TOANMATH.com

Tài liệu và đề thi Toán THPT miễn phí

  • Toán 10
    • Tài liệu Toán 10
    • Đề Cương Toán 10
    • Đề giữa HK1 Toán 10
    • Đề HK1 Toán 10
    • Đề giữa HK2 Toán 10
    • Đề HK2 Toán 10
    • Đề khảo sát Toán 10
    • Đề HSG Toán 10
    • Giáo án Toán 10
    • TIPS Giải Toán 10
  • Toán 11
    • Tài liệu Toán 11
    • Đề Cương Toán 11
    • Đề giữa HK1 Toán 11
    • Đề HK1 Toán 11
    • Đề giữa HK2 Toán 11
    • Đề HK2 Toán 11
    • Đề khảo sát Toán 11
    • Đề HSG Toán 11
    • Giáo án Toán 11
    • TIPS Giải Toán 11
  • Toán 12
    • Tài liệu Toán 12
    • Đề Cương Toán 12
    • Đề giữa HK1 Toán 12
    • Đề HK1 Toán 12
    • Đề giữa HK2 Toán 12
    • Đề HK2 Toán 12
    • Đề khảo sát Toán 12
    • Đề HSG Toán 12
    • Giáo án Toán 12
    • TIPS Giải Toán 12
  • Đề thi THPT
    • Đề thi thử THPT
    • Đề THPT chính thức
    • Đề đánh giá năng lực
    • Tài liệu ôn thi THPT
  • SGK-SBT
    • Sách giáo khoa THPT
    • Sách giáo khoa THCS
  • Toán THCS

Đề Thi HK1 Toán 10

Tổng hợp ĐỀ THI HK1 TOÁN 10 có đáp án và lời giải chi tiết của các trường Trung học Phổ thông, Sở Giáo dục và Đào tạo trên toàn quốc (File PDF). Các ĐỀ THI HK1 TOÁN 10 mới nhất sẽ được cập nhật liên tục và nhanh nhất có thể sau khi kỳ thi diễn ra, đáp án và lời giải chi tiết cũng sẽ được TOANMATH.com cập nhật sau đó nhằm giúp bạn đọc thuận tiện trong việc tra cứu và đối chiếu đáp án.

File WORD các ĐỀ THI CUỐI HỌC KÌ 1 TOÁN 10 (nếu có) được đính kèm trong nội dung bài viết, nhằm giúp quý thầy, cô giáo có thể tải xuống miễn phí, phục vụ cho quá trình biên soạn và giảng dạy. Quý thầy, cô giáo và bạn đọc có thể chia sẻ thêm ĐỀ THI CUỐI HỌC KÌ 1 TOÁN 10 bằng cách gửi về địa chỉ email: toanmath.com@gmail.com, nhằm tạo nguồn đề thi phong phú, đa dạng để các em học sinh lớp 10 tham khảo và rèn luyện.

Đề Thi HK1 Toán 10

Đề thi HK1 Toán 10 năm học 2016 – 2017 trường THPT Marie Curie – Hà Nội

18/12/2016

Đề Thi HK1 Toán 10

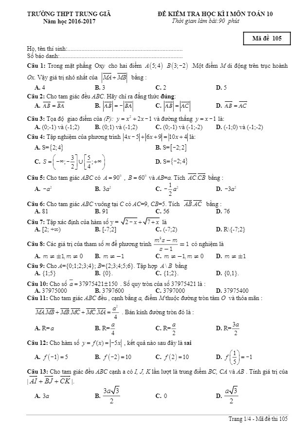
Đề thi HK1 Toán 10 năm học 2016 – 2017 trường THPT Trung Giã – Hà Nội

17/12/2016

Đề Thi HK1 Toán 10

Đề kiểm tra HK1 Toán 10 năm học 2016 – 2017 trường Nguyễn Du – TP.HCM

16/12/2016

Đề Thi HK1 Toán 10

Đề thi học kì 1 Toán 10 năm 2016 – 2017 trường THPT Thăng Long – Hà Nội

06/12/2016

Đề Thi HK1 Toán 10

Đề thi học kỳ 1 Toán 10 trường PTNK – TP. HCM từ năm 2011 đến năm 2016

22/11/2016

Đề Thi HK1 Toán 10

Đề thi HK1 lớp 10 trường Nguyễn Công Phương – Quảng Ngãi 2013 – 2014

13/12/2015

Đề Thi HK1 Toán 10

Đề thi HK1 lớp 10 ban nâng cao trường Chu Văn An – Hà Nội 2014 – 2015

13/12/2015

Đề Thi HK1 Toán 10

Đề thi HK1 lớp 10 ban nâng cao trường Chu Văn An – Hà Nội 2013 – 2014

13/12/2015

Đề Thi HK1 Toán 10

Đề thi HK1 lớp 10 ban cơ bản trường Chu Văn An – Hà Nội 2014 – 2015

13/12/2015

Đề Thi HK1 Toán 10

Đề thi HK1 lớp 10 ban cơ bản trường Chu Văn An – Hà Nội 2013 – 2014

13/12/2015

Đề Thi HK1 Toán 10

Đề thi HK1 lớp 10 trường THPT Vũng Tàu 2011 – 2012

12/12/2015

Đề Thi HK1 Toán 10

Bộ 35 đề thi HK1 lớp 10

11/12/2015

Đề Thi HK1 Toán 10

Đề thi HK1 lớp 10 trường THPT Thị Xã Quảng Trị 2014 – 2015

11/12/2015

Đề Thi HK1 Toán 10

Tuyển tập 35 đề thi học kì 1 lớp 10

22/07/2015

Đề Thi HK1 Toán 10

Đề thi HK1 lớp 10 trường Chu Văn An – Hà Nội 2012 – 2013

21/07/2015

Phân trang bài viết

« 1 … 27 28

TÌM KIẾM THEO TỪ KHÓA

TÀI LIỆU MỚI NHẤT

  • Đề cương cuối kỳ 2 Toán 10 năm 2025 – 2026 trường THPT Bùi Hữu Nghĩa – Cần Thơ
    15/04/2026
  • Đề cương cuối kỳ 2 Toán 11 năm 2025 – 2026 trường THPT Bùi Hữu Nghĩa – Cần Thơ
    15/04/2026
  • Đề cương cuối kỳ 2 Toán 12 năm 2025 – 2026 trường THPT Bùi Hữu Nghĩa – Cần Thơ
    15/04/2026
  • Đề khảo sát chất lượng Toán 12 đợt 2 năm 2025 – 2026 sở GD&ĐT Phú Thọ
    14/04/2026
  • Đề khảo sát Toán 12 ôn thi TN THPT 2026 trường THPT Hoằng Hóa 3 – Thanh Hóa
    14/04/2026
  • Đề khảo sát Toán 12 năm 2025 – 2026 trường THPT Lang Chánh – Thanh Hóa
    14/04/2026

THEO DÕI TRÊN FACEBOOK

  • Facebook
  • Giới Thiệu
  • Chính Sách Bảo Mật
  • Liên Hệ

Copyright © 2026 | TOANMATH.com