TOANMATH.com

Tài liệu và đề thi Toán THPT miễn phí

  • Toán 10
    • Tài liệu Toán 10
    • Đề Cương Toán 10
    • Đề giữa HK1 Toán 10
    • Đề HK1 Toán 10
    • Đề giữa HK2 Toán 10
    • Đề HK2 Toán 10
    • Đề khảo sát Toán 10
    • Đề HSG Toán 10
    • Giáo án Toán 10
    • TIPS Giải Toán 10
  • Toán 11
    • Tài liệu Toán 11
    • Đề Cương Toán 11
    • Đề giữa HK1 Toán 11
    • Đề HK1 Toán 11
    • Đề giữa HK2 Toán 11
    • Đề HK2 Toán 11
    • Đề khảo sát Toán 11
    • Đề HSG Toán 11
    • Giáo án Toán 11
    • TIPS Giải Toán 11
  • Toán 12
    • Tài liệu Toán 12
    • Đề Cương Toán 12
    • Đề giữa HK1 Toán 12
    • Đề HK1 Toán 12
    • Đề giữa HK2 Toán 12
    • Đề HK2 Toán 12
    • Đề khảo sát Toán 12
    • Đề HSG Toán 12
    • Giáo án Toán 12
    • TIPS Giải Toán 12
  • Đề thi THPT
    • Đề thi thử THPT
    • Đề THPT chính thức
    • Đề đánh giá năng lực
    • Tài liệu ôn thi THPT
  • SGK-SBT
    • Sách giáo khoa THPT
    • Sách giáo khoa THCS
  • Toán THCS

Đề Cương Ôn Tập Toán 12

Tổng hợp ĐỀ CƯƠNG ÔN TẬP TOÁN 12 hướng dẫn nội dung ôn tập kiểm tra giữa học kì 1 / cuối học kì 1 / giữa học kì 2 / cuối học kì 2 môn Toán 12 (định dạng PDF + WORD), có đáp án và lời giải chi tiết.

Các ĐỀ CƯƠNG ÔN TẬP TOÁN 12 được biên soạn phù hợp với chương trình sách giáo khoa Toán 12: Cánh Diều, Chân Trời Sáng Tạo, Kết Nối Tri Thức Với Cuộc Sống.

Đề Cương Ôn Tập Toán 12

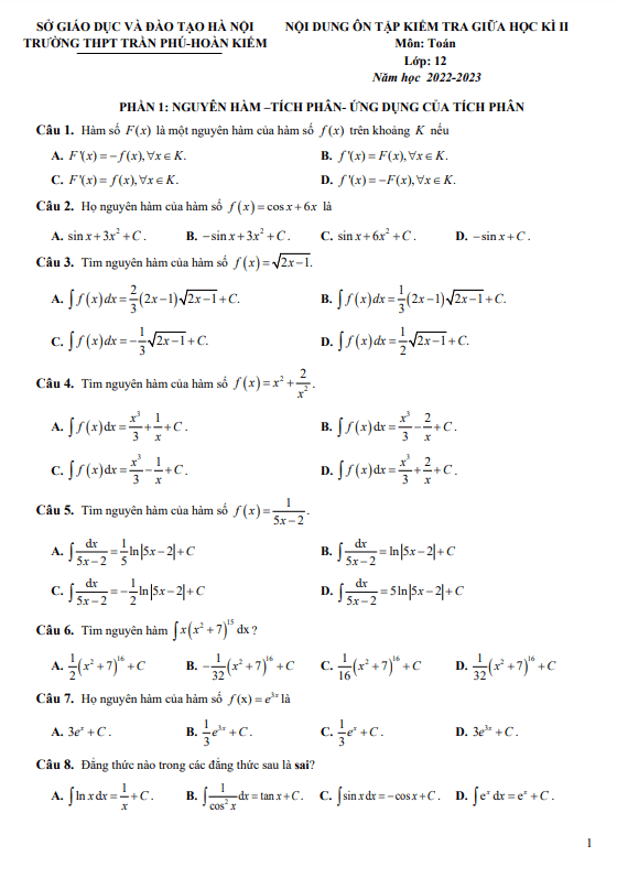
Ôn tập giữa kì 2 Toán 12 năm 2022 – 2023 trường THPT Trần Phú – Hà Nội

