TOANMATH.com

Tài liệu và đề thi Toán THPT miễn phí

  • Toán 10
    • Tài liệu Toán 10
    • Đề Cương Toán 10
    • Đề giữa HK1 Toán 10
    • Đề HK1 Toán 10
    • Đề giữa HK2 Toán 10
    • Đề HK2 Toán 10
    • Đề khảo sát Toán 10
    • Đề HSG Toán 10
    • Giáo án Toán 10
    • TIPS Giải Toán 10
  • Toán 11
    • Tài liệu Toán 11
    • Đề Cương Toán 11
    • Đề giữa HK1 Toán 11
    • Đề HK1 Toán 11
    • Đề giữa HK2 Toán 11
    • Đề HK2 Toán 11
    • Đề khảo sát Toán 11
    • Đề HSG Toán 11
    • Giáo án Toán 11
    • TIPS Giải Toán 11
  • Toán 12
    • Tài liệu Toán 12
    • Đề Cương Toán 12
    • Đề giữa HK1 Toán 12
    • Đề HK1 Toán 12
    • Đề giữa HK2 Toán 12
    • Đề HK2 Toán 12
    • Đề khảo sát Toán 12
    • Đề HSG Toán 12
    • Giáo án Toán 12
    • TIPS Giải Toán 12
  • Đề thi THPT
    • Đề thi thử THPT
    • Đề THPT chính thức
    • Đề đánh giá năng lực
    • Tài liệu ôn thi THPT
  • SGK-SBT
    • Sách giáo khoa THPT
    • Sách giáo khoa THCS
  • Toán THCS

Đề Thi HK2 Toán 12

Tổng hợp ĐỀ THI HK2 TOÁN 12 có đáp án và lời giải chi tiết của các trường Trung học Phổ thông, Sở Giáo dục và Đào tạo trên toàn quốc (File PDF). Các ĐỀ THI HK2 TOÁN 12 mới nhất sẽ được cập nhật liên tục và nhanh nhất có thể sau khi kỳ thi diễn ra, đáp án và lời giải chi tiết cũng sẽ được TOANMATH.com cập nhật sau đó nhằm giúp bạn đọc thuận tiện trong việc tra cứu và đối chiếu đáp án.

File WORD các ĐỀ THI CUỐI HỌC KÌ 2 TOÁN 12 (nếu có) được đính kèm trong nội dung bài viết, nhằm giúp quý thầy, cô giáo có thể tải xuống miễn phí, phục vụ cho quá trình biên soạn và giảng dạy. Quý thầy, cô giáo và bạn đọc có thể chia sẻ thêm ĐỀ THI CUỐI HỌC KÌ 2 TOÁN 12 bằng cách gửi về địa chỉ email: toanmath.com@gmail.com, nhằm tạo nguồn đề thi phong phú, đa dạng để các em học sinh lớp 12 tham khảo và rèn luyện.

Đề Thi HK2 Toán 12

Đề thi cuối kỳ 2 Toán 12 năm 2020 – 2021 trường Đoàn Thượng – Hải Dương

12/05/2021

Đề Thi HK2 Toán 12

Đề thi HK2 Toán 12 năm 2020 – 2021 trường THPT Thủ Đức – TP Hồ Chí Minh

10/05/2021

Đề Thi HK2 Toán 12

Đề thi học kỳ 2 Toán 12 năm 2020 – 2021 trường THPT Kim Liên – Hà Nội

07/05/2021

Đề Thi HK2 Toán 12

Đề thi cuối kỳ 2 Toán 12 năm 2020 – 2021 trường Lý Thường Kiệt – Bình Thuận

06/05/2021

Đề Thi HK2 Toán 12

Đề thi HK2 Toán 12 năm 2020 – 2021 trường THPT Bùi Thị Xuân – TP HCM

06/05/2021

Đề Thi HK2 Toán 12

Đề thi cuối HK2 Toán 12 năm 2020 – 2021 trường chuyên Lê Hồng Phong – TP HCM

05/05/2021

Đề Thi HK2 Toán 12

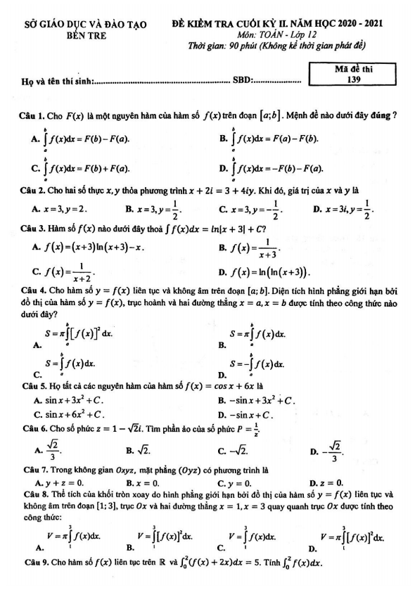
Đề kiểm tra cuối kỳ 2 Toán 12 năm 2020 – 2021 sở GD&ĐT Bến Tre

