TOANMATH.com

Tài liệu và đề thi Toán THPT miễn phí

  • Toán 10
    • Tài liệu Toán 10
    • Đề Cương Toán 10
    • Đề giữa HK1 Toán 10
    • Đề HK1 Toán 10
    • Đề giữa HK2 Toán 10
    • Đề HK2 Toán 10
    • Đề khảo sát Toán 10
    • Đề HSG Toán 10
    • Giáo án Toán 10
    • TIPS Giải Toán 10
  • Toán 11
    • Tài liệu Toán 11
    • Đề Cương Toán 11
    • Đề giữa HK1 Toán 11
    • Đề HK1 Toán 11
    • Đề giữa HK2 Toán 11
    • Đề HK2 Toán 11
    • Đề khảo sát Toán 11
    • Đề HSG Toán 11
    • Giáo án Toán 11
    • TIPS Giải Toán 11
  • Toán 12
    • Tài liệu Toán 12
    • Đề Cương Toán 12
    • Đề giữa HK1 Toán 12
    • Đề HK1 Toán 12
    • Đề giữa HK2 Toán 12
    • Đề HK2 Toán 12
    • Đề khảo sát Toán 12
    • Đề HSG Toán 12
    • Giáo án Toán 12
    • TIPS Giải Toán 12
  • Đề thi THPT
    • Đề thi thử THPT
    • Đề THPT chính thức
    • Đề đánh giá năng lực
    • Tài liệu ôn thi THPT
  • SGK-SBT
    • Sách giáo khoa THPT
    • Sách giáo khoa THCS
  • Toán THCS

Đề Thi HSG Toán 12

Tổng hợp ĐỀ THI HSG TOÁN 12 của các trường Trung học Phổ thông, các Sở Giáo dục và Đào tạo trên toàn quốc, có đáp án và lời giải chi tiết (định dạng PDF + WORD), hỗ trợ học sinh lớp 12 trong quá trình ôn tập chuẩn bị cho kỳ thi chọn học sinh giỏi Toán 12 các cấp: cấp trường / cấp huyện / cấp tỉnh / cấp Quốc gia.

Quý thầy, cô giáo và bạn đọc có thể chia sẻ thêm ĐỀ THI HSG TOÁN 12 bằng cách gửi về địa chỉ email: toanmath.com@gmail.com, nhằm tạo nguồn đề thi phong phú, đa dạng để các em học sinh lớp 12 tham khảo và rèn luyện.

