TOANMATH.com

Tài liệu và đề thi Toán THPT miễn phí

  • Toán 10
    • Tài liệu Toán 10
    • Đề Cương Toán 10
    • Đề giữa HK1 Toán 10
    • Đề HK1 Toán 10
    • Đề giữa HK2 Toán 10
    • Đề HK2 Toán 10
    • Đề khảo sát Toán 10
    • Đề HSG Toán 10
    • Giáo án Toán 10
    • TIPS Giải Toán 10
  • Toán 11
    • Tài liệu Toán 11
    • Đề Cương Toán 11
    • Đề giữa HK1 Toán 11
    • Đề HK1 Toán 11
    • Đề giữa HK2 Toán 11
    • Đề HK2 Toán 11
    • Đề khảo sát Toán 11
    • Đề HSG Toán 11
    • Giáo án Toán 11
    • TIPS Giải Toán 11
  • Toán 12
    • Tài liệu Toán 12
    • Đề Cương Toán 12
    • Đề giữa HK1 Toán 12
    • Đề HK1 Toán 12
    • Đề giữa HK2 Toán 12
    • Đề HK2 Toán 12
    • Đề khảo sát Toán 12
    • Đề HSG Toán 12
    • Giáo án Toán 12
    • TIPS Giải Toán 12
  • Đề thi THPT
    • Đề thi thử THPT
    • Đề THPT chính thức
    • Đề đánh giá năng lực
    • Tài liệu ôn thi THPT
  • SGK-SBT
    • Sách giáo khoa THPT
    • Sách giáo khoa THCS
  • Toán THCS

Đề Thi HK2 Toán 12

Tổng hợp ĐỀ THI HK2 TOÁN 12 có đáp án và lời giải chi tiết của các trường Trung học Phổ thông, Sở Giáo dục và Đào tạo trên toàn quốc (File PDF). Các ĐỀ THI HK2 TOÁN 12 mới nhất sẽ được cập nhật liên tục và nhanh nhất có thể sau khi kỳ thi diễn ra, đáp án và lời giải chi tiết cũng sẽ được TOANMATH.com cập nhật sau đó nhằm giúp bạn đọc thuận tiện trong việc tra cứu và đối chiếu đáp án.

File WORD các ĐỀ THI CUỐI HỌC KÌ 2 TOÁN 12 (nếu có) được đính kèm trong nội dung bài viết, nhằm giúp quý thầy, cô giáo có thể tải xuống miễn phí, phục vụ cho quá trình biên soạn và giảng dạy. Quý thầy, cô giáo và bạn đọc có thể chia sẻ thêm ĐỀ THI CUỐI HỌC KÌ 2 TOÁN 12 bằng cách gửi về địa chỉ email: toanmath.com@gmail.com, nhằm tạo nguồn đề thi phong phú, đa dạng để các em học sinh lớp 12 tham khảo và rèn luyện.

Đề Thi HK2 Toán 12

Đề kiểm tra học kì 2 Toán 12 năm học 2018 – 2019 sở GD&ĐT Kon Tum

19/04/2019

Đề Thi HK2 Toán 12

Đề kiểm tra HK2 Toán 12 năm 2018 – 2019 trường Nguyễn Gia Thiều – Hà Nội

18/04/2019

Đề Thi HK2 Toán 12

Đề thi HK2 Toán 12 năm học 2018 – 2019 trường THPT chuyên Nguyễn Huệ – Hà Nội

18/04/2019

Đề Thi HK2 Toán 12

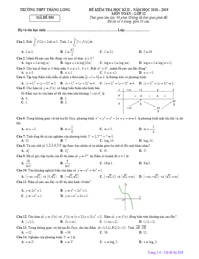
Đề thi HK2 Toán 12 năm học 2018 – 2019 trường THPT Thăng Long – Hà Nội