05/05/2021

Đề Thi HK2 Toán 12

Đề thi HK2 Toán 12 năm 2020 – 2021 trường Phổ thông Năng khiếu – TP HCM

03/05/2021

Đề Thi HK2 Toán 12

Đề kiểm tra học kỳ 2 Toán 12 năm 2020 – 2021 sở GD&ĐT Hậu Giang

02/05/2021

Đề Thi HK2 Toán 12

Đề thi HK2 Toán 12 năm 2020 – 2021 trường chuyên Nguyễn Huệ – Hà Nội

01/05/2021

Đề Thi HK2 Toán 12

Đề thi HK2 Toán 12 năm 2020 – 2021 trường THPT Hai Bà Trưng – TT Huế

01/05/2021

Đề Thi HK2 Toán 12

Đề kiểm tra cuối kì 2 Toán 12 năm 2020 – 2021 sở GD&ĐT tỉnh Kon Tum

30/04/2021

Đề Thi HK2 Toán 12

Đề thi học kỳ 2 Toán 12 năm 2020 – 2021 trường THPT Lê Quý Đôn – Quảng Ngãi

29/04/2021

Đề Thi HK2 Toán 12

Đề thi HK2 Toán 12 năm 2020 – 2021 trường Năng khiếu TDTT Bình Chánh – TP HCM

28/04/2021

Đề Thi HK2 Toán 12

Đề thi cuối học kì 2 Toán 12 năm 2020 – 2021 trường THPT chuyên Quốc học Huế

28/04/2021

Đề Thi HK2 Toán 12

Đề thi học kỳ 2 Toán 12 năm 2020 – 2021 sở GD&ĐT tỉnh Đồng Nai

27/04/2021

Đề Thi HK2 Toán 12

Đề thi cuối kỳ 2 Toán 12 năm học 2020 – 2021 sở GD&ĐT Quảng Trị

27/04/2021

Đề Thi HK2 Toán 12

Đề thi cuối kỳ 2 Toán 12 năm 2020 – 2021 sở GD&ĐT thành phố Cần Thơ

27/04/2021

Đề Thi HK2 Toán 12

Đề thi học kỳ 2 Toán 12 năm 2020 – 2021 trường THPT Đan Phượng – Hà Nội

26/04/2021

Đề Thi HK2 Toán 12

Đề thi HK2 Toán 12 năm 2020 – 2021 trường THPT Phan Đình Phùng – Hà Nội

24/04/2021

Phân trang bài viết

« 1 … 10 11 12 … 24 »

TÌM KIẾM THEO TỪ KHÓA

TÀI LIỆU MỚI NHẤT

  • Đề thi thử tốt nghiệp THPT năm 2026 môn Toán sở GD&ĐT Quảng Trị
    21/04/2026
  • 80 đề ôn thi tốt nghiệp THPT năm 2026 môn Toán – Nguyễn Hữu Chung Kiên
    21/04/2026
  • Tài liệu ôn tập cuối kỳ 2 Toán 10 năm 2025 – 2026 trường THPT Trần Phú – Đà Nẵng
    20/04/2026
  • Tài liệu ôn tập cuối kỳ 2 Toán 11 năm 2025 – 2026 trường THPT Trần Phú – Đà Nẵng
    20/04/2026
  • Tài liệu ôn tập cuối kỳ 2 Toán 12 năm 2025 – 2026 trường THPT Trần Phú – Đà Nẵng
    20/04/2026
  • Đề thi thử TN THPT 2026 môn Toán trường chuyên Lương Văn Chánh – Đắk Lắk
    20/04/2026

THEO DÕI TRÊN FACEBOOK

  • Facebook
  • Giới Thiệu
  • Chính Sách Bảo Mật
  • Liên Hệ

Copyright © 2026 | TOANMATH.com