TOANMATH.com

Tài liệu và đề thi Toán THPT miễn phí

  • Toán 10
    • Tài liệu Toán 10
    • Đề Cương Toán 10
    • Đề giữa HK1 Toán 10
    • Đề HK1 Toán 10
    • Đề giữa HK2 Toán 10
    • Đề HK2 Toán 10
    • Đề khảo sát Toán 10
    • Đề HSG Toán 10
    • Giáo án Toán 10
    • TIPS Giải Toán 10
  • Toán 11
    • Tài liệu Toán 11
    • Đề Cương Toán 11
    • Đề giữa HK1 Toán 11
    • Đề HK1 Toán 11
    • Đề giữa HK2 Toán 11
    • Đề HK2 Toán 11
    • Đề khảo sát Toán 11
    • Đề HSG Toán 11
    • Giáo án Toán 11
    • TIPS Giải Toán 11
  • Toán 12
    • Tài liệu Toán 12
    • Đề Cương Toán 12
    • Đề giữa HK1 Toán 12
    • Đề HK1 Toán 12
    • Đề giữa HK2 Toán 12
    • Đề HK2 Toán 12
    • Đề khảo sát Toán 12
    • Đề HSG Toán 12
    • Giáo án Toán 12
    • TIPS Giải Toán 12
  • Đề thi THPT
    • Đề thi thử THPT
    • Đề THPT chính thức
    • Đề đánh giá năng lực
    • Tài liệu ôn thi THPT
  • SGK-SBT
    • Sách giáo khoa THPT
    • Sách giáo khoa THCS
  • Toán THCS

Đề Thi Giữa HK1 Toán 11

Tổng hợp ĐỀ THI GIỮA HK1 TOÁN 11 có đáp án và lời giải chi tiết của các trường Trung học Phổ thông, Sở Giáo dục và Đào tạo trên toàn quốc (File PDF). Các ĐỀ THI GIỮA HK1 TOÁN 11 mới nhất sẽ được cập nhật liên tục và nhanh nhất có thể sau khi kỳ thi diễn ra, đáp án và lời giải chi tiết cũng sẽ được TOANMATH.com cập nhật sau đó nhằm giúp bạn đọc thuận tiện trong việc tra cứu và đối chiếu đáp án.

File WORD các ĐỀ THI GIỮA HỌC KÌ 1 TOÁN 11 (nếu có) được đính kèm trong nội dung bài viết, nhằm giúp quý thầy, cô giáo có thể tải xuống miễn phí, phục vụ cho quá trình biên soạn và giảng dạy. Quý thầy, cô giáo và bạn đọc có thể chia sẻ thêm ĐỀ THI GIỮA HỌC KÌ 1 TOÁN 11 bằng cách gửi về địa chỉ email: toanmath.com@gmail.com, nhằm tạo nguồn đề thi phong phú, đa dạng để các em học sinh lớp 11 tham khảo và rèn luyện.

Đề Thi Giữa HK1 Toán 11

Đề tham khảo giữa kỳ 1 Toán 11 CTST năm 2023 – 2024 trường THPT Bảo Thắng 2 – Lào Cai

23/08/2023

Đề Thi Giữa HK1 Toán 11

Đề tham khảo giữa kì 1 Toán 11 CTST năm 2023 – 2024 trường THPT Bảo Thắng 1 – Lào Cai