Đề Thi HSG Toán 12

Đề thi chọn học sinh giỏi Toán 12 năm 2023 – 2024 sở GD&ĐT Nam Định

17/04/2024

Đề Thi HSG Toán 12

Đề thi chọn học sinh giỏi Toán THPT năm 2023 – 2024 sở GD&ĐT Sơn La

17/04/2024

Đề Thi HSG Toán 12

Đề học sinh giỏi Toán THPT cấp tỉnh năm 2023 – 2024 sở GD&ĐT Long An

17/04/2024

Đề Thi HSG Toán 12

Đề học sinh giỏi tỉnh Toán THPT đợt 1 năm 2023 – 2024 sở GD&ĐT Quảng Nam

26/03/2024

Đề Thi HSG Toán 12

Đề học sinh giỏi cấp tỉnh Toán 12 năm 2023 – 2024 sở GD&ĐT Tuyên Quang

05/03/2024

Đề Thi HSG Toán 12

Đề học sinh giỏi Toán 12 cấp tỉnh năm 2023 – 2024 sở GD&ĐT Hà Nam

05/03/2024

Đề Thi HSG Toán 12

Đề học sinh giỏi Toán 12 năm 2023 – 2024 trường THPT Bình Chiểu – TP HCM

02/03/2024

Đề Thi HSG Toán 12

Đề học sinh giỏi cấp tỉnh Toán THPT năm 2023 – 2024 sở GD&ĐT Bến Tre

01/03/2024

Đề Thi HSG Toán 12

Đề học sinh giỏi Toán 12 cấp tỉnh năm 2023 – 2024 sở GD&ĐT Đồng Nai

29/02/2024

Đề Thi HSG Toán 12

Đề thi thử HSG lần 3 Toán 12 năm 2023 – 2024 trường THPT Trần Văn Lan – Nam Định

26/02/2024

Đề Thi HSG Toán 12

Đề học sinh giỏi cấp tỉnh Toán 12 năm 2023 – 2024 sở GD&ĐT Bắc Giang

26/02/2024

Đề Thi HSG Toán 12

Đề học sinh giỏi cấp tỉnh Toán 12 năm 2023 – 2024 sở GD&ĐT Kon Tum

26/02/2024

Đề Thi HSG Toán 12

Đề học sinh giỏi Toán THPT cấp tỉnh năm 2023 – 2024 sở GD&ĐT Hưng Yên

31/01/2024

Đề Thi HSG Toán 12

Đề học sinh giỏi cấp tỉnh Toán 12 năm 2023 – 2024 sở GD&ĐT Lâm Đồng

26/01/2024

Đề Thi HSG Toán 12

Đề học sinh giỏi cấp tỉnh Toán 12 năm 2023 – 2024 sở GD&ĐT Phú Thọ

22/01/2024

Đề Thi HSG Toán 12

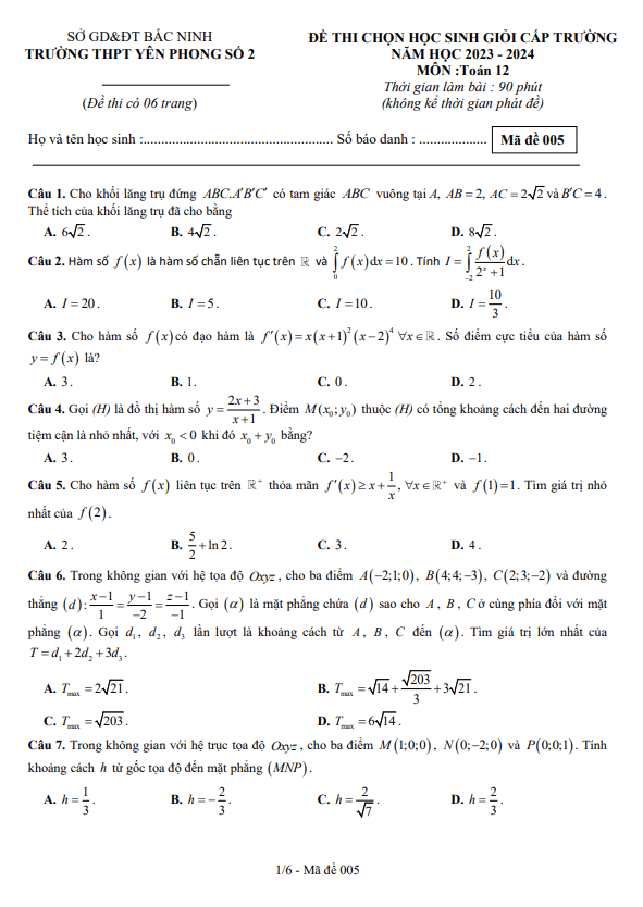
Đề học sinh giỏi Toán 12 năm 2023 – 2024 trường THPT Yên Phong 2 – Bắc Ninh

13/01/2024

Đề Thi HSG Toán 12

Đề thi chọn học sinh giỏi Quốc gia môn Toán THPT năm học 2023 – 2024

07/01/2024

Đề Thi HSG Toán 12

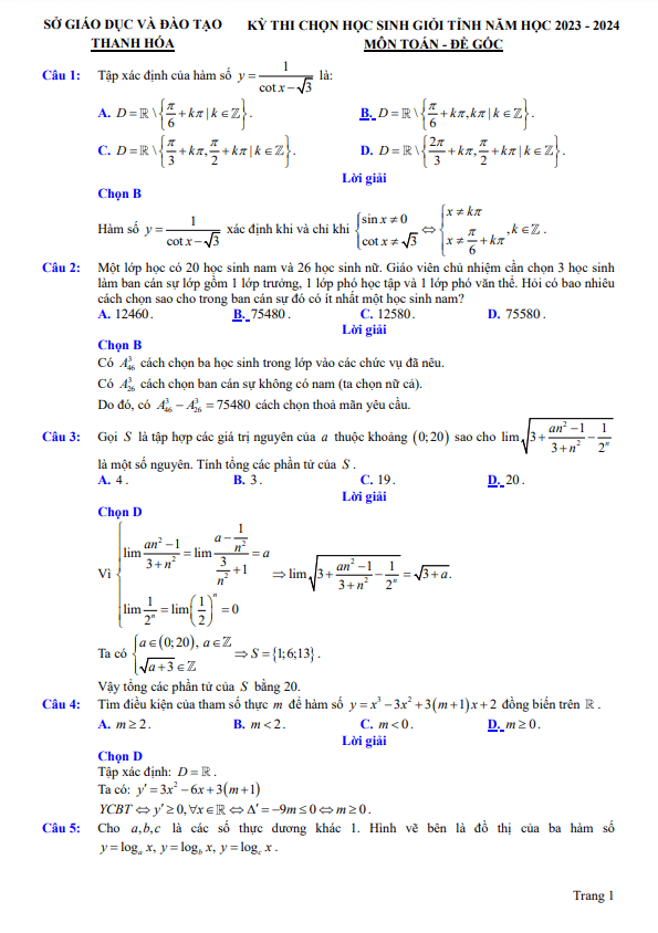
Đề học sinh giỏi tỉnh Toán THPT năm 2023 – 2024 sở GD&ĐT Thanh Hóa

03/01/2024

Đề Thi HSG Toán 12

Đề học sinh giỏi tỉnh Toán 12 năm 2023 – 2024 sở GD&ĐT Quảng Bình

26/12/2023

Đề Thi HSG Toán 12

Đề học sinh giỏi Toán 12 năm 2023 – 2024 trường chuyên Lê Hồng Phong – Nam Định

26/12/2023

Phân trang bài viết

« 1 … 8 9 10 … 29 »

TÌM KIẾM THEO TỪ KHÓA

TÀI LIỆU MỚI NHẤT

  • Tài liệu ôn tập cuối kỳ 2 Toán 10 năm 2025 – 2026 trường THPT Trần Phú – Đà Nẵng
    20/04/2026
  • Tài liệu ôn tập cuối kỳ 2 Toán 11 năm 2025 – 2026 trường THPT Trần Phú – Đà Nẵng
    20/04/2026
  • Tài liệu ôn tập cuối kỳ 2 Toán 12 năm 2025 – 2026 trường THPT Trần Phú – Đà Nẵng
    20/04/2026
  • Đề thi thử TN THPT 2026 môn Toán trường chuyên Lương Văn Chánh – Đắk Lắk
    20/04/2026
  • Đề cương cuối kì 2 Toán 10 năm 2025 – 2026 trường THPT Hướng Hóa – Quảng Trị
    19/04/2026
  • Đề cương cuối kì 2 Toán 11 năm 2025 – 2026 trường THPT Hướng Hóa – Quảng Trị
    19/04/2026

THEO DÕI TRÊN FACEBOOK

  • Facebook
  • Giới Thiệu
  • Chính Sách Bảo Mật
  • Liên Hệ

Copyright © 2026 | TOANMATH.com