TOANMATH.com

Tài liệu và đề thi Toán THPT miễn phí

  • Toán 10
    • Tài liệu Toán 10
    • Đề Cương Toán 10
    • Đề giữa HK1 Toán 10
    • Đề HK1 Toán 10
    • Đề giữa HK2 Toán 10
    • Đề HK2 Toán 10
    • Đề khảo sát Toán 10
    • Đề HSG Toán 10
    • Giáo án Toán 10
    • TIPS Giải Toán 10
  • Toán 11
    • Tài liệu Toán 11
    • Đề Cương Toán 11
    • Đề giữa HK1 Toán 11
    • Đề HK1 Toán 11
    • Đề giữa HK2 Toán 11
    • Đề HK2 Toán 11
    • Đề khảo sát Toán 11
    • Đề HSG Toán 11
    • Giáo án Toán 11
    • TIPS Giải Toán 11
  • Toán 12
    • Tài liệu Toán 12
    • Đề Cương Toán 12
    • Đề giữa HK1 Toán 12
    • Đề HK1 Toán 12
    • Đề giữa HK2 Toán 12
    • Đề HK2 Toán 12
    • Đề khảo sát Toán 12
    • Đề HSG Toán 12
    • Giáo án Toán 12
    • TIPS Giải Toán 12
  • Đề thi THPT
    • Đề thi thử THPT
    • Đề THPT chính thức
    • Đề đánh giá năng lực
    • Tài liệu ôn thi THPT
  • SGK-SBT
    • Sách giáo khoa THPT
    • Sách giáo khoa THCS
  • Toán THCS

Đề Thi HSG Toán 10

Tổng hợp ĐỀ THI HSG TOÁN 10 của các trường Trung học Phổ thông, các Sở Giáo dục và Đào tạo trên toàn quốc, có đáp án và lời giải chi tiết (định dạng PDF + WORD), hỗ trợ học sinh lớp 10 trong quá trình ôn tập chuẩn bị cho kỳ thi chọn học sinh giỏi Toán 10 các cấp: cấp trường / cấp huyện / cấp tỉnh / cấp Quốc gia.

Quý thầy, cô giáo và bạn đọc có thể chia sẻ thêm ĐỀ THI HSG TOÁN 10 bằng cách gửi về địa chỉ email: toanmath.com@gmail.com, nhằm tạo nguồn đề thi phong phú, đa dạng để các em học sinh lớp 10 tham khảo và rèn luyện.

Đề Thi HSG Toán 10

Đề chọn đội tuyển HSG Toán 10 năm 2021 – 2022 trường THPT chuyên Bến Tre

18/04/2022

Đề Thi HSG Toán 10

Đề HSG Toán 10 năm 2021 – 2022 trường chuyên Lương Thế Vinh – Đồng Nai

18/04/2022

Đề Thi HSG Toán 10

Đề thi học sinh giỏi Toán 10 năm 2021 – 2022 cụm trường THPT – Hà Nội

07/04/2022

Đề Thi HSG Toán 10

Đề HSG lớp 10 & 11 môn Toán năm 2021 – 2022 trường chuyên Nguyễn Huệ – Hà Nội

31/03/2022

Đề Thi HSG Toán 10

Đề thi chọn học sinh giỏi Toán 10 năm 2021 – 2022 sở GD&ĐT Hà Nam

31/03/2022

Đề Thi HSG Toán 10

Đề khảo sát đội tuyển Toán 10 lần 2 năm 2021 – 2022 trường THPT Trần Phú – Vĩnh Phúc

