TOANMATH.com

Tài liệu và đề thi Toán THPT miễn phí

  • Toán 10
    • Tài liệu Toán 10
    • Đề Cương Toán 10
    • Đề giữa HK1 Toán 10
    • Đề HK1 Toán 10
    • Đề giữa HK2 Toán 10
    • Đề HK2 Toán 10
    • Đề khảo sát Toán 10
    • Đề HSG Toán 10
    • Giáo án Toán 10
    • TIPS Giải Toán 10
  • Toán 11
    • Tài liệu Toán 11
    • Đề Cương Toán 11
    • Đề giữa HK1 Toán 11
    • Đề HK1 Toán 11
    • Đề giữa HK2 Toán 11
    • Đề HK2 Toán 11
    • Đề khảo sát Toán 11
    • Đề HSG Toán 11
    • Giáo án Toán 11
    • TIPS Giải Toán 11
  • Toán 12
    • Tài liệu Toán 12
    • Đề Cương Toán 12
    • Đề giữa HK1 Toán 12
    • Đề HK1 Toán 12
    • Đề giữa HK2 Toán 12
    • Đề HK2 Toán 12
    • Đề khảo sát Toán 12
    • Đề HSG Toán 12
    • Giáo án Toán 12
    • TIPS Giải Toán 12
  • Đề thi THPT
    • Đề thi thử THPT
    • Đề THPT chính thức
    • Đề đánh giá năng lực
    • Tài liệu ôn thi THPT
  • SGK-SBT
    • Sách giáo khoa THPT
    • Sách giáo khoa THCS
  • Toán THCS

Đề Thi Thử THPT Môn Toán 2016

Chuyên mục ĐỀ THI THỬ THPT MÔN TOÁN 2016 bao gồm: Đề Thi Thử Tốt Nghiệp THPT Năm 2016 Môn Toán, Đề Minh Họa Tốt Nghiệp THPT Năm 2016 Môn Toán, Đề Tham Khảo Tốt Nghiệp THPT Năm 2016 Môn Toán … của các trường Trung học Phổ thông, Sở GD&ĐT và Bộ GD&ĐT; giúp học sinh ôn thi tốt nghiệp Trung học Phổ thông Quốc gia, ôn thi tuyển sinh vào các trường Đại học – Cao đẳng.

Các ĐỀ THI THỬ THPT MÔN TOÁN 2016 sẽ được TOANMATH.com cập nhật nhanh nhất và chuẩn xác nhất sau kỳ thi, bao gồm file PDF và file WORD (nếu có), có đầy đủ đáp án và lời giải chi tiết. Quý thầy, cô giáo và bạn đọc có thể chia sẻ thêm ĐỀ THI THỬ THPT MÔN TOÁN 2016 bằng cách gửi về địa chỉ email: toanmath.com@gmail.com, nhằm tạo nguồn đề thi phong phú, đa dạng để các em học sinh tham khảo và rèn luyện.

Đề Thi Thử THPT Môn Toán

Đề thi thử THPT Quốc gia 2016 môn Toán trường B Bình Lục – Hà Nam

19/06/2016

Đề Thi Thử THPT Môn Toán

Đề thi thử Quốc gia 2016 môn Toán trường Châu Thành 2 – Đồng Tháp lần 2

19/06/2016

Đề Thi Thử THPT Môn Toán

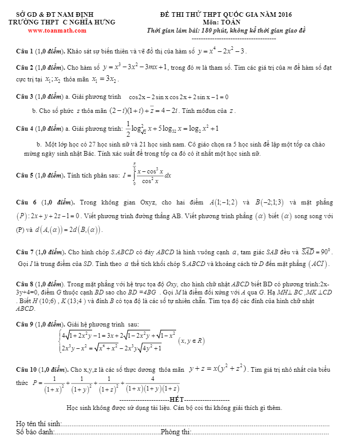
Đề thi thử THPT Quốc gia 2016 môn Toán trường C Nghĩa Hưng – Nam Định

