TOANMATH.com

Tài liệu và đề thi Toán THPT miễn phí

  • Toán 10
    • Tài liệu Toán 10
    • Đề Cương Toán 10
    • Đề giữa HK1 Toán 10
    • Đề HK1 Toán 10
    • Đề giữa HK2 Toán 10
    • Đề HK2 Toán 10
    • Đề khảo sát Toán 10
    • Đề HSG Toán 10
    • Giáo án Toán 10
    • TIPS Giải Toán 10
  • Toán 11
    • Tài liệu Toán 11
    • Đề Cương Toán 11
    • Đề giữa HK1 Toán 11
    • Đề HK1 Toán 11
    • Đề giữa HK2 Toán 11
    • Đề HK2 Toán 11
    • Đề khảo sát Toán 11
    • Đề HSG Toán 11
    • Giáo án Toán 11
    • TIPS Giải Toán 11
  • Toán 12
    • Tài liệu Toán 12
    • Đề Cương Toán 12
    • Đề giữa HK1 Toán 12
    • Đề HK1 Toán 12
    • Đề giữa HK2 Toán 12
    • Đề HK2 Toán 12
    • Đề khảo sát Toán 12
    • Đề HSG Toán 12
    • Giáo án Toán 12
    • TIPS Giải Toán 12
  • Đề thi THPT
    • Đề thi thử THPT
    • Đề THPT chính thức
    • Đề đánh giá năng lực
    • Tài liệu ôn thi THPT
  • SGK-SBT
    • Sách giáo khoa THPT
    • Sách giáo khoa THCS
  • Toán THCS

Khảo Sát Chất Lượng Toán 10

Tổng hợp ĐỀ THI KHẢO SÁT CHẤT LƯỢNG TOÁN 10 của các trường Trung học Phổ thông, các Sở Giáo dục và Đào tạo trên toàn quốc, có đáp án và lời giải chi tiết (định dạng PDF + WORD), hỗ trợ học sinh lớp 10 trong quá trình ôn tập chuẩn bị cho các kỳ thi: kiểm tra chất lượng đầu năm Toán 10; kiểm tra chất lượng cuối năm Toán 10; kiểm tra chất lượng định kỳ Toán 10.

Quý thầy, cô giáo và bạn đọc có thể chia sẻ thêm ĐỀ THI KHẢO SÁT CHẤT LƯỢNG TOÁN 10 bằng cách gửi về địa chỉ email: toanmath.com@gmail.com, nhằm tạo nguồn đề thi phong phú, đa dạng để các em học sinh lớp 10 tham khảo và rèn luyện.

Khảo Sát Chất Lượng Toán 10

Đề thi THPT Quốc gia môn Toán 10 năm 2018 – 2019 trường Yên Dũng 3 – Bắc Giang lần 1

05/11/2018

Khảo Sát Chất Lượng Toán 10

Đề khảo sát chất lượng Toán 10 năm 2018 – 2019 trường Nguyễn Viết Xuân – Vĩnh Phúc lần 1