19/03/2022

Đề Thi HSG Toán 10

Đề thi học sinh giỏi tỉnh Toán 10 năm 2021 – 2022 sở GD&ĐT Hà Tĩnh

17/03/2022

Đề Thi HSG Toán 10

Đề chọn HSG Toán 10 năm 2021 – 2022 trường THPT Võ Thành Trinh – An Giang

05/03/2022

Đề Thi HSG Toán 10

Đề thi HSG Toán 10 năm 2021 – 2022 cụm THPT huyện Lục Nam – Bắc Giang

24/01/2022

Đề Thi HSG Toán 10

Đề HSG Toán 10 năm 2020 – 2021 cụm THPT huyện Yên Dũng – Bắc Giang

23/06/2021

Đề Thi HSG Toán 10

Đề học sinh giỏi Toán 10 năm 2020 – 2021 trường THPT Minh Châu – Hưng Yên

05/05/2021

Đề Thi HSG Toán 10

Đề thi HSG Toán 10 năm 2020 – 2021 trường THPT Lưu Hoàng – Hà Nội

29/04/2021

Đề Thi HSG Toán 10

Đề Olympic 30 tháng 4 Toán 10 năm 2021 trường chuyên Lê Hồng Phong – TP HCM

19/04/2021

Đề Thi HSG Toán 10

Đề Olympic tháng 4 Toán 10 năm 2020 – 2021 sở GD&ĐT TP Hồ Chí Minh

17/04/2021

Đề Thi HSG Toán 10

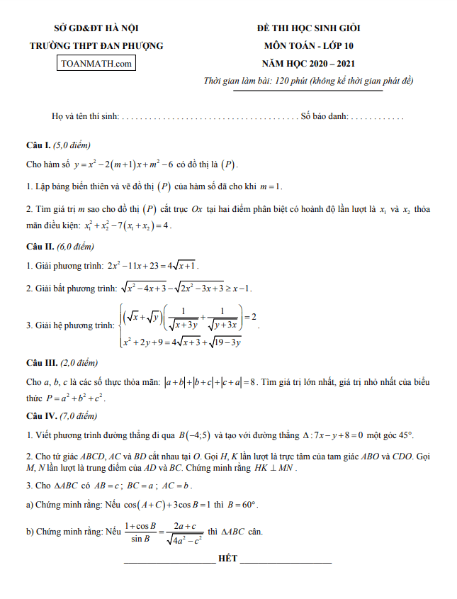
Đề thi HSG Toán 10 năm 2020 – 2021 trường THPT Đan Phượng – Hà Nội

11/04/2021

Đề Thi HSG Toán 10

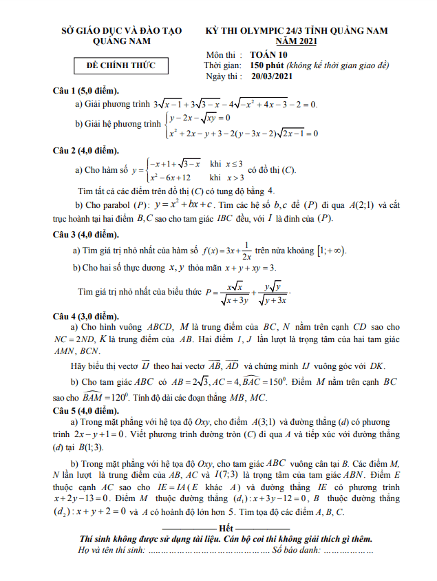
Đề thi Olympic 24/3 Toán 10 năm 2021 sở GD&ĐT Quảng Nam

10/04/2021

Đề Thi HSG Toán 10

Đề thi HSG Toán 10 năm 2020 – 2021 trường THPT Diễn Châu 2 – Nghệ An

08/04/2021

Đề Thi HSG Toán 10

Đề thi HSG Toán 10 lần 2 năm 2020 – 2021 trường THPT Đồng Đậu – Vĩnh Phúc

26/03/2021

Đề Thi HSG Toán 10

Đề Olympic Toán 10 năm 2020 – 2021 liên cụm trường THPT – Hà Nội

23/03/2021

Đề Thi HSG Toán 10

Đề thi học sinh giỏi cấp trường Toán 10 năm 2020 – 2021 trường chuyên Bắc Ninh

21/03/2021

Phân trang bài viết

« 1 … 5 6 7 … 9 »

TÌM KIẾM THEO TỪ KHÓA

TÀI LIỆU MỚI NHẤT

  • Đề thi thử TN THPT 2026 môn Toán lần 2 trường THPT An Lương Đông – Huế
    25/05/2026
  • Đề thi thử TN THPT 2026 môn Toán trường THPT Lê Quý Đôn – Quảng Ngãi
    24/05/2026
  • Đề khảo sát Toán 12 lần 2 năm 2025 – 2026 trường THPT Nguyễn Trãi – Hà Nội
    24/05/2026
  • Đề thi thử tốt nghiệp THPT 2026 môn Toán cụm chuyên môn số 08 – Cà Mau
    24/05/2026
  • Đề thi thử TN THPT năm 2026 môn Toán trường THCS-THPT Nguyễn Khuyến – TP HCM
    24/05/2026
  • Đề thi thử TN THPT 2026 môn Toán lần 3 trường THPT Lê Hồng Phong – Thái Nguyên
    24/05/2026

THEO DÕI TRÊN FACEBOOK

  • Facebook
  • Giới Thiệu
  • Chính Sách Bảo Mật
  • Liên Hệ

Copyright © 2026 | TOANMATH.com