TOANMATH.com

Tài liệu và đề thi Toán THPT miễn phí

  • Toán 10
    • Tài liệu Toán 10
    • Đề Cương Toán 10
    • Đề giữa HK1 Toán 10
    • Đề HK1 Toán 10
    • Đề giữa HK2 Toán 10
    • Đề HK2 Toán 10
    • Đề khảo sát Toán 10
    • Đề HSG Toán 10
    • Giáo án Toán 10
    • TIPS Giải Toán 10
  • Toán 11
    • Tài liệu Toán 11
    • Đề Cương Toán 11
    • Đề giữa HK1 Toán 11
    • Đề HK1 Toán 11
    • Đề giữa HK2 Toán 11
    • Đề HK2 Toán 11
    • Đề khảo sát Toán 11
    • Đề HSG Toán 11
    • Giáo án Toán 11
    • TIPS Giải Toán 11
  • Toán 12
    • Tài liệu Toán 12
    • Đề Cương Toán 12
    • Đề giữa HK1 Toán 12
    • Đề HK1 Toán 12
    • Đề giữa HK2 Toán 12
    • Đề HK2 Toán 12
    • Đề khảo sát Toán 12
    • Đề HSG Toán 12
    • Giáo án Toán 12
    • TIPS Giải Toán 12
  • Đề thi THPT
    • Đề thi thử THPT
    • Đề THPT chính thức
    • Đề đánh giá năng lực
    • Tài liệu ôn thi THPT
  • SGK-SBT
    • Sách giáo khoa THPT
    • Sách giáo khoa THCS
  • Toán THCS

Đề Thi HSG Toán 12

Tổng hợp ĐỀ THI HSG TOÁN 12 của các trường Trung học Phổ thông, các Sở Giáo dục và Đào tạo trên toàn quốc, có đáp án và lời giải chi tiết (định dạng PDF + WORD), hỗ trợ học sinh lớp 12 trong quá trình ôn tập chuẩn bị cho kỳ thi chọn học sinh giỏi Toán 12 các cấp: cấp trường / cấp huyện / cấp tỉnh / cấp Quốc gia.

Quý thầy, cô giáo và bạn đọc có thể chia sẻ thêm ĐỀ THI HSG TOÁN 12 bằng cách gửi về địa chỉ email: toanmath.com@gmail.com, nhằm tạo nguồn đề thi phong phú, đa dạng để các em học sinh lớp 12 tham khảo và rèn luyện.

Đề Thi HSG Toán 12

Đề thi học sinh giỏi Toán 12 năm 2022 – 2023 sở GD&ĐT TP Hồ Chí Minh

08/03/2023

Đề Thi HSG Toán 12

Đề học sinh giỏi cấp tỉnh Toán THPT năm 2022 – 2023 sở GD&ĐT Lào Cai

26/02/2023

Đề Thi HSG Toán 12

Đề học sinh giỏi Toán 12 cấp tỉnh năm 2022 – 2023 sở GD&ĐT Đồng Tháp

26/02/2023

Đề Thi HSG Toán 12

Đề học sinh giỏi cấp tỉnh Toán THPT năm 2022 – 2023 sở GD&ĐT Sóc Trăng

26/02/2023

Đề Thi HSG Toán 12

Đề thi chọn học sinh giỏi Quốc gia môn Toán THPT năm học 2022 – 2023

24/02/2023

Đề Thi HSG Toán 12

Đề thi học sinh giỏi Toán 12 năm 2022 – 2023 sở GD&ĐT Đà Nẵng

21/02/2023

Đề Thi HSG Toán 12

Đề thi chọn HSG cấp tỉnh Toán 12 năm 2022 – 2023 sở GD&ĐT Quảng Ngãi

09/02/2023

Đề Thi HSG Toán 12

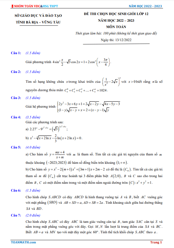
Đề học sinh giỏi tỉnh Toán 12 năm 2022 – 2023 sở GD&ĐT Bà Rịa – Vũng Tàu

09/02/2023

Đề Thi HSG Toán 12

Đề học sinh giỏi Toán THPT cấp tỉnh năm 2022 – 2023 sở GD&ĐT Thanh Hóa

09/02/2023

Đề Thi HSG Toán 12

Đề chọn học sinh giỏi Toán THPT vòng tỉnh năm 2022 – 2023 sở GD&ĐT Vĩnh Long

03/02/2023

Đề Thi HSG Toán 12

Đề chọn HSG trường Toán 12 năm 2022 – 2023 trường chuyên Phan Bội Châu – Nghệ An

03/02/2023

Đề Thi HSG Toán 12

Đề thi học sinh giỏi cấp tỉnh Toán 12 năm 2022 – 2023 sở GD&ĐT Phú Thọ

31/01/2023

Đề Thi HSG Toán 12

Đề giao lưu học sinh giỏi Toán 12 năm 2022 – 2023 cụm trường THPT – Bắc Ninh

11/01/2023

Đề Thi HSG Toán 12

Đề học sinh giỏi cấp tỉnh Toán 12 năm 2022 – 2023 sở GD&ĐT Lâm Đồng

07/01/2023

Đề Thi HSG Toán 12

Đề chọn đội tuyển thi HSG QG môn Toán năm 2022 – 2023 sở GD&ĐT Quảng Bình

18/12/2022

Đề Thi HSG Toán 12

Đề học sinh giỏi Toán 12 cấp tỉnh năm 2022 – 2023 sở GD&ĐT Thái Bình

15/12/2022

Đề Thi HSG Toán 12

Đề thi học sinh giỏi tỉnh Toán 12 năm 2022 – 2023 sở GD&ĐT Hà Tĩnh

14/12/2022

Đề Thi HSG Toán 12

Đề học sinh giỏi thành phố Toán THPT năm 2022 – 2023 sở GD&ĐT Hải Phòng

12/12/2022

Đề Thi HSG Toán 12

Đề học sinh giỏi cấp tỉnh Toán THPT năm 2022 – 2023 sở GD&ĐT Khánh Hòa

09/12/2022

Đề Thi HSG Toán 12

Đề học sinh giỏi cấp tỉnh Toán THPT năm 2022 – 2023 sở GD&ĐT Quảng Ninh

02/12/2022

Phân trang bài viết

« 1 … 12 13 14 … 29 »

TÌM KIẾM THEO TỪ KHÓA

TÀI LIỆU MỚI NHẤT

  • Đề thi thử tốt nghiệp THPT năm 2026 môn Toán sở GD&ĐT Quảng Trị
    21/04/2026
  • Tài liệu ôn tập cuối kỳ 2 Toán 10 năm 2025 – 2026 trường THPT Trần Phú – Đà Nẵng
    20/04/2026
  • Tài liệu ôn tập cuối kỳ 2 Toán 11 năm 2025 – 2026 trường THPT Trần Phú – Đà Nẵng
    20/04/2026
  • Tài liệu ôn tập cuối kỳ 2 Toán 12 năm 2025 – 2026 trường THPT Trần Phú – Đà Nẵng
    20/04/2026
  • Đề thi thử TN THPT 2026 môn Toán trường chuyên Lương Văn Chánh – Đắk Lắk
    20/04/2026
  • Đề cương cuối kì 2 Toán 10 năm 2025 – 2026 trường THPT Hướng Hóa – Quảng Trị
    19/04/2026

THEO DÕI TRÊN FACEBOOK

  • Facebook
  • Giới Thiệu
  • Chính Sách Bảo Mật
  • Liên Hệ

Copyright © 2026 | TOANMATH.com