TOANMATH.com

Tài liệu và đề thi Toán THPT miễn phí

  • Toán 10
    • Tài liệu Toán 10
    • Đề Cương Toán 10
    • Đề giữa HK1 Toán 10
    • Đề HK1 Toán 10
    • Đề giữa HK2 Toán 10
    • Đề HK2 Toán 10
    • Đề khảo sát Toán 10
    • Đề HSG Toán 10
    • Giáo án Toán 10
    • TIPS Giải Toán 10
  • Toán 11
    • Tài liệu Toán 11
    • Đề Cương Toán 11
    • Đề giữa HK1 Toán 11
    • Đề HK1 Toán 11
    • Đề giữa HK2 Toán 11
    • Đề HK2 Toán 11
    • Đề khảo sát Toán 11
    • Đề HSG Toán 11
    • Giáo án Toán 11
    • TIPS Giải Toán 11
  • Toán 12
    • Tài liệu Toán 12
    • Đề Cương Toán 12
    • Đề giữa HK1 Toán 12
    • Đề HK1 Toán 12
    • Đề giữa HK2 Toán 12
    • Đề HK2 Toán 12
    • Đề khảo sát Toán 12
    • Đề HSG Toán 12
    • Giáo án Toán 12
    • TIPS Giải Toán 12
  • Đề thi THPT
    • Đề thi thử THPT
    • Đề THPT chính thức
    • Đề đánh giá năng lực
    • Tài liệu ôn thi THPT
  • SGK-SBT
    • Sách giáo khoa THPT
    • Sách giáo khoa THCS
  • Toán THCS

Đề Thi HK2 Toán 12

Tổng hợp ĐỀ THI HK2 TOÁN 12 có đáp án và lời giải chi tiết của các trường Trung học Phổ thông, Sở Giáo dục và Đào tạo trên toàn quốc (File PDF). Các ĐỀ THI HK2 TOÁN 12 mới nhất sẽ được cập nhật liên tục và nhanh nhất có thể sau khi kỳ thi diễn ra, đáp án và lời giải chi tiết cũng sẽ được TOANMATH.com cập nhật sau đó nhằm giúp bạn đọc thuận tiện trong việc tra cứu và đối chiếu đáp án.

File WORD các ĐỀ THI CUỐI HỌC KÌ 2 TOÁN 12 (nếu có) được đính kèm trong nội dung bài viết, nhằm giúp quý thầy, cô giáo có thể tải xuống miễn phí, phục vụ cho quá trình biên soạn và giảng dạy. Quý thầy, cô giáo và bạn đọc có thể chia sẻ thêm ĐỀ THI CUỐI HỌC KÌ 2 TOÁN 12 bằng cách gửi về địa chỉ email: toanmath.com@gmail.com, nhằm tạo nguồn đề thi phong phú, đa dạng để các em học sinh lớp 12 tham khảo và rèn luyện.