29/10/2018

Khảo Sát Chất Lượng Toán 10

Đề kiểm tra khảo sát Toán 10 năm 2018 – 2019 trường THPT Đoàn Kết – HBT – Hà Nội

13/10/2018

Khảo Sát Chất Lượng Toán 10

Đề thi định kỳ Toán 10 năm học 2018 – 2019 trường THPT chuyên Bắc Ninh lần 1

18/09/2018

Khảo Sát Chất Lượng Toán 10

Đề kiểm tra kiến thức Toán 10 cuối năm 2017 – 2018 trường Yên Dũng 2 – Bắc Giang

30/05/2018

Khảo Sát Chất Lượng Toán 10

Đề kiểm tra chất lượng học bồi dưỡng Toán 10 trường THPT Lương Tài – Bắc Ninh

05/05/2018

Khảo Sát Chất Lượng Toán 10

Kiểm tra tổng hợp Toán 10 năm 2017 – 2018 trường chuyên Hùng Vương – Bình Dương

24/04/2018

Khảo Sát Chất Lượng Toán 10

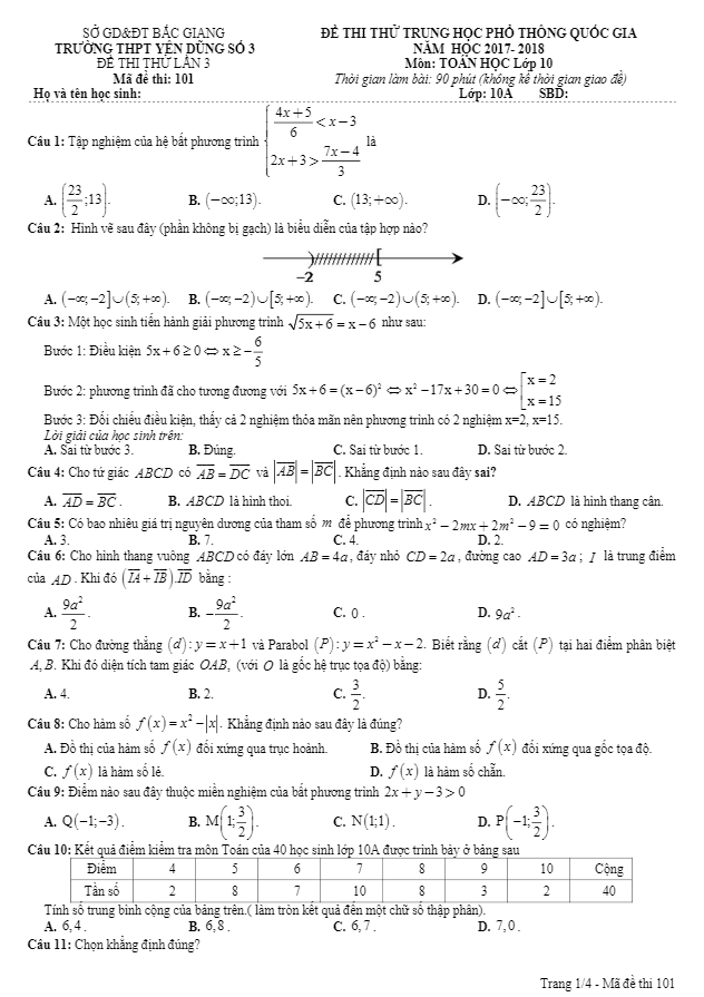
Đề thi thử THPTQG năm 2017 – 2018 Toán 10 trường Yên Dũng 3 – Bắc Giang lần 3

01/04/2018

Khảo Sát Chất Lượng Toán 10

Đề KSCL Toán 10 năm 2017 – 2018 trường Nguyễn Viết Xuân – Vĩnh Phúc lần 3

17/03/2018

Khảo Sát Chất Lượng Toán 10

Đề thi khảo sát chất lượng Toán 10 trường THPT Đồng Đậu – Vĩnh Phúc lần 3

17/03/2018

Khảo Sát Chất Lượng Toán 10

Đề KSCL Toán 10 năm học 2017 – 2018 trường THPT Gia Bình số 1 – Bắc Ninh

12/03/2018

Khảo Sát Chất Lượng Toán 10

Đề thi môn Toán khối 10 lần 2 năm 2017 – 2018 trường Thạch Thành 1 – Thanh Hóa

23/02/2018

Khảo Sát Chất Lượng Toán 10

Đề thi KSCL Toán 10 lần 2 năm học 2017 – 2018 trường THPT Yên Lạc – Vĩnh Phúc

21/02/2018

Khảo Sát Chất Lượng Toán 10

Đề thi KSCL Toán 10 năm học 2017 – 2018 trường THPT Tĩnh Gia 2 – Thanh Hóa

27/01/2018

Khảo Sát Chất Lượng Toán 10

Đề thi thử THPT Quốc gia lần 1 môn Toán 10 trường THPT Yên Phong 1 – Bắc Ninh

27/01/2018

Khảo Sát Chất Lượng Toán 10

Đề thi KSCL Toán 10 lần 2 năm học 2017 – 2018 trường THPT Liễn Sơn – Vĩnh Phúc

08/01/2018

Khảo Sát Chất Lượng Toán 10

Đề KSCL Toán 10 lần 1 năm học 2017 – 2018 trường THPT Đoàn Thượng – Hải Dương

02/01/2018

Khảo Sát Chất Lượng Toán 10

Khảo sát kiến thức thi THPT Quốc gia lần 1 năm 2017 – 2018 Toán 10 trường Triệu Sơn 3 – Thanh Hóa

10/12/2017

Khảo Sát Chất Lượng Toán 10

Đề kiểm tra chất lượng cao Toán 10 năm học 2017 – 2018 trường THPT Lê Quý Đôn – Long An

23/11/2017

Khảo Sát Chất Lượng Toán 10

Đề thi KSCL Toán 10 lần 1 năm học 2017 – 2018 trường THPT Liễn Sơn – Vĩnh Phúc

10/11/2017

Phân trang bài viết

« 1 … 10 11 12 »

TÌM KIẾM THEO TỪ KHÓA

TÀI LIỆU MỚI NHẤT

  • Tài liệu ôn tập cuối kỳ 2 Toán 10 năm 2025 – 2026 trường THPT Trần Phú – Đà Nẵng
    20/04/2026
  • Tài liệu ôn tập cuối kỳ 2 Toán 11 năm 2025 – 2026 trường THPT Trần Phú – Đà Nẵng
    20/04/2026
  • Tài liệu ôn tập cuối kỳ 2 Toán 12 năm 2025 – 2026 trường THPT Trần Phú – Đà Nẵng
    20/04/2026
  • Đề thi thử TN THPT 2026 môn Toán trường chuyên Lương Văn Chánh – Đắk Lắk
    20/04/2026
  • Đề cương cuối kì 2 Toán 10 năm 2025 – 2026 trường THPT Hướng Hóa – Quảng Trị
    19/04/2026
  • Đề cương cuối kì 2 Toán 11 năm 2025 – 2026 trường THPT Hướng Hóa – Quảng Trị
    19/04/2026

THEO DÕI TRÊN FACEBOOK

  • Facebook
  • Giới Thiệu
  • Chính Sách Bảo Mật
  • Liên Hệ

Copyright © 2026 | TOANMATH.com