TOANMATH.com

Tài liệu và đề thi Toán THPT miễn phí

  • Toán 10
    • Tài liệu Toán 10
    • Đề Cương Toán 10
    • Đề giữa HK1 Toán 10
    • Đề HK1 Toán 10
    • Đề giữa HK2 Toán 10
    • Đề HK2 Toán 10
    • Đề khảo sát Toán 10
    • Đề HSG Toán 10
    • Giáo án Toán 10
    • TIPS Giải Toán 10
  • Toán 11
    • Tài liệu Toán 11
    • Đề Cương Toán 11
    • Đề giữa HK1 Toán 11
    • Đề HK1 Toán 11
    • Đề giữa HK2 Toán 11
    • Đề HK2 Toán 11
    • Đề khảo sát Toán 11
    • Đề HSG Toán 11
    • Giáo án Toán 11
    • TIPS Giải Toán 11
  • Toán 12
    • Tài liệu Toán 12
    • Đề Cương Toán 12
    • Đề giữa HK1 Toán 12
    • Đề HK1 Toán 12
    • Đề giữa HK2 Toán 12
    • Đề HK2 Toán 12
    • Đề khảo sát Toán 12
    • Đề HSG Toán 12
    • Giáo án Toán 12
    • TIPS Giải Toán 12
  • Đề thi THPT
    • Đề thi thử THPT
    • Đề THPT chính thức
    • Đề đánh giá năng lực
    • Tài liệu ôn thi THPT
  • SGK-SBT
    • Sách giáo khoa THPT
    • Sách giáo khoa THCS
  • Toán THCS

Đề Thi HK2 Toán 11

Tổng hợp ĐỀ THI HK2 TOÁN 11 có đáp án và lời giải chi tiết của các trường Trung học Phổ thông, Sở Giáo dục và Đào tạo trên toàn quốc (File PDF). Các ĐỀ THI HK2 TOÁN 11 mới nhất sẽ được cập nhật liên tục và nhanh nhất có thể sau khi kỳ thi diễn ra, đáp án và lời giải chi tiết cũng sẽ được TOANMATH.com cập nhật sau đó nhằm giúp bạn đọc thuận tiện trong việc tra cứu và đối chiếu đáp án.

File WORD các ĐỀ THI CUỐI HỌC KÌ 2 TOÁN 11 (nếu có) được đính kèm trong nội dung bài viết, nhằm giúp quý thầy, cô giáo có thể tải xuống miễn phí, phục vụ cho quá trình biên soạn và giảng dạy. Quý thầy, cô giáo và bạn đọc có thể chia sẻ thêm ĐỀ THI CUỐI HỌC KÌ 2 TOÁN 11 bằng cách gửi về địa chỉ email: toanmath.com@gmail.com, nhằm tạo nguồn đề thi phong phú, đa dạng để các em học sinh lớp 11 tham khảo và rèn luyện.

