TOANMATH.com

Tài liệu và đề thi Toán THPT miễn phí

  • Toán 10
    • Tài liệu Toán 10
    • Đề Cương Toán 10
    • Đề giữa HK1 Toán 10
    • Đề HK1 Toán 10
    • Đề giữa HK2 Toán 10
    • Đề HK2 Toán 10
    • Đề khảo sát Toán 10
    • Đề HSG Toán 10
    • Giáo án Toán 10
    • TIPS Giải Toán 10
  • Toán 11
    • Tài liệu Toán 11
    • Đề Cương Toán 11
    • Đề giữa HK1 Toán 11
    • Đề HK1 Toán 11
    • Đề giữa HK2 Toán 11
    • Đề HK2 Toán 11
    • Đề khảo sát Toán 11
    • Đề HSG Toán 11
    • Giáo án Toán 11
    • TIPS Giải Toán 11
  • Toán 12
    • Tài liệu Toán 12
    • Đề Cương Toán 12
    • Đề giữa HK1 Toán 12
    • Đề HK1 Toán 12
    • Đề giữa HK2 Toán 12
    • Đề HK2 Toán 12
    • Đề khảo sát Toán 12
    • Đề HSG Toán 12
    • Giáo án Toán 12
    • TIPS Giải Toán 12
  • Đề thi THPT
    • Đề thi thử THPT
    • Đề THPT chính thức
    • Đề đánh giá năng lực
    • Tài liệu ôn thi THPT
  • SGK-SBT
    • Sách giáo khoa THPT
    • Sách giáo khoa THCS
  • Toán THCS

Tháng: Tháng 10 2017

Kiểm Tra Đại Số 10 Chương 2

Đề kiểm tra chương II Đại số 10 (Hàm số bậc 1 – 2) trường THPT Nguyễn Trung Trực – Bình Định

19/10/2017

Đề Thi Giữa HK1 Toán 10

Đề thi giữa học kỳ I môn Toán 10 trường THPT Dĩ An – Bình Dương

19/10/2017

Kiểm Tra Hình Học 11 Chương 1

Đề kiểm tra 1 tiết Hình học 11 chương 1 (Phép biến hình) trường THPT Cây Dương – Kiên Giang

18/10/2017

Kiểm Tra Giải Tích 12 Chương 1

Đề kiểm tra 1 tiết chương I Giải tích 12 (Hàm số) trường THPT Tôn Thất Tùng – Đà Nẵng

18/10/2017

Kiểm Tra ĐS Và GT 11 Chương 1

Đề kiểm tra 1 tiết chương I Đại số và Giải tích 11 (Lượng giác) trường THPT Tôn Thất Tùng – Đà Nẵng

18/10/2017

Kiểm Tra Hình Học 10 Chương 1

Đề kiểm tra 45 phút Hình học 10 chương 1 (Vector) trường THPT chuyên Quốc học – Huế

17/10/2017

Đại Số Tổ Hợp

Bài tập trắc nghiệm tổ hợp và xác suất có lời giải chi tiết – Nguyễn Phú Khánh, Huỳnh Đức Khánh

16/10/2017

Đề Thi Giữa HK1 Toán 11

Đề kiểm tra giữa học kỳ I năm học 2017 – 2018 môn Toán 11 trường THCS – THPT Nguyễn Tất Thành – Hà Nội

16/10/2017

Đề Thi Giữa HK1 Toán 11

Đề kiểm tra giữa học kỳ I môn Toán 11 năm học 2017 – 2018 trường THPT Nhân Chính – Hà Nội

16/10/2017

Đề Thi HSG Toán 12

Đề thi chọn học sinh giỏi cấp tỉnh Toán 12 năm học 2017 – 2018 sở GD và ĐT Thái Nguyên

16/10/2017

Kiểm Tra ĐS Và GT 11 Chương 1

Đề kiểm tra 1 tiết Đại số và Giải tích 11 chương 1 (Lượng giác) trường THPT Nguyễn Duy Thì – Vĩnh Phúc