17/04/2019

Đề Thi HK2 Toán 12

Đề thi học kỳ 2 Toán 12 năm học 2018 – 2019 sở GD&ĐT Bến Tre

17/04/2019

Đề Thi HK2 Toán 12

Đề thi HK2 Toán 12 năm 2018 – 2019 trường THPT Lý Thánh Tông – Hà Nội

16/04/2019

Đề Thi HK2 Toán 12

Đề thi học kỳ 2 Toán 12 năm học 2018 – 2019 sở GD&ĐT Cần Thơ

10/04/2019

Đề Thi HK2 Toán 12

Đề thi HK2 Toán 12 năm học 2018 – 2019 trường THPT Yên Phong 2 – Bắc Ninh

10/04/2019

Đề Thi HK2 Toán 12

Đề thi học kỳ 2 Toán 12 năm học 2018 – 2019 sở GD&ĐT Bình Dương

10/04/2019

Đề Thi HK2 Toán 12

Đề thi học kỳ 2 Toán 12 năm học 2018 – 2019 sở GD&ĐT Nam Định

09/04/2019

Đề Thi HK2 Toán 12

Đề thi học kỳ 2 Toán 12 năm 2018 – 2019 trường Yên Phong 1 – Bắc Ninh

09/04/2019

Đề Thi HK2 Toán 12

Đề thi học kỳ 2 Toán 12 năm học 2018 – 2019 sở GD&ĐT Bình Thuận

05/04/2019

Đề Thi HK2 Toán 12

Đề thi học kỳ 2 Toán 12 năm học 2018 – 2019 sở GDKHCN Bạc Liêu

04/04/2019

Đề Thi HK2 Toán 12

Đề thi học kỳ 2 Toán 12 năm học 2018 – 2019 sở GD&ĐT Đồng Tháp

02/04/2019

Đề Thi HK2 Toán 12

Tuyển chọn 30 đề thi học kỳ 2 Toán 12 có lời giải chi tiết

31/03/2019

Đề Thi HK2 Toán 12

Đề kiểm tra học kỳ II Toán 12 năm 2017 – 2018 trường THPT Lê Hồng Phong – Khánh Hòa

12/05/2018

Đề Thi HK2 Toán 12

Đề kiểm tra chất lượng HK2 Toán 12 năm 2017 – 2018 sở GD và ĐT Gia Lai

09/05/2018

Đề Thi HK2 Toán 12

Đề thi học kỳ II Toán 12 năm 2017 – 2018 trường Phan Đình Phùng – Đắk Lắk

08/05/2018

Đề Thi HK2 Toán 12

Đề thi học kỳ 2 Toán 12 năm 2017 – 2018 trường THPT Hưng Nhân – Thái Bình

07/05/2018

Đề Thi HK2 Toán 12

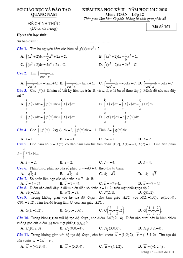
Đề kiểm tra học kỳ 2 Toán 12 năm học 2017 – 2018 sở GD và ĐT Quảng Nam

06/05/2018

Phân trang bài viết

« 1 … 18 19 20 … 24 »

TÌM KIẾM THEO TỪ KHÓA

TÀI LIỆU MỚI NHẤT

  • Tài liệu ôn tập cuối kỳ 2 Toán 10 năm 2025 – 2026 trường THPT Trần Phú – Đà Nẵng
    20/04/2026
  • Tài liệu ôn tập cuối kỳ 2 Toán 11 năm 2025 – 2026 trường THPT Trần Phú – Đà Nẵng
    20/04/2026
  • Tài liệu ôn tập cuối kỳ 2 Toán 12 năm 2025 – 2026 trường THPT Trần Phú – Đà Nẵng
    20/04/2026
  • Đề thi thử TN THPT 2026 môn Toán trường chuyên Lương Văn Chánh – Đắk Lắk
    20/04/2026
  • Đề cương cuối kì 2 Toán 10 năm 2025 – 2026 trường THPT Hướng Hóa – Quảng Trị
    19/04/2026
  • Đề cương cuối kì 2 Toán 11 năm 2025 – 2026 trường THPT Hướng Hóa – Quảng Trị
    19/04/2026

THEO DÕI TRÊN FACEBOOK

  • Facebook
  • Giới Thiệu
  • Chính Sách Bảo Mật
  • Liên Hệ

Copyright © 2026 | TOANMATH.com