Đề Thi HK2 Toán 11

Đề thi học kì 2 Toán 11 năm 2019 – 2020 trường THPT Trưng Vương – TP HCM

12/05/2020

Đề Thi HK2 Toán 11

Đề thi học kì 2 Toán 11 năm 2019 – 2020 trường THPT Trường Chinh – TP HCM

12/05/2020

Đề Thi HK2 Toán 11

Đề thi học kì 2 Toán 11 năm 2019 – 2020 trường Trương Vĩnh Ký – TP HCM

12/05/2020

Đề Thi HK2 Toán 11

Đề thi học kì 2 Toán 11 năm 2019 – 2020 trường THPT Võ Văn Kiệt – TP HCM

11/05/2020

Đề Thi HK2 Toán 11

Đề thi học kì 2 Toán 11 năm 2019 – 2020 trường Diên Hồng – TP HCM

11/05/2020

Đề Thi HK2 Toán 11

Đề thi học kì 2 Toán 11 năm 2019 – 2020 trường chuyên Lê Hồng Phong – TP HCM

11/05/2020

Đề Thi HK2 Toán 11

Đề thi học kì 2 Toán 11 năm 2019 – 2020 trường THPT Cần Thạnh – TP HCM

11/05/2020

Đề Thi HK2 Toán 11

Đề thi học kì 2 Toán 11 năm 2019 – 2020 trường THPT Bùi Thị Xuân – TP HCM

10/05/2020

Đề Thi HK2 Toán 11

Đề thi học kì 2 Toán 11 năm 2019 – 2020 trường THPT Bình Tân – TP HCM

10/05/2020

Đề Thi HK2 Toán 11

Đề thi HK2 Toán 11 năm 2018 – 2019 trường chuyên Lê Khiết – Quảng Ngãi

13/06/2019

Đề Thi HK2 Toán 11

Đề thi HK2 Toán 11 năm học 2018 – 2019 sở GD và ĐT Quảng Nam

03/06/2019

Đề Thi HK2 Toán 11

Đề thi học kỳ 2 Toán 11 năm 2018 – 2019 trường THPT Hưng Yên – Hưng Yên

29/05/2019

Đề Thi HK2 Toán 11

Đề thi KSCL Toán 11 HK2 năm 2018 – 2019 trường Lý Thái Tổ – Bắc Ninh

24/05/2019

Đề Thi HK2 Toán 11

Đề kiểm tra học kì 2 Toán 11 năm 2018 – 2019 sở GD&ĐT Bắc Giang

22/05/2019

Đề Thi HK2 Toán 11

Đề thi học kỳ 2 Toán 11 năm 2018 – 2019 trường THPT Thị xã Quảng Trị

20/05/2019

Đề Thi HK2 Toán 11

Đề thi học kì 2 Toán 11 năm học 2018 – 2019 sở GD&ĐT Quảng Bình

18/05/2019

Đề Thi HK2 Toán 11

Đề thi học kỳ 2 Toán 11 năm 2018 – 2019 trường Thống Nhất A – Đồng Nai

17/05/2019

Đề Thi HK2 Toán 11

Đề thi HK2 Toán 11 năm 2018 – 2019 trường Nguyễn Quang Diêu – An Giang

17/05/2019

Đề Thi HK2 Toán 11

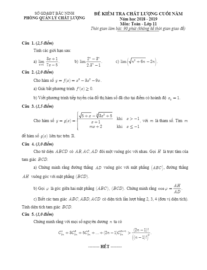
Đề kiểm tra chất lượng Toán 11 năm 2018 – 2019 sở GD&ĐT Bắc Ninh

16/05/2019

Đề Thi HK2 Toán 11

Đề thi học kì 2 Toán 11 năm 2018 – 2019 trường Đoàn Thượng – Hải Dương

13/05/2019

Phân trang bài viết

« 1 … 15 16 17 … 20 »

TÌM KIẾM THEO TỪ KHÓA

TÀI LIỆU MỚI NHẤT

  • Tài liệu ôn tập cuối kỳ 2 Toán 10 năm 2025 – 2026 trường THPT Trần Phú – Đà Nẵng
    20/04/2026
  • Tài liệu ôn tập cuối kỳ 2 Toán 11 năm 2025 – 2026 trường THPT Trần Phú – Đà Nẵng
    20/04/2026
  • Tài liệu ôn tập cuối kỳ 2 Toán 12 năm 2025 – 2026 trường THPT Trần Phú – Đà Nẵng
    20/04/2026
  • Đề thi thử TN THPT 2026 môn Toán trường chuyên Lương Văn Chánh – Đắk Lắk
    20/04/2026
  • Đề cương cuối kì 2 Toán 10 năm 2025 – 2026 trường THPT Hướng Hóa – Quảng Trị
    19/04/2026
  • Đề cương cuối kì 2 Toán 11 năm 2025 – 2026 trường THPT Hướng Hóa – Quảng Trị
    19/04/2026

THEO DÕI TRÊN FACEBOOK

  • Facebook
  • Giới Thiệu
  • Chính Sách Bảo Mật
  • Liên Hệ

Copyright © 2026 | TOANMATH.com