TOANMATH.com

Tài liệu và đề thi Toán THPT miễn phí

  • Toán 10
    • Tài liệu Toán 10
    • Đề Cương Toán 10
    • Đề giữa HK1 Toán 10
    • Đề HK1 Toán 10
    • Đề giữa HK2 Toán 10
    • Đề HK2 Toán 10
    • Đề khảo sát Toán 10
    • Đề HSG Toán 10
    • Giáo án Toán 10
    • TIPS Giải Toán 10
  • Toán 11
    • Tài liệu Toán 11
    • Đề Cương Toán 11
    • Đề giữa HK1 Toán 11
    • Đề HK1 Toán 11
    • Đề giữa HK2 Toán 11
    • Đề HK2 Toán 11
    • Đề khảo sát Toán 11
    • Đề HSG Toán 11
    • Giáo án Toán 11
    • TIPS Giải Toán 11
  • Toán 12
    • Tài liệu Toán 12
    • Đề Cương Toán 12
    • Đề giữa HK1 Toán 12
    • Đề HK1 Toán 12
    • Đề giữa HK2 Toán 12
    • Đề HK2 Toán 12
    • Đề khảo sát Toán 12
    • Đề HSG Toán 12
    • Giáo án Toán 12
    • TIPS Giải Toán 12
  • Đề thi THPT
    • Đề thi thử THPT
    • Đề THPT chính thức
    • Đề đánh giá năng lực
    • Tài liệu ôn thi THPT
  • SGK-SBT
    • Sách giáo khoa THPT
    • Sách giáo khoa THCS
  • Toán THCS

Đề Thi Thử THPT Môn Toán 2018

Chuyên mục ĐỀ THI THỬ THPT MÔN TOÁN 2018 bao gồm: Đề Thi Thử Tốt Nghiệp THPT Năm 2018 Môn Toán, Đề Minh Họa Tốt Nghiệp THPT Năm 2018 Môn Toán, Đề Tham Khảo Tốt Nghiệp THPT Năm 2018 Môn Toán … của các trường Trung học Phổ thông, Sở GD&ĐT và Bộ GD&ĐT; giúp học sinh ôn thi tốt nghiệp Trung học Phổ thông Quốc gia, ôn thi tuyển sinh vào các trường Đại học – Cao đẳng.

Các ĐỀ THI THỬ THPT MÔN TOÁN 2018 sẽ được TOANMATH.com cập nhật nhanh nhất và chuẩn xác nhất sau kỳ thi, bao gồm file PDF và file WORD (nếu có), có đầy đủ đáp án và lời giải chi tiết. Quý thầy, cô giáo và bạn đọc có thể chia sẻ thêm ĐỀ THI THỬ THPT MÔN TOÁN 2018 bằng cách gửi về địa chỉ email: toanmath.com@gmail.com, nhằm tạo nguồn đề thi phong phú, đa dạng để các em học sinh tham khảo và rèn luyện.

Đề Thi Thử THPT Môn Toán

Đề thi thử môn Toán 2018 THPT Quốc gia lần 2 trường THPT chuyên Thái Bình

18/12/2017

Đề Thi Thử THPT Môn Toán

Đề thi thử môn Toán 2018 THPT Quốc gia trường THPT Ba Đình – Thanh Hóa

17/12/2017

Đề Thi Thử THPT Môn Toán

Đề khảo sát kiến thức Toán 12 THPT năm học 2017 – 2018 sở GD và ĐT Vĩnh Phúc

17/12/2017

Đề Thi Thử THPT Môn Toán

Đề thi thử môn Toán 2018 THPT Quốc gia lần 1 trường THPT Bắc Yên Thành – Nghệ An

17/12/2017

Đề Thi Thử THPT Môn Toán

Đề thi thử môn Toán 2018 THPT Quốc gia lần 1 trường THPT chuyên Lương Văn Tụy – Ninh Bình

17/12/2017

Đề Thi Thử THPT Môn Toán

Đề thi thử môn Toán 2018 THPT Quốc gia – tạp chí Toán Học Tuổi Trẻ lần 3

14/12/2017

Đề Thi Thử THPT Môn Toán

Đề khảo sát chất lượng Toán 12 năm học 2017 – 2018 trường THPT Triệu Sơn 1 – Thanh Hóa

12/12/2017

Đề Thi Thử THPT Môn Toán

Đề thi thử môn Toán 2018 THPT Quốc gia trường THPT Quảng Xương 1 – Thanh Hóa lần 1