19/06/2016

Đề Thi Thử THPT Môn Toán

Đề thi thử Quốc gia 2016 môn Toán trường Nguyễn Văn Trỗi – Hà Tĩnh lần 2

17/06/2016

Đề Thi Thử THPT Môn Toán

Đề thi thử Quốc gia 2016 môn Toán trường Đoàn Thượng – Hải Dương lần 3

17/06/2016

Đề Thi Thử THPT Môn Toán

Đề thi thử THPT Quốc gia 2016 môn Toán trường Nguyễn Hữu Cầu – TP.HCM

17/06/2016

Đề Thi Thử THPT Môn Toán

Đề thi thử THPT Quốc gia 2016 môn Toán trường Trực Ninh – Nam Định lần 1

17/06/2016

Đề Thi Thử THPT Môn Toán

Đề thi thử THPT Quốc gia 2016 môn Toán sở GD và ĐT Bình Phước

17/06/2016

Đề Thi Thử THPT Môn Toán

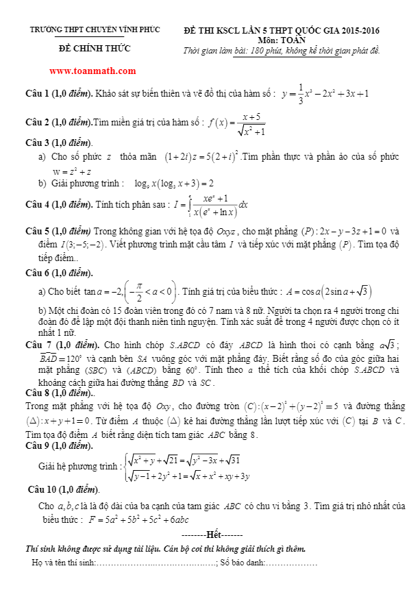
Đề thi thử Quốc gia 2016 môn Toán trường THPT chuyên Vĩnh Phúc lần 5