16/10/2017

Nguyên Hàm – Tích Phân

Bài tập trắc nghiệm nguyên hàm, tích phân và ứng dụng – Nguyễn Phú Khánh, Huỳnh Đức Khánh

14/10/2017

Khảo Sát Chất Lượng Toán 12

Đề kiểm tra định kì học kì I năm học 2017-2018 môn Toán 12 trường THPT Nhân Chính – Hà Nội

14/10/2017

Đề Thi Thử THPT Môn Toán

Đề thi thử THPT Quốc gia 2018 môn Toán – tạp chí Toán Học Tuổi Trẻ lần 1

13/10/2017

Đề Thi Thử THPT Môn Toán

Đề khảo sát chất lượng môn Toán 12 trường THPT Đoàn Kết – Hai Bà Trưng – Hà Nội

13/10/2017

Đề Thi Giữa HK1 Toán 12

Đề kiểm tra giữa học kỳ I môn Toán 12 trường THPT Trần Nhân Tông – Hà Nội

13/10/2017

Đề Thi Giữa HK1 Toán 12

Đề thi chất lượng giữa học kỳ I năm học 2017 – 2018 môn Toán lớp 12 trường THPT Yên Hòa – Hà Nội

13/10/2017

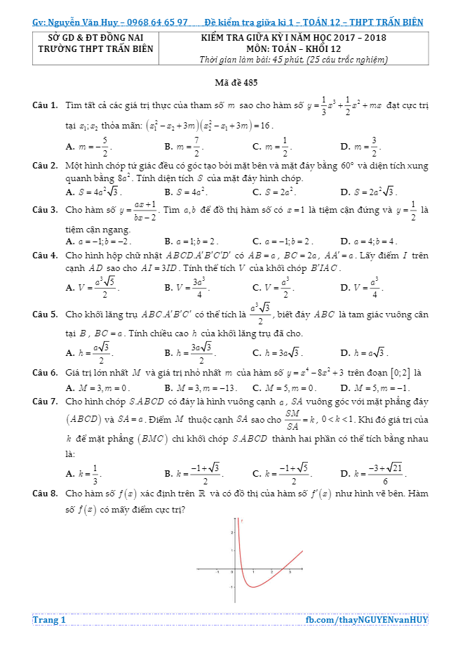
Đề Thi Giữa HK1 Toán 12

Đề kiểm tra giữa học kỳ I năm học 2017 – 2018 môn Toán 12 trường THPT Trấn Biên – Đồng Nai

12/10/2017

Khảo Sát Chất Lượng Toán 11

Đề thi đánh giá công bằng học kỳ I năm học 2017 – 2018 môn Toán 11 trường THPT chuyên KHTN – Hà Nội

12/10/2017

Tài Liệu Ôn Thi THPT Môn Toán

Tài liệu ôn tập thi THPT Quốc gia 2018 môn Toán – Sở GD và ĐT Tuyên Quang

12/10/2017

Phân trang bài viết

« 1 … 3 4 5 6 »

TÌM KIẾM THEO TỪ KHÓA

TÀI LIỆU MỚI NHẤT

  • Đề tham khảo chọn HSG tỉnh Toán 12 năm 2025 – 2026 sở GD&ĐT Phú Thọ
    04/10/2025
  • Đề chọn HSG Toán 12 lần 1 năm 2025 – 2026 khối THPT Triệu Sơn & Lê Lợi – Thanh Hóa
    02/10/2025
  • Toán thực tế hàm số lượng giác và phương trình lượng giác – Đặng Việt Đông
    02/10/2025
  • Đề kiểm tra thường xuyên Toán 12 năm 2025 – 2026 trường Nguyễn Khuyến – TP HCM
    01/10/2025
  • Đề KTCL đội tuyển Toán năm 2025 – 2026 trường THPT Thọ Xuân 5 – Thanh Hóa
    01/10/2025
  • Bộ đề thi thử giữa học kì 1 Toán 12 năm học 2025 – 2026 – Chu Hoàng Minh
    30/09/2025
  • Facebook
  • Giới Thiệu
  • Chính Sách Bảo Mật
  • Liên Hệ

Copyright © 2025 | TOANMATH.com