TOANMATH.com

Tài liệu và đề thi Toán THPT miễn phí

  • Toán 10
    • Tài liệu Toán 10
    • Đề Cương Toán 10
    • Đề giữa HK1 Toán 10
    • Đề HK1 Toán 10
    • Đề giữa HK2 Toán 10
    • Đề HK2 Toán 10
    • Đề khảo sát Toán 10
    • Đề HSG Toán 10
    • Giáo án Toán 10
    • TIPS Giải Toán 10
  • Toán 11
    • Tài liệu Toán 11
    • Đề Cương Toán 11
    • Đề giữa HK1 Toán 11
    • Đề HK1 Toán 11
    • Đề giữa HK2 Toán 11
    • Đề HK2 Toán 11
    • Đề khảo sát Toán 11
    • Đề HSG Toán 11
    • Giáo án Toán 11
    • TIPS Giải Toán 11
  • Toán 12
    • Tài liệu Toán 12
    • Đề Cương Toán 12
    • Đề giữa HK1 Toán 12
    • Đề HK1 Toán 12
    • Đề giữa HK2 Toán 12
    • Đề HK2 Toán 12
    • Đề khảo sát Toán 12
    • Đề HSG Toán 12
    • Giáo án Toán 12
    • TIPS Giải Toán 12
  • Đề thi THPT
    • Đề thi thử THPT
    • Đề THPT chính thức
    • Đề đánh giá năng lực
    • Tài liệu ôn thi THPT
  • SGK-SBT
    • Sách giáo khoa THPT
    • Sách giáo khoa THCS
  • Toán THCS

Đề Thi HK2 Toán 12

Tổng hợp ĐỀ THI HK2 TOÁN 12 có đáp án và lời giải chi tiết của các trường Trung học Phổ thông, Sở Giáo dục và Đào tạo trên toàn quốc (File PDF). Các ĐỀ THI HK2 TOÁN 12 mới nhất sẽ được cập nhật liên tục và nhanh nhất có thể sau khi kỳ thi diễn ra, đáp án và lời giải chi tiết cũng sẽ được TOANMATH.com cập nhật sau đó nhằm giúp bạn đọc thuận tiện trong việc tra cứu và đối chiếu đáp án.

File WORD các ĐỀ THI CUỐI HỌC KÌ 2 TOÁN 12 (nếu có) được đính kèm trong nội dung bài viết, nhằm giúp quý thầy, cô giáo có thể tải xuống miễn phí, phục vụ cho quá trình biên soạn và giảng dạy. Quý thầy, cô giáo và bạn đọc có thể chia sẻ thêm ĐỀ THI CUỐI HỌC KÌ 2 TOÁN 12 bằng cách gửi về địa chỉ email: toanmath.com@gmail.com, nhằm tạo nguồn đề thi phong phú, đa dạng để các em học sinh lớp 12 tham khảo và rèn luyện.

Đề Thi HK2 Toán 12

Đề thi HK2 Toán 12 năm học 2016 – 2017 trường THPT chuyên Nguyễn Huệ – Hà Nội

24/04/2017

Đề Thi HK2 Toán 12

Đề thi HK2 Toán 12 năm học 2016 – 2017 trung tâm GDNN – GDTX Hạ Hòa

24/04/2017

Đề Thi HK2 Toán 12

Bộ đề ôn tập thi HK2 Toán 12 năm học 2016 – 2017 trường THPT Nho Quan A – Ninh Bình

