TOANMATH.com

Tài liệu và đề thi Toán THPT miễn phí

  • Toán 10
    • Tài liệu Toán 10
    • Đề Cương Toán 10
    • Đề giữa HK1 Toán 10
    • Đề HK1 Toán 10
    • Đề giữa HK2 Toán 10
    • Đề HK2 Toán 10
    • Đề khảo sát Toán 10
    • Đề HSG Toán 10
    • Giáo án Toán 10
    • TIPS Giải Toán 10
  • Toán 11
    • Tài liệu Toán 11
    • Đề Cương Toán 11
    • Đề giữa HK1 Toán 11
    • Đề HK1 Toán 11
    • Đề giữa HK2 Toán 11
    • Đề HK2 Toán 11
    • Đề khảo sát Toán 11
    • Đề HSG Toán 11
    • Giáo án Toán 11
    • TIPS Giải Toán 11
  • Toán 12
    • Tài liệu Toán 12
    • Đề Cương Toán 12
    • Đề giữa HK1 Toán 12
    • Đề HK1 Toán 12
    • Đề giữa HK2 Toán 12
    • Đề HK2 Toán 12
    • Đề khảo sát Toán 12
    • Đề HSG Toán 12
    • Giáo án Toán 12
    • TIPS Giải Toán 12
  • Đề thi THPT
    • Đề thi thử THPT
    • Đề THPT chính thức
    • Đề đánh giá năng lực
    • Tài liệu ôn thi THPT
  • SGK-SBT
    • Sách giáo khoa THPT
    • Sách giáo khoa THCS
  • Toán THCS

Đề Thi Thử THPT Môn Toán 2019

Chuyên mục ĐỀ THI THỬ THPT MÔN TOÁN 2019 bao gồm: Đề Thi Thử Tốt Nghiệp THPT Năm 2019 Môn Toán, Đề Minh Họa Tốt Nghiệp THPT Năm 2019 Môn Toán, Đề Tham Khảo Tốt Nghiệp THPT Năm 2019 Môn Toán … của các trường Trung học Phổ thông, Sở GD&ĐT và Bộ GD&ĐT; giúp học sinh ôn thi tốt nghiệp Trung học Phổ thông Quốc gia, ôn thi tuyển sinh vào các trường Đại học – Cao đẳng.

Các ĐỀ THI THỬ THPT MÔN TOÁN 2019 sẽ được TOANMATH.com cập nhật nhanh nhất và chuẩn xác nhất sau kỳ thi, bao gồm file PDF và file WORD (nếu có), có đầy đủ đáp án và lời giải chi tiết. Quý thầy, cô giáo và bạn đọc có thể chia sẻ thêm ĐỀ THI THỬ THPT MÔN TOÁN 2019 bằng cách gửi về địa chỉ email: toanmath.com@gmail.com, nhằm tạo nguồn đề thi phong phú, đa dạng để các em học sinh tham khảo và rèn luyện.

Đề Thi Thử THPT Môn Toán

Đề thi thử Toán THPT QG 2019 lần 1 trường Nguyễn Đình Chiểu – Tiền Giang

04/04/2019

Đề Thi Thử THPT Môn Toán

Đề thi KSCL Toán 12 lần 1 năm 2019 trường THPT Phan Đình Phùng – Hà Tĩnh

03/04/2019

Đề Thi Thử THPT Môn Toán

Đề khảo sát Toán THPT Quốc gia 2019 lần 3 trường Thiệu Hóa – Thanh Hóa

03/04/2019

Đề Thi Thử THPT Môn Toán

Đề kiểm tra định kì Toán 12 năm 2019 trường Nguyễn Khuyến – TP HCM (24/03/2019)