23/08/2023

Đề Thi Giữa HK1 Toán 11

Đề tham khảo giữa kỳ 1 Toán 11 CD năm 2023 – 2024 trường THPT chuyên Lào Cai

23/08/2023

Đề Thi Giữa HK1 Toán 11

Đề tham khảo giữa kỳ 1 Toán 11 CD năm 2023 – 2024 trường THPT Bắc Hà 1 – Lào Cai

22/08/2023

Đề Thi Giữa HK1 Toán 11

Đề giữa học kỳ 1 Toán 11 năm 2022 – 2023 trường THPT Núi Thành – Quảng Nam

19/11/2022

Đề Thi Giữa HK1 Toán 11

Đề giữa kỳ 1 Toán 11 năm 2022 – 2023 trường THPT Ngô Gia Tự – Phú Yên

16/11/2022

Đề Thi Giữa HK1 Toán 11

Đề giữa kỳ 1 Toán 11 năm 2022 – 2023 trường THPT Thị xã Quảng Trị

15/11/2022

Đề Thi Giữa HK1 Toán 11

Đề kiểm tra GK1 Toán 11 năm 2022 – 2023 trường THPT Võ Nguyên Giáp – Quảng Nam

12/11/2022

Đề Thi Giữa HK1 Toán 11

Đề giữa học kỳ 1 Toán 11 năm 2022 – 2023 trường THPT Nguyễn Huệ – Quảng Nam

12/11/2022

Đề Thi Giữa HK1 Toán 11

Đề giữa học kỳ 1 Toán 11 năm 2022 – 2023 trường THPT Lương Thế Vinh – Quảng Nam

12/11/2022

Đề Thi Giữa HK1 Toán 11

Đề giữa học kì 1 Toán 11 năm 2022 – 2023 trường THPT Huỳnh Thúc Kháng – Quảng Nam

12/11/2022

Đề Thi Giữa HK1 Toán 11

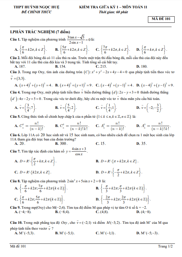
Đề giữa học kỳ 1 Toán 11 năm 2022 – 2023 trường THPT Huỳnh Ngọc Huệ – Quảng Nam

12/11/2022

Đề Thi Giữa HK1 Toán 11

Đề giữa học kỳ 1 Toán 11 năm 2022 – 2023 trường THPT Quế Sơn – Quảng Nam

12/11/2022

Đề Thi Giữa HK1 Toán 11

Đề giữa học kỳ 1 Toán 11 năm 2022 – 2023 trường THPT Nguyễn Dục – Quảng Nam

12/11/2022

Đề Thi Giữa HK1 Toán 11

Đề giữa học kì 1 Toán 11 năm 2022 – 2023 trường THPT Tây Giang – Quảng Nam

12/11/2022

Đề Thi Giữa HK1 Toán 11

Đề giữa kỳ 1 Toán 11 năm 2022 – 2023 trường THPT Phù Cừ – Hưng Yên

11/11/2022

Đề Thi Giữa HK1 Toán 11

Đề giữa kỳ 1 Toán 11 năm 2022 – 2023 trường THPT Hương Khê – Hà Tĩnh

10/11/2022

Đề Thi Giữa HK1 Toán 11

Đề giữa kì 1 Toán 11 năm 2022 – 2023 trường chuyên Vị Thanh – Hậu Giang

10/11/2022

Đề Thi Giữa HK1 Toán 11

Đề giữa kỳ 1 Toán 11 năm 2022 – 2023 trường THPT Phan Ngọc Hiển – Cà Mau

07/11/2022

Đề Thi Giữa HK1 Toán 11

Đề giữa kỳ 1 Toán 11 năm 2022 – 2023 THPT Lương Ngọc Quyến – Thái Nguyên

07/11/2022

Phân trang bài viết

« 1 … 11 12 13 … 18 »

TÌM KIẾM THEO TỪ KHÓA

TÀI LIỆU MỚI NHẤT

  • Đề cuối kỳ 2 Toán 12 năm 2025 – 2026 trường THPT Lê Hồng Phong – Thái Nguyên
    09/05/2026
  • Đề học kì 2 Toán 10 năm 2025 – 2026 trường THPT Nguyễn Thị Minh Khai – Hà Nội
    09/05/2026
  • Đề cuối học kì 2 Toán 10 năm 2025 – 2026 trường THPT Xuyên Mộc – TP HCM
    09/05/2026
  • Đề cuối học kì 2 Toán 11 năm 2025 – 2026 trường THPT Xuyên Mộc – TP HCM
    09/05/2026
  • Đề cuối học kì 2 Toán 12 năm 2025 – 2026 trường THPT Xuyên Mộc – TP HCM
    09/05/2026
  • Đề thi thử tốt nghiệp THPT năm 2026 môn Toán sở GD&ĐT Đồng Tháp
    08/05/2026

THEO DÕI TRÊN FACEBOOK

  • Facebook
  • Giới Thiệu
  • Chính Sách Bảo Mật
  • Liên Hệ

Copyright © 2026 | TOANMATH.com