17/02/2023

Đề Cương Ôn Tập Toán 12

Đề cương cuối kỳ 1 Toán 12 năm 2022 – 2023 THPT Lương Ngọc Quyến – Thái Nguyên

09/12/2022

Đề Cương Ôn Tập Toán 12

Nội dung ôn tập cuối kì 1 Toán 12 năm 2022 – 2023 trường THPT Trần Phú – Hà Nội

07/12/2022

Đề Cương Ôn Tập Toán 12

Đề cương học kỳ 1 Toán 12 năm 2022 – 2023 trường THPT Ngô Quyền – Đà Nẵng

04/12/2022

Đề Cương Ôn Tập Toán 12

Đề cương cuối kỳ 1 Toán 12 năm 2022 – 2023 trường THPT Xuân Đỉnh – Hà Nội

28/11/2022

Đề Cương Ôn Tập Toán 12

Đề cương giữa kỳ 1 Toán 12 năm 2022 – 2023 trường THPT Xuân Đỉnh – Hà Nội

19/10/2022

Đề Cương Ôn Tập Toán 12

Đề cương giữa kỳ 1 Toán 12 năm 2022 – 2023 THPT Lương Ngọc Quyến – Thái Nguyên

18/10/2022

Đề Cương Ôn Tập Toán 12

Nội dung ôn tập giữa kì 1 Toán 12 năm 2022 – 2023 trường THPT Trần Phú – Hà Nội

15/10/2022

Đề Cương Ôn Tập Toán 12

Hướng dẫn ôn tập giữa kì 1 Toán 12 năm 2022 – 2023 trường Vinschool – Hà Nội

09/10/2022

Đề Cương Ôn Tập Toán 12

Đề cương giữa kì 1 Toán 12 năm 2022 – 2023 trường THPT Yên Hòa – Hà Nội

04/10/2022

Đề Cương Ôn Tập Toán 12

Hướng dẫn ôn tập học kì 2 Toán 12 năm 2021 – 2022 trường Vinschool – Hà Nội

28/04/2022

Đề Cương Ôn Tập Toán 12

Đề cương học kỳ 2 Toán 12 năm 2021 – 2022 trường THPT Hai Bà Trưng – TT Huế

24/04/2022

Đề Cương Ôn Tập Toán 12

Ôn tập học kì 2 Toán 12 năm 2021 – 2022 trường THPT Trần Phú – Hà Nội

24/04/2022

Đề Cương Ôn Tập Toán 12

Đề cương cuối kỳ 2 Toán 12 năm 2021 – 2022 trường Phan Đình Phùng – Quảng Bình

19/04/2022

Đề Cương Ôn Tập Toán 12

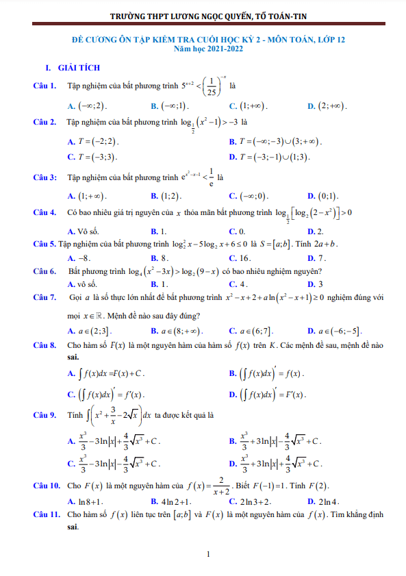
Đề cương học kỳ 2 Toán 12 năm 2021 – 2022 trường Lương Ngọc Quyến – Thái Nguyên

13/04/2022

Đề Cương Ôn Tập Toán 12

Tài liệu ôn thi học kỳ 2 lớp 12 môn Toán

06/04/2022

Đề Cương Ôn Tập Toán 12

Đề cương giữa học kỳ 2 Toán 12 năm 2021 – 2022 trường THPT Xuân Đỉnh – Hà Nội

01/03/2022

Đề Cương Ôn Tập Toán 12

Đề cương ôn tập học kỳ 2 Toán 12 năm 2021 – 2022 trường THPT Yên Hòa – Hà Nội

28/02/2022

Đề Cương Ôn Tập Toán 12

Đề cương giữa kỳ 2 Toán 12 năm 2021 – 2022 trường Lương Ngọc Quyến – Thái Nguyên

28/02/2022

Đề Cương Ôn Tập Toán 12

Ôn tập giữa học kì 2 Toán 12 năm 2021 – 2022 trường THPT Trần Phú – Hà Nội

27/02/2022

Phân trang bài viết

« 1 … 6 7 8 … 11 »

TÌM KIẾM THEO TỪ KHÓA

TÀI LIỆU MỚI NHẤT

  • Tài liệu ôn tập cuối kỳ 2 Toán 10 năm 2025 – 2026 trường THPT Trần Phú – Đà Nẵng
    20/04/2026
  • Tài liệu ôn tập cuối kỳ 2 Toán 11 năm 2025 – 2026 trường THPT Trần Phú – Đà Nẵng
    20/04/2026
  • Tài liệu ôn tập cuối kỳ 2 Toán 12 năm 2025 – 2026 trường THPT Trần Phú – Đà Nẵng
    20/04/2026
  • Đề thi thử TN THPT 2026 môn Toán trường chuyên Lương Văn Chánh – Đắk Lắk
    20/04/2026
  • Đề cương cuối kì 2 Toán 10 năm 2025 – 2026 trường THPT Hướng Hóa – Quảng Trị
    19/04/2026
  • Đề cương cuối kì 2 Toán 11 năm 2025 – 2026 trường THPT Hướng Hóa – Quảng Trị
    19/04/2026

THEO DÕI TRÊN FACEBOOK

  • Facebook
  • Giới Thiệu
  • Chính Sách Bảo Mật
  • Liên Hệ

Copyright © 2026 | TOANMATH.com