TOANMATH.com

Tài liệu và đề thi Toán THPT miễn phí

  • Toán 10
    • Tài liệu Toán 10
    • Đề Cương Toán 10
    • Đề giữa HK1 Toán 10
    • Đề HK1 Toán 10
    • Đề giữa HK2 Toán 10
    • Đề HK2 Toán 10
    • Đề khảo sát Toán 10
    • Đề HSG Toán 10
    • Giáo án Toán 10
    • TIPS Giải Toán 10
  • Toán 11
    • Tài liệu Toán 11
    • Đề Cương Toán 11
    • Đề giữa HK1 Toán 11
    • Đề HK1 Toán 11
    • Đề giữa HK2 Toán 11
    • Đề HK2 Toán 11
    • Đề khảo sát Toán 11
    • Đề HSG Toán 11
    • Giáo án Toán 11
    • TIPS Giải Toán 11
  • Toán 12
    • Tài liệu Toán 12
    • Đề Cương Toán 12
    • Đề giữa HK1 Toán 12
    • Đề HK1 Toán 12
    • Đề giữa HK2 Toán 12
    • Đề HK2 Toán 12
    • Đề khảo sát Toán 12
    • Đề HSG Toán 12
    • Giáo án Toán 12
    • TIPS Giải Toán 12
  • Đề thi THPT
    • Đề thi thử THPT
    • Đề THPT chính thức
    • Đề đánh giá năng lực
    • Tài liệu ôn thi THPT
  • SGK-SBT
    • Sách giáo khoa THPT
    • Sách giáo khoa THCS
  • Toán THCS

Đề Thi HSG Toán 10

Tổng hợp ĐỀ THI HSG TOÁN 10 của các trường Trung học Phổ thông, các Sở Giáo dục và Đào tạo trên toàn quốc, có đáp án và lời giải chi tiết (định dạng PDF + WORD), hỗ trợ học sinh lớp 10 trong quá trình ôn tập chuẩn bị cho kỳ thi chọn học sinh giỏi Toán 10 các cấp: cấp trường / cấp huyện / cấp tỉnh / cấp Quốc gia.

Quý thầy, cô giáo và bạn đọc có thể chia sẻ thêm ĐỀ THI HSG TOÁN 10 bằng cách gửi về địa chỉ email: toanmath.com@gmail.com, nhằm tạo nguồn đề thi phong phú, đa dạng để các em học sinh lớp 10 tham khảo và rèn luyện.

Đề Thi HSG Toán 10

Đề KSCL đội tuyển HSG Toán 10 năm 2020 – 2021 trường Liễn Sơn – Vĩnh Phúc

15/03/2021

Đề Thi HSG Toán 10

Đề học sinh giỏi Toán 10 năm 2020 – 2021 trường Phùng Khắc Khoan – Hà Nội

15/03/2021

Đề Thi HSG Toán 10

Đề thi học sinh giỏi tỉnh Toán 10 năm 2020 – 2021 sở GD&ĐT Hà Tĩnh

13/03/2021

Đề Thi HSG Toán 10

Đề HSG cấp trường Toán 10 năm 2020 – 2021 trường Yên Phong 2 – Bắc Ninh

12/03/2021

Đề Thi HSG Toán 10

Đề Olympic 27 tháng 4 Toán 10 năm 2020 – 2021 sở GD&ĐT Bà Rịa – Vũng Tàu

12/03/2021

Đề Thi HSG Toán 10

Đề thi HSG cấp trường Toán 10 năm 2020 – 2021 trường Cẩm Xuyên – Hà Tĩnh

31/01/2021

Đề Thi HSG Toán 10

Đề chọn HSG Toán 10 vòng 1 năm 2020 – 2021 trường THPT Trần Nguyên Hãn – Hải Phòng