16/06/2016

Đề Thi Thử THPT Môn Toán

Đề thi thử Quốc gia 2016 môn Toán trường Định Quán – Đồng Nai lần 1

16/06/2016

Đề Thi Thử THPT Môn Toán

Đề thi thử THPT Quốc gia 2016 môn Toán sở GD và ĐT Gia Lai

15/06/2016

Đề Thi Thử THPT Môn Toán

Đề thi thử THPT Quốc gia 2016 môn Toán trường chuyên Hà Nội – Amsterdam

14/06/2016

Đề Thi Thử THPT Môn Toán

Đề thi thử THPT Quốc gia 2016 môn Toán sở GD và ĐT Hậu Giang

13/06/2016

Đề Thi Thử THPT Môn Toán

Đề thi thử THPT Quốc gia 2016 môn Toán trường Trưng Vương – TP.HCM

13/06/2016

Đề Thi Thử THPT Môn Toán

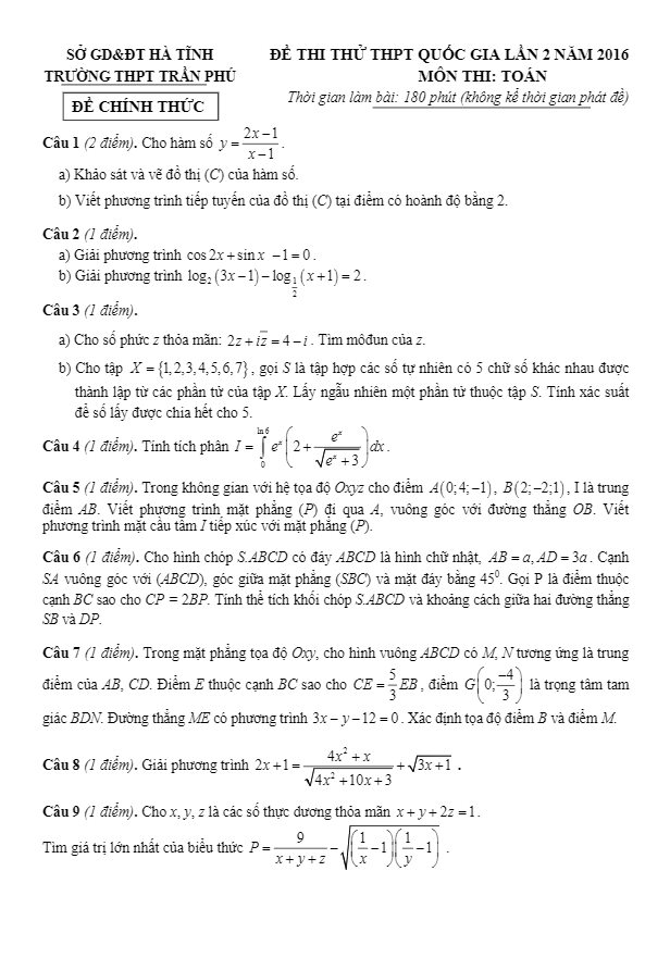
Đề thi thử THPT Quốc gia 2016 môn Toán trường Trần Phú – Hà Tĩnh lần 2

13/06/2016

Đề Thi Thử THPT Môn Toán

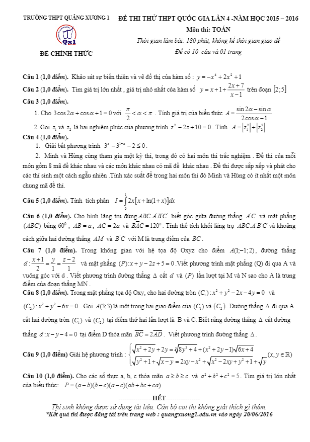
Đề thi thử Quốc gia 2016 môn Toán trường Quảng Xương 1 – Thanh Hóa lần 4

13/06/2016

Đề Thi Thử THPT Môn Toán

Đề thi thử Quốc gia 2016 môn Toán trường chuyên Thoại Ngọc Hầu lần 3

13/06/2016

Đề Thi Thử THPT Môn Toán

Đề thi thử Quốc gia 2016 môn Toán trường Hồng Quang – Hải Dương lần 4

12/06/2016

Đề Thi Thử THPT Môn Toán

Đề thi thử Quốc gia 2016 môn Toán trường Nguyễn Tất Thành – Kon Tum lần 3

10/06/2016

Đề Thi Thử THPT Môn Toán

Đề thi thử Quốc gia 2016 môn Toán trường Nguyễn Hữu Cảnh – Bình Phước lần 3

10/06/2016

Phân trang bài viết

« 1 2 3 … 12 »

TÌM KIẾM THEO TỪ KHÓA

TÀI LIỆU MỚI NHẤT

  • Đề khảo sát Toán 12 lần 3 năm 2025 – 2026 trường THPT Khương Đình – Hà Nội
    15/05/2026
  • Đề thi thử TN THPT 2026 môn Toán lần 3 trường chuyên Lê Hồng Phong – Ninh Bình
    15/05/2026
  • Đề thi thử tốt nghiệp THPT 2026 môn Toán sở GD&ĐT Hà Tĩnh
    14/05/2026
  • Đề thi thử tốt nghiệp THPT năm 2026 môn Toán sở GD&ĐT Lâm Đồng
    14/05/2026
  • Đề ôn thi tốt nghiệp THPT 2026 môn Toán trường THPT Nguyễn Thị Diệu – TP HCM
    14/05/2026
  • Đề khảo sát Toán 12 lần 3 năm 2025 – 2026 trường THPT Kim Liên – Hà Nội
    14/05/2026

THEO DÕI TRÊN FACEBOOK

  • Facebook
  • Giới Thiệu
  • Chính Sách Bảo Mật
  • Liên Hệ

Copyright © 2026 | TOANMATH.com