03/04/2019

Đề Thi Thử THPT Môn Toán

Đề thi thử Toán THPT QG 2019 lần 2 trường Nguyễn Trung Thiên – Hà Tĩnh

03/04/2019

Đề Thi Thử THPT Môn Toán

Đề thi thử Toán THPTQG 2019 lần 1 cụm chuyên môn sở GD&ĐT Hải Phòng

02/04/2019

Đề Thi Thử THPT Môn Toán

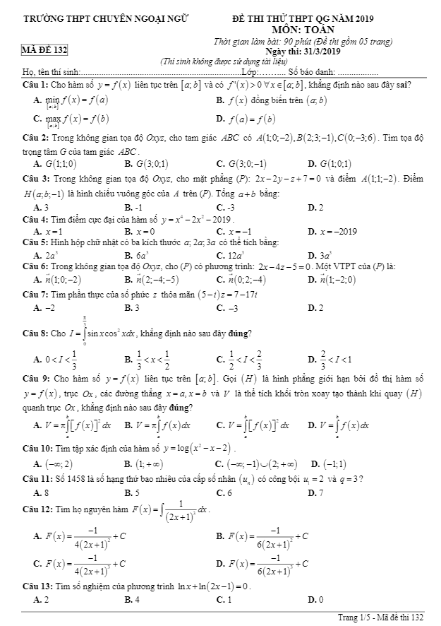
Đề thi thử Toán THPT QG 2019 trường THPT chuyên Ngoại Ngữ – Hà Nội

02/04/2019

Đề Thi Thử THPT Môn Toán

Đề thi thử Toán THPTQG 2019 lần 2 trường chuyên Trần Phú – Hải Phòng

02/04/2019

Đề Thi Thử THPT Môn Toán

Đề thi thử THPT Quốc gia 2019 môn Toán lần 1 sở GD&ĐT Bắc Giang

01/04/2019

Đề Thi Thử THPT Môn Toán

Đề thi thử Toán THPTQG 2019 lần 1 trường THPT 19-5 Kim Bôi – Hòa Bình

01/04/2019

Đề Thi Thử THPT Môn Toán

Đề thi thử Toán THPTQG 2019 lần 2 trường Thanh Chương 1 – Nghệ An

01/04/2019

Đề Thi Thử THPT Môn Toán

Đề thi thử Toán THPTQG 2019 lần 2 trường THPT chuyên Đại học Vinh – Nghệ An

31/03/2019

Đề Thi Thử THPT Môn Toán

Đề thi thử Toán THPT QG 2019 lần 2 trường Lý Thái Tổ – Bắc Ninh

30/03/2019

Đề Thi Thử THPT Môn Toán

Đề thi thử Toán THPTQG 2019 hội 8 trường chuyên đồng bằng sông Hồng lần 2

30/03/2019

Đề Thi Thử THPT Môn Toán

Đề thi thử THPTQG 2019 môn Toán lần 1 trường chuyên Lê Khiết – Quảng Ngãi

30/03/2019

Đề Thi Thử THPT Môn Toán

Đề kiểm tra Toán 12 năm 2018 – 2019 lần 3 trường Ninh Bình – Bạc Liêu – Ninh Bình

30/03/2019

Đề Thi Thử THPT Môn Toán

Đề thi thử THPTQG 2019 lần 2 môn Toán trường chuyên Thoại Ngọc Hầu – An Giang

29/03/2019

Đề Thi Thử THPT Môn Toán

Hướng dẫn giải đề thi thử THPTQG 2019 môn Toán sở GD&ĐT Hà Nội

29/03/2019

Đề Thi Thử THPT Môn Toán

Đề thi thử Toán THPT Quốc gia 2019 trường THPT Ngô Quyền – Hải Phòng lần 2

29/03/2019

Đề Thi Thử THPT Môn Toán

Đề thi thử Toán THPT Quốc gia 2019 lần 1 trường Văn Giang – Hưng Yên

28/03/2019

Phân trang bài viết

« 1 … 7 8 9 … 17 »

TÌM KIẾM THEO TỪ KHÓA

TÀI LIỆU MỚI NHẤT

  • Đề thi thử TN THPT 2026 môn Toán trường THPT Nguyễn Văn Trỗi – Hà Tĩnh
    25/04/2026
  • Đề khảo sát Toán 12 lần 2 năm 2025 – 2026 sở GD&ĐT Thanh Hóa
    24/04/2026
  • Đề thi thử tốt nghiệp THPT 2026 môn Toán đợt 2 sở GD&ĐT Thái Nguyên
    24/04/2026
  • Đề thi HSG Toán 11 lần 17 năm 2026 hội các trường THPT chuyên DH&ĐB Bắc Bộ
    24/04/2026
  • Đề thi HSG Toán 10 lần 17 năm 2026 hội các trường THPT chuyên DH&ĐB Bắc Bộ
    24/04/2026
  • Bộ đề ôn tập chuyên đề đạo hàm môn Toán 11 – Lê Bá Bảo
    24/04/2026

THEO DÕI TRÊN FACEBOOK

  • Facebook
  • Giới Thiệu
  • Chính Sách Bảo Mật
  • Liên Hệ

Copyright © 2026 | TOANMATH.com