Đề Thi HK2 Toán 12

Đề thi HKII Toán 12 năm học 2017 – 2018 trường THPT Hàm Nghi – Hà Tĩnh

04/05/2018

Đề Thi HK2 Toán 12

Đề thi học kỳ 2 Toán 12 năm 2017 – 2018 trường THPT Long Thạnh – Kiên Giang

03/05/2018

Đề Thi HK2 Toán 12

Đề thi học kỳ II Toán 12 năm 2017 – 2018 trường THPT Duyên Hải – Trà Vinh

30/04/2018

Đề Thi HK2 Toán 12

Đề kiểm tra HK2 Toán 12 năm 2017 – 2018 trường chuyên Lê Quý Đôn – Khánh Hòa

29/04/2018

Đề Thi HK2 Toán 12

Đề kiểm tra học kỳ 2 Toán 12 năm 2017 – 2018 trường THPT Kim Liên – Hà Nội

28/04/2018

Đề Thi HK2 Toán 12

Đề thi học kỳ 2 Toán 12 năm 2017 – 2018 trường chuyên Lê Hồng Phong – Nam Định

28/04/2018

Đề Thi HK2 Toán 12

Đề kiểm tra học kỳ 2 Toán 12 năm 2017 – 2018 trường Trần Đại Nghĩa – Đắk Lắk

28/04/2018

Đề Thi HK2 Toán 12

Đề thi hết học kỳ 2 Toán 12 năm 2017 – 2018 trường Lý Thái Tổ – Bắc Ninh

27/04/2018

Đề Thi HK2 Toán 12

Đề kiểm tra học kỳ 2 Toán 12 năm 2017 – 2018 sở GD và ĐT Quảng Trị

26/04/2018

Đề Thi HK2 Toán 12

Đề kiểm tra chất lượng HK2 Toán 12 năm học 2017 – 2018 sở GD và ĐT Lâm Đồng

26/04/2018

Đề Thi HK2 Toán 12

Đề kiểm tra học kỳ 2 Toán 12 năm 2017 – 2018 trường Ngô Quyền – Quảng Ninh

25/04/2018

Đề Thi HK2 Toán 12

Đề thi học kỳ 2 Toán 12 năm 2017 – 2018 trường Tân Hiệp – Kiên Giang

25/04/2018

Đề Thi HK2 Toán 12

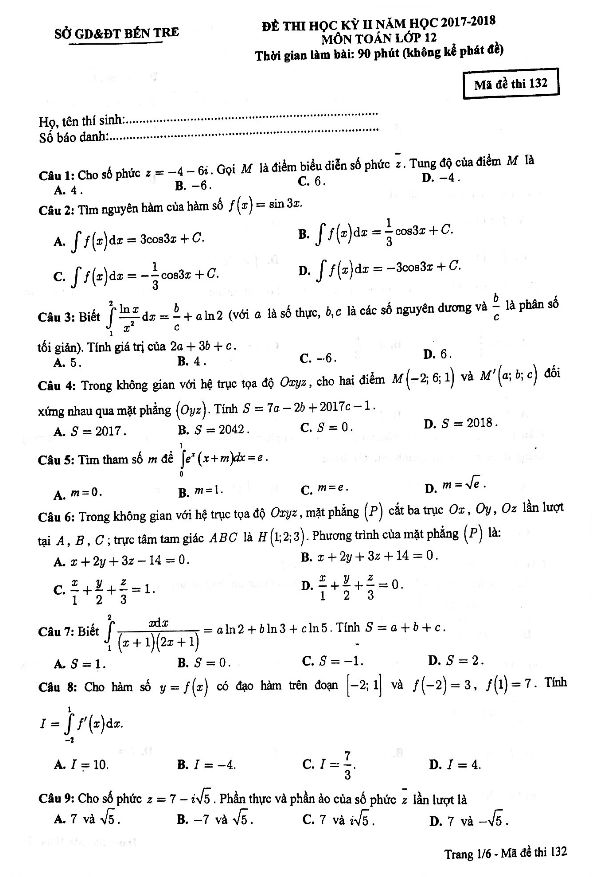
Đề thi học kỳ 2 Toán 12 năm học 2017 – 2018 sở GD và ĐT Bến Tre

25/04/2018

Đề Thi HK2 Toán 12

Đề kiểm tra học kỳ 2 Toán 12 năm 2017 – 2018 trường Tam Quan – Bình Định

25/04/2018

Đề Thi HK2 Toán 12

Đề thi hết học kỳ 2 Toán 12 năm 2017 – 2018 trường THPT Bình Minh – Ninh Bình

24/04/2018

Đề Thi HK2 Toán 12

Đề thi học kỳ 2 Toán 12 năm học 2017 – 2018 trường THPT Nguyễn Trãi – Hà Nội

22/04/2018

Đề Thi HK2 Toán 12

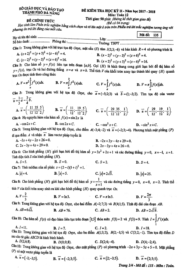
Đề kiểm tra học kỳ 2 Toán 12 năm học 2017 – 2018 sở GD và ĐT Đà Nẵng

20/04/2018

Đề Thi HK2 Toán 12

Đề kiểm tra HK2 Toán 12 THPT năm học 2017 – 2018 sở GD và ĐT Lạng Sơn

20/04/2018

Đề Thi HK2 Toán 12

Đề thi HK2 Toán 12 năm học 2017 – 2018 trường THPT Nguyễn Du – TP. HCM

20/04/2018

Đề Thi HK2 Toán 12

Đề thi KSCL Toán 12 HK2 năm 2017 – 2018 trường THPT Thái Hòa – Nghệ An

20/04/2018

Phân trang bài viết

« 1 … 19 20 21 … 24 »

TÌM KIẾM THEO TỪ KHÓA

TÀI LIỆU MỚI NHẤT

  • Tài liệu ôn tập cuối kỳ 2 Toán 10 năm 2025 – 2026 trường THPT Trần Phú – Đà Nẵng
    20/04/2026
  • Tài liệu ôn tập cuối kỳ 2 Toán 11 năm 2025 – 2026 trường THPT Trần Phú – Đà Nẵng
    20/04/2026
  • Tài liệu ôn tập cuối kỳ 2 Toán 12 năm 2025 – 2026 trường THPT Trần Phú – Đà Nẵng
    20/04/2026
  • Đề thi thử TN THPT 2026 môn Toán trường chuyên Lương Văn Chánh – Đắk Lắk
    20/04/2026
  • Đề cương cuối kì 2 Toán 10 năm 2025 – 2026 trường THPT Hướng Hóa – Quảng Trị
    19/04/2026
  • Đề cương cuối kì 2 Toán 11 năm 2025 – 2026 trường THPT Hướng Hóa – Quảng Trị
    19/04/2026

THEO DÕI TRÊN FACEBOOK

  • Facebook
  • Giới Thiệu
  • Chính Sách Bảo Mật
  • Liên Hệ

Copyright © 2026 | TOANMATH.com