11/12/2017

Đề Thi Thử THPT Môn Toán

Đề thi thử môn Toán 2018 THPT Quốc gia trường THPT chuyên Lam Sơn – Thanh Hóa

10/12/2017

Đề Thi Thử THPT Môn Toán

Đề thi thử môn Toán 2018 THPT Quốc gia trường THPT Triệu Sơn 3 – Thanh Hóa lần 1

10/12/2017

Đề Thi Thử THPT Môn Toán

Đề thi thử môn Toán 2018 THPT Quốc gia lần 1 trường THPT Kim Sơn A – Ninh Bình

10/12/2017

Đề Thi Thử THPT Môn Toán

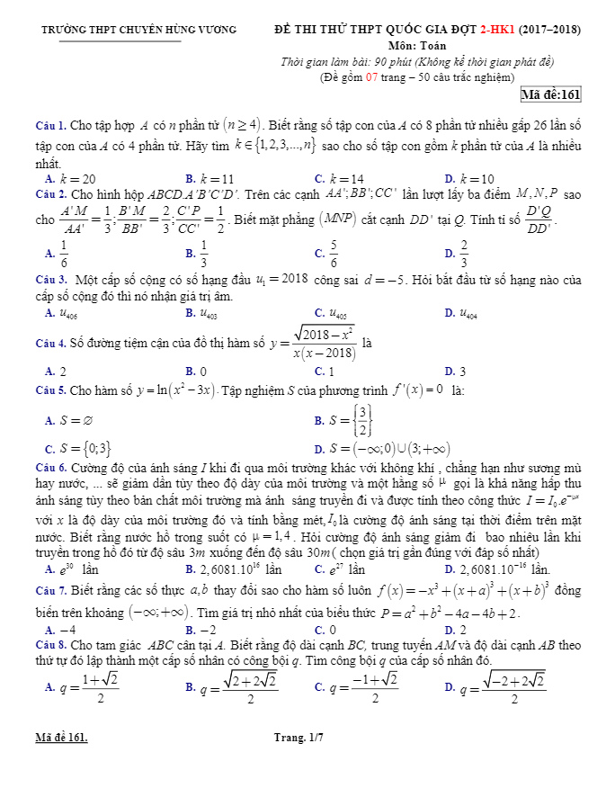
Đề thi thử môn Toán 2018 THPT Quốc gia đợt 2 – HK1 trường chuyên Hùng Vương – Bình Dương

09/12/2017

Đề Thi Thử THPT Môn Toán

Đề KSCL Toán 12 năm học 2017 – 2018 trường THPT Nguyễn Viết Xuân – Vĩnh Phúc lần 2

07/12/2017

Đề Thi Thử THPT Môn Toán

Đề thi thử môn Toán 2018 THPT Quốc gia lần 1 trường THPT Hà Trung – Thanh Hóa

03/12/2017

Đề Thi Thử THPT Môn Toán

Đề thi thử môn Toán 2018 THPT Quốc gia lần 2 trường THPT chuyên Vĩnh Phúc

02/12/2017

Đề Thi Thử THPT Môn Toán

Đề KSCL ôn thi THPT Quốc gia môn Toán lần 1 năm 2017 – 2018 trường Hậu Lộc 2 – Thanh Hóa

01/12/2017

Đề Thi Thử THPT Môn Toán

Đề khảo sát Toán 12 lần 1 năm học 2017 – 2018 trường THPT Cổ Loa – Hà Nội

01/12/2017

Đề Thi Thử THPT Môn Toán

Đề thi thử môn Toán 2018 THPT Quốc gia trường THPT Lục Ngạn 1 – Bắc Giang

30/11/2017

Đề Thi Thử THPT Môn Toán

Đề thi KSCL Toán 12 lần 1 năm học 2017 – 2018 trường THPT Nông Cống 1 – Thanh Hóa

29/11/2017

Đề Thi Thử THPT Môn Toán

Đề thi thử môn Toán 2018 THPT Quốc gia trường THPT Lê Văn Thịnh – Bắc Ninh

29/11/2017

Phân trang bài viết

« 1 … 14 15 16 … 18 »

TÌM KIẾM THEO TỪ KHÓA

TÀI LIỆU MỚI NHẤT

  • Đề thi thử tốt nghiệp THPT 2026 môn Toán đợt 2 sở GD&ĐT Nghệ An
    22/04/2026
  • Đề thi thử TN THPT 2026 môn Toán lần 2 trường THPT Yên Hòa – Hà Nội
    22/04/2026
  • Đề cuối học kì 2 Toán 10 năm 2025 – 2026 trường THPT Hoàng Mai – Hà Nội
    22/04/2026
  • Đề khảo sát Toán 12 lần 3 năm 2025 – 2026 trường THPT Trần Phú – Hà Nội
    22/04/2026
  • Bộ đề tham khảo TN THPT năm 2026 môn Toán sở GD&ĐT TP Hồ Chí Minh
    22/04/2026
  • Đề cuối kỳ 2 Toán 10 năm 2025 – 2026 trường THPT Phạm Hồng Thái – Hà Nội
    22/04/2026

THEO DÕI TRÊN FACEBOOK

  • Facebook
  • Giới Thiệu
  • Chính Sách Bảo Mật
  • Liên Hệ

Copyright © 2026 | TOANMATH.com