TOANMATH.com

Tài liệu và đề thi Toán THPT miễn phí

  • Toán 10
    • Tài liệu Toán 10
    • Đề Cương Toán 10
    • Đề giữa HK1 Toán 10
    • Đề HK1 Toán 10
    • Đề giữa HK2 Toán 10
    • Đề HK2 Toán 10
    • Đề khảo sát Toán 10
    • Đề HSG Toán 10
    • Giáo án Toán 10
    • TIPS Giải Toán 10
  • Toán 11
    • Tài liệu Toán 11
    • Đề Cương Toán 11
    • Đề giữa HK1 Toán 11
    • Đề HK1 Toán 11
    • Đề giữa HK2 Toán 11
    • Đề HK2 Toán 11
    • Đề khảo sát Toán 11
    • Đề HSG Toán 11
    • Giáo án Toán 11
    • TIPS Giải Toán 11
  • Toán 12
    • Tài liệu Toán 12
    • Đề Cương Toán 12
    • Đề giữa HK1 Toán 12
    • Đề HK1 Toán 12
    • Đề giữa HK2 Toán 12
    • Đề HK2 Toán 12
    • Đề khảo sát Toán 12
    • Đề HSG Toán 12
    • Giáo án Toán 12
    • TIPS Giải Toán 12
  • Đề thi THPT
    • Đề thi thử THPT
    • Đề THPT chính thức
    • Đề đánh giá năng lực
    • Tài liệu ôn thi THPT
  • SGK-SBT
    • Sách giáo khoa THPT
    • Sách giáo khoa THCS
  • Toán THCS

Tháng: Tháng 10 2022

Đề Thi Giữa HK1 Toán 10

Đề thi giữa HKI Toán 10 năm 2022 – 2023 trường THPT Lương Văn Can – TP HCM

31/10/2022

Đề Thi Giữa HK1 Toán 11

Đề thi giữa HKI Toán 11 năm 2022 – 2023 trường THPT Lương Văn Can – TP HCM

31/10/2022

Đề Thi Giữa HK1 Toán 12

Đề thi giữa HKI Toán 12 năm 2022 – 2023 trường THPT Lương Văn Can – TP HCM

31/10/2022

Đề Thi Giữa HK1 Toán 10

Đề giữa học kì 1 Toán 10 năm 2022 – 2023 trường THPT Hồ Nghinh – Quảng Nam

31/10/2022

Đề Thi Giữa HK1 Toán 11

Đề giữa học kì 1 Toán 11 năm 2022 – 2023 trường THPT Hồ Nghinh – Quảng Nam

31/10/2022

Đề Thi Giữa HK1 Toán 12

Đề giữa học kì 1 Toán 12 năm 2022 – 2023 trường THPT Hồ Nghinh – Quảng Nam

31/10/2022

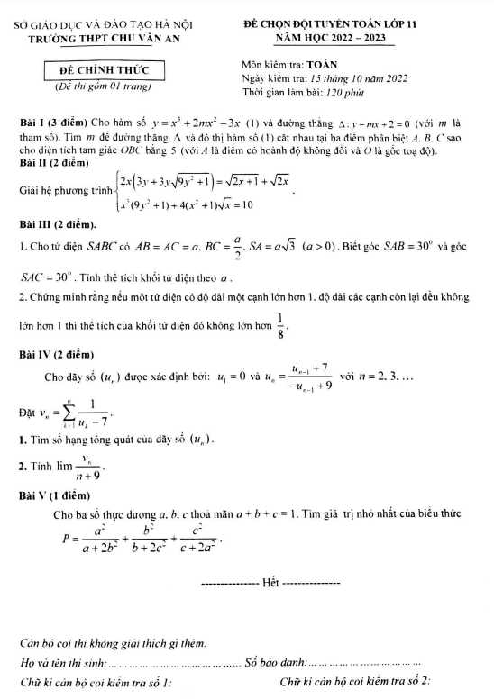
Đề Thi HSG Toán 11

Đề chọn đội tuyển Toán 11 năm 2022 – 2023 trường THPT Chu Văn An – Hà Nội

30/10/2022

Đề Thi HSG Toán 12

Đề thi học sinh giỏi tỉnh Toán 12 (chuyên) năm 2022 – 2023 sở GD&ĐT Thừa Thiên Huế

