 Toán 10

Đề thi học kì 2 Toán 10 năm 2019 – 2020 trường THPT Trần Quang Khải – TP HCM

12/05/2020

Đề Thi HK2 Toán 10

Đề thi học kì 2 Toán 10 năm 2019 – 2020 trường THCS&THPT Trí Đức – TP HCM

12/05/2020

Đề Thi HK2 Toán 10

Đề thi học kì 2 Toán 10 năm 2019 – 2020 trường THPT Trưng Vương – TP HCM

12/05/2020

Phân trang bài viết

« 1 … 15 16 17 … 20 »

TÌM KIẾM THEO TỪ KHÓA

TÀI LIỆU MỚI NHẤT

  • Tài liệu ôn tập cuối kỳ 2 Toán 10 năm 2025 – 2026 trường THPT Trần Phú – Đà Nẵng
    20/04/2026
  • Tài liệu ôn tập cuối kỳ 2 Toán 11 năm 2025 – 2026 trường THPT Trần Phú – Đà Nẵng
    20/04/2026
  • Tài liệu ôn tập cuối kỳ 2 Toán 12 năm 2025 – 2026 trường THPT Trần Phú – Đà Nẵng
    20/04/2026
  • Đề thi thử TN THPT 2026 môn Toán trường chuyên Lương Văn Chánh – Đắk Lắk
    20/04/2026
  • Đề cương cuối kì 2 Toán 10 năm 2025 – 2026 trường THPT Hướng Hóa – Quảng Trị
    19/04/2026
  • Đề cương cuối kì 2 Toán 11 năm 2025 – 2026 trường THPT Hướng Hóa – Quảng Trị
    19/04/2026

THEO DÕI TRÊN FACEBOOK

  • Facebook
  • Giới Thiệu
  • Chính Sách Bảo Mật
  • Liên Hệ

Copyright © 2026 | TOANMATH.com