23/04/2017

Đề Thi HK2 Toán 12

Đề thi HK2 Toán 12 năm học 2016 – 2017 trường THPT Nam Sài Gòn – TP. HCM

23/04/2017

Đề Thi HK2 Toán 12

Đề thi HK2 Toán 12 năm học 2016 – 2017 trường THPT chuyên Lý Tự Trọng – Cần Thơ

22/04/2017

Đề Thi HK2 Toán 12

Đề thi HK2 Toán 12 năm học 2016 – 2017 trường THPT Nguyễn Du – TP. HCM

21/04/2017

Đề Thi HK2 Toán 12

Đề thi HK2 Toán 12 năm học 2016 – 2017 trường THPT Tam Quan – Bình Định

21/04/2017

Đề Thi HK2 Toán 12

Đề thi HK2 Toán 12 năm học 2016 – 2017 trường THPT Nguyễn Gia Thiều – Hà Nội

21/04/2017

Đề Thi HK2 Toán 12

Đề thi HK2 Toán 12 năm học 2016 – 2017 trường THPT Yên Dũng 3 – Bắc Giang

20/04/2017

Đề Thi HK2 Toán 12

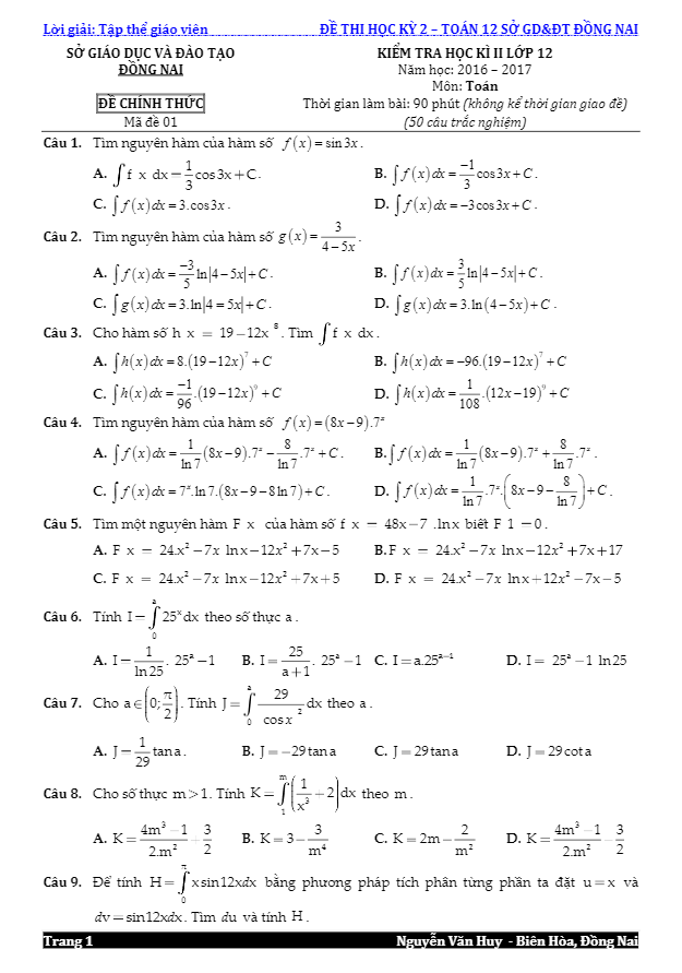
Đề thi HK2 Toán 12 năm học 2016 – 2017 sở GD và ĐT Đồng Nai

20/04/2017

Đề Thi HK2 Toán 12

Đề thi HK2 Toán 12 năm học 2016 – 2017 trường THPT Liên Hà – Hà Nội

20/04/2017

Đề Thi HK2 Toán 12

Đề thi HK2 Toán 12 năm học 2016 – 2017 trường THPT Nguyễn Trung Trực – Bình Định

20/04/2017

Đề Thi HK2 Toán 12

Đề thi HK2 Toán 12 năm học 2016 – 2017 trường THPT Vinh Lộc – TT. Huế

20/04/2017

Đề Thi HK2 Toán 12

Đề thi HK2 Toán 12 năm học 2016 – 2017 trường THPT chuyên Trần Phú – Hải Phòng

20/04/2017

Đề Thi HK2 Toán 12

Đề thi HK2 Toán 12 năm học 2016 – 2017 trường THPT chuyên Nguyễn Thị Minh Khai – Sóc Trăng

20/04/2017

Đề Thi HK2 Toán 12

Đề thi HK2 Toán 12 năm học 2016 – 2017 trường THPT chuyên Hạ Long – Quảng Ninh

18/04/2017

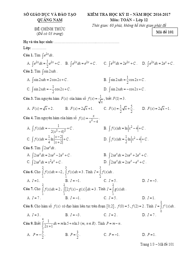
Đề Thi HK2 Toán 12

Đề thi HK2 Toán 12 năm học 2016 – 2017 sở GD và ĐT Đồng Tháp

18/04/2017

Đề Thi HK2 Toán 12

Đề thi HK2 Toán 12 năm học 2016 – 2017 trường THPT Vĩnh Viễn – TP.HCM

15/04/2017

Đề Thi HK2 Toán 12

Đề thi HK2 Toán 12 năm học 2016 – 2017 trường THPT Việt Đức – Hà Nội

15/04/2017

Đề Thi HK2 Toán 12

Đề thi HK2 Toán 12 năm học 2016 – 2017 trường THPT Trung Văn – Hà Nội

14/04/2017

Phân trang bài viết

« 1 … 21 22 23 »

TÌM KIẾM THEO TỪ KHÓA

TÀI LIỆU MỚI NHẤT

  • Đề giữa học kỳ 1 Toán 12 năm 2025 – 2026 trường Tạ Quang Bửu – Hà Nội
    18/10/2025
  • Đề giữa học kỳ 1 Toán 11 năm 2025 – 2026 trường THPT Việt Đức – Hà Nội
    18/10/2025
  • Đề giữa kì 1 Toán 12 năm 2025 – 2026 trường Nguyễn Bỉnh Khiêm – Hà Nội
    15/10/2025
  • Đề giữa học kỳ 1 Toán 10 năm 2025 – 2026 trường THPT Việt Đức – Hà Nội
    15/10/2025
  • Đề giữa học kỳ 1 Toán 12 năm 2025 – 2026 trường THPT Việt Đức – Hà Nội
    15/10/2025
  • Đề giữa kì 1 Toán 10 năm 2025 – 2026 trường THPT Đoàn Thị Điểm – Hà Nội
    15/10/2025
  • Facebook
  • Giới Thiệu
  • Chính Sách Bảo Mật
  • Liên Hệ

Copyright © 2025 | TOANMATH.com