30/10/2022

Đề Thi Giữa HK1 Toán 12

Đề minh họa Toán 12 giữa kì 1 năm 2022 – 2023 trường THPT Bảo Thắng 2 – Lào Cai

30/10/2022

Đề Thi Giữa HK1 Toán 11

Đề minh họa Toán 11 giữa kì 1 năm 2022 – 2023 trường THPT Bảo Thắng 2 – Lào Cai

30/10/2022

Đề Thi Giữa HK1 Toán 10

Bộ đề ôn tập giữa kì 1 Toán 10 năm 2022 – 2023 THPT Thuận Thành 1 – Bắc Ninh

29/10/2022

Đề Thi HSG Toán 12

Đề thi học sinh giỏi tỉnh Toán 12 năm 2022 – 2023 sở GD&ĐT Thừa Thiên Huế

29/10/2022

Đề Thi Giữa HK1 Toán 10

Đề giữa học kỳ 1 Toán 10 năm 2022 – 2023 trường THPT Hà Huy Tập – Hà Tĩnh

28/10/2022

Đề Thi Giữa HK1 Toán 11

Đề giữa học kỳ 1 Toán 11 năm 2022 – 2023 trường THPT Hà Huy Tập – Hà Tĩnh

28/10/2022

Đề Thi Giữa HK1 Toán 11

Đề giữa HK1 Toán 11 năm 2022 – 2023 trường THPT Đông Thụy Anh – Thái Bình

27/10/2022

Đề Thi Giữa HK1 Toán 11

Đề giữa học kì 1 Toán 11 năm 2022 – 2023 trường THPT Thái Phúc – Thái Bình

27/10/2022

Khảo Sát Chất Lượng Toán 10

Đề khảo sát môn Toán 10 năm 2022 – 2023 trường THPT Triệu Quang Phục – Hưng Yên

27/10/2022

Khảo Sát Chất Lượng Toán 11

Đề khảo sát môn Toán 11 năm 2022 – 2023 trường THPT Triệu Quang Phục – Hưng Yên

27/10/2022

Đề Thi Thử THPT Môn Toán

Đề khảo sát môn Toán 12 năm 2022 – 2023 trường THPT Triệu Quang Phục – Hưng Yên

27/10/2022

Đề Thi Giữa HK1 Toán 10

03 đề thi thử giữa học kì 1 Toán 10 Kết Nối Tri Thức Với Cuộc Sống

27/10/2022

Phân trang bài viết

1 2 … 5 »

TÌM KIẾM THEO TỪ KHÓA

TÀI LIỆU MỚI NHẤT

  • Đề cuối kỳ 2 Toán 12 năm 2025 – 2026 trường THPT Lê Hồng Phong – Thái Nguyên
    09/05/2026
  • Đề học kì 2 Toán 10 năm 2025 – 2026 trường THPT Nguyễn Thị Minh Khai – Hà Nội
    09/05/2026
  • Đề cuối học kì 2 Toán 10 năm 2025 – 2026 trường THPT Xuyên Mộc – TP HCM
    09/05/2026
  • Đề cuối học kì 2 Toán 11 năm 2025 – 2026 trường THPT Xuyên Mộc – TP HCM
    09/05/2026
  • Đề cuối học kì 2 Toán 12 năm 2025 – 2026 trường THPT Xuyên Mộc – TP HCM
    09/05/2026
  • Đề thi thử tốt nghiệp THPT năm 2026 môn Toán sở GD&ĐT Đồng Tháp
    08/05/2026

THEO DÕI TRÊN FACEBOOK

  • Facebook
  • Giới Thiệu
  • Chính Sách Bảo Mật
  • Liên Hệ

Copyright © 2026 | TOANMATH.com