07/01/2021

Đề Thi HSG Toán 10

Đề thi HSG Toán 10 cấp trường năm 2020 – 2021 trường THPT Nguyễn Huệ – Quảng Nam

05/01/2021

Đề Thi HSG Toán 10

Đề chọn đội tuyển Olympic 2021 Toán 10 lần 1 trường chuyên Nguyễn Bỉnh Khiêm – Quảng Nam

21/09/2020

Đề Thi HSG Toán 10

Đề thi chọn HSG Toán 10 lần 1 năm 2020 – 2021 trường THPT chuyên KHTN – Hà Nội

16/09/2020

Đề Thi HSG Toán 10

Đề thi Olympic Toán 10 năm học 2019 – 2020 cụm Sóc Sơn – Mê Linh – Hà Nội

13/07/2020

Đề Thi HSG Toán 10

Đề thi chọn HSG Toán 10 năm học 2019 – 2020 trường THPT thị xã Quảng Trị

20/06/2020

Đề Thi HSG Toán 10

Đề học sinh giỏi Toán 10 cấp trường năm 2019 – 2020 trường Lưu Hoàng – Hà Nội

15/03/2020

Đề Thi HSG Toán 10

Đề thi chọn HSG Toán 10 năm 2019 – 2020 trường THPT Trần Phú – Hà Tĩnh

14/12/2019

Đề Thi HSG Toán 10

Đề thi HSG Toán 10 năm 2018 – 2019 trường Nguyễn Đức Cảnh – Thái Bình

17/05/2019

Đề Thi HSG Toán 10

Đề thi HSG Toán 10 năm 2019 cụm trường THPT chuyên DH&ĐB Bắc Bộ

01/05/2019

Đề Thi HSG Toán 10

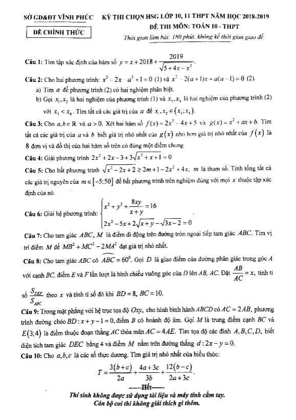
Đề thi chọn HSG Toán 10 THPT năm học 2018 – 2019 sở GD&ĐT Vĩnh Phúc

10/04/2019

Đề Thi HSG Toán 10

Đề thi chọn HSG Toán 10 năm 2018 – 2019 trường THPT Thị xã Quảng Trị

08/04/2019

Đề Thi HSG Toán 10

Đề thi HSG tỉnh Toán 10 THPT năm 2018 – 2019 sở GD&ĐT Hải Dương

06/04/2019

Đề Thi HSG Toán 10

Đề Olympic Toán 10 năm 2019 cụm trường THPT Hà Đông – Hoài Đức – Hà Nội

30/03/2019

Phân trang bài viết

« 1 … 6 7 8 9 »

TÌM KIẾM THEO TỪ KHÓA

TÀI LIỆU MỚI NHẤT

  • Đề thi thử TN THPT 2026 môn Toán lần 2 trường THPT An Lương Đông – Huế
    25/05/2026
  • Đề thi thử TN THPT 2026 môn Toán trường THPT Lê Quý Đôn – Quảng Ngãi
    24/05/2026
  • Đề khảo sát Toán 12 lần 2 năm 2025 – 2026 trường THPT Nguyễn Trãi – Hà Nội
    24/05/2026
  • Đề thi thử tốt nghiệp THPT 2026 môn Toán cụm chuyên môn số 08 – Cà Mau
    24/05/2026
  • Đề thi thử TN THPT năm 2026 môn Toán trường THCS-THPT Nguyễn Khuyến – TP HCM
    24/05/2026
  • Đề thi thử TN THPT 2026 môn Toán lần 3 trường THPT Lê Hồng Phong – Thái Nguyên
    24/05/2026

THEO DÕI TRÊN FACEBOOK

  • Facebook
  • Giới Thiệu
  • Chính Sách Bảo Mật
  • Liên Hệ

Copyright © 2026 | TOANMATH.com