TOANMATH.com

Tài liệu và đề thi Toán THPT miễn phí

  • Toán 10
    • Tài liệu Toán 10
    • Đề Cương Toán 10
    • Đề giữa HK1 Toán 10
    • Đề HK1 Toán 10
    • Đề giữa HK2 Toán 10
    • Đề HK2 Toán 10
    • Đề khảo sát Toán 10
    • Đề HSG Toán 10
    • Giáo án Toán 10
    • TIPS Giải Toán 10
  • Toán 11
    • Tài liệu Toán 11
    • Đề Cương Toán 11
    • Đề giữa HK1 Toán 11
    • Đề HK1 Toán 11
    • Đề giữa HK2 Toán 11
    • Đề HK2 Toán 11
    • Đề khảo sát Toán 11
    • Đề HSG Toán 11
    • Giáo án Toán 11
    • TIPS Giải Toán 11
  • Toán 12
    • Tài liệu Toán 12
    • Đề Cương Toán 12
    • Đề giữa HK1 Toán 12
    • Đề HK1 Toán 12
    • Đề giữa HK2 Toán 12
    • Đề HK2 Toán 12
    • Đề khảo sát Toán 12
    • Đề HSG Toán 12
    • Giáo án Toán 12
    • TIPS Giải Toán 12
  • Đề thi THPT
    • Đề thi thử THPT
    • Đề THPT chính thức
    • Đề đánh giá năng lực
    • Tài liệu ôn thi THPT
  • SGK-SBT
    • Sách giáo khoa THPT
    • Sách giáo khoa THCS
  • Toán THCS

Đề Thi HK1 Toán 12

Tổng hợp ĐỀ THI HK1 TOÁN 12 có đáp án và lời giải chi tiết của các trường Trung học Phổ thông, Sở Giáo dục và Đào tạo trên toàn quốc (File PDF). Các ĐỀ THI HK1 TOÁN 12 mới nhất sẽ được cập nhật liên tục và nhanh nhất có thể sau khi kỳ thi diễn ra, đáp án và lời giải chi tiết cũng sẽ được TOANMATH.com cập nhật sau đó nhằm giúp bạn đọc thuận tiện trong việc tra cứu và đối chiếu đáp án.

File WORD các ĐỀ THI CUỐI HỌC KÌ 1 TOÁN 12 (nếu có) được đính kèm trong nội dung bài viết, nhằm giúp quý thầy, cô giáo có thể tải xuống miễn phí, phục vụ cho quá trình biên soạn và giảng dạy. Quý thầy, cô giáo và bạn đọc có thể chia sẻ thêm ĐỀ THI CUỐI HỌC KÌ 1 TOÁN 12 bằng cách gửi về địa chỉ email: toanmath.com@gmail.com, nhằm tạo nguồn đề thi phong phú, đa dạng để các em học sinh lớp 12 tham khảo và rèn luyện.

Đề Thi HK1 Toán 12

Đề thi HK1 Toán 12 năm học 2018 – 2019 trường THPT chuyên Nguyễn Du – Đăk Lăk

19/12/2018

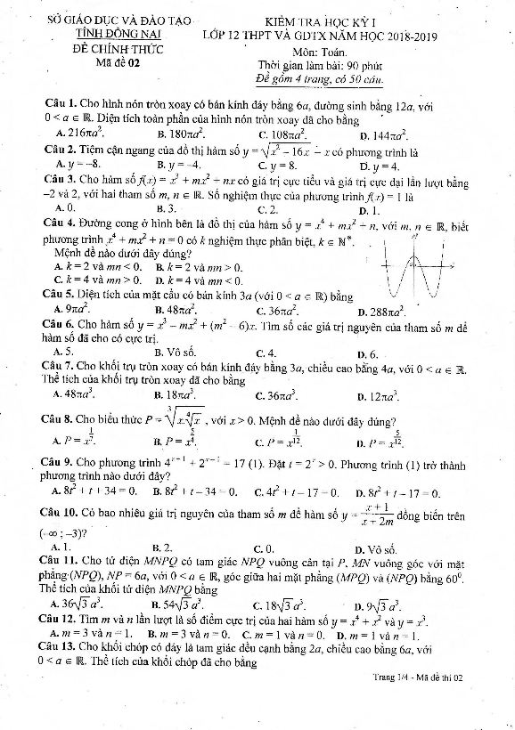
Đề Thi HK1 Toán 12

Đề thi học kỳ 1 Toán 12 năm học 2018 – 2019 sở GD và ĐT Đồng Nai

19/12/2018

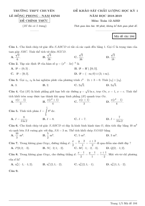
Đề Thi HK1 Toán 12

Đề thi học kỳ 1 Toán 12 năm 2018 – 2019 trường chuyên Lê Hồng Phong – Nam Định

18/12/2018

Đề Thi HK1 Toán 12

Đề thi học kỳ 1 Toán 12 năm học 2018 – 2019 sở GD và ĐT Đồng Tháp

18/12/2018

Đề Thi HK1 Toán 12

Đề thi học kỳ 1 Toán 12 năm học 2018 – 2019 sở GD và ĐT Bình Dương

18/12/2018

Đề Thi HK1 Toán 12

Đề kiểm tra định kỳ Toán 12 lần 1 năm 2018 – 2019 sở GD và ĐT Bắc Ninh

18/12/2018

Đề Thi HK1 Toán 12

Đề kiểm tra học kỳ 1 Toán 12 năm 2018 – 2019 trường THPT chuyên Ngoại Ngữ – Hà Nội

18/12/2018

Đề Thi HK1 Toán 12

Đề thi học kỳ 1 Toán 12 năm 2018 – 2019 trường THPT Chu Văn An – Hà Nội

16/12/2018

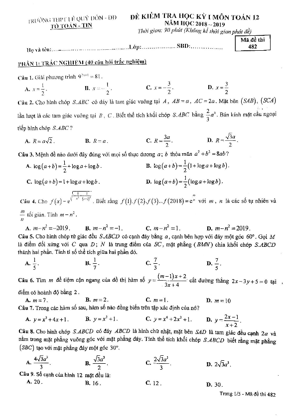
Đề Thi HK1 Toán 12

Đề kiểm tra học kỳ 1 Toán 12 năm 2018 – 2019 trường THPT Lê Quý Đôn – Hà Nội

15/12/2018

Đề Thi HK1 Toán 12

Đề kiểm tra học kỳ 1 Toán 12 năm học 2018 – 2019 trường THPT Việt Đức – Hà Nội

14/12/2018

Đề Thi HK1 Toán 12

Đề kiểm tra học kỳ 1 Toán 12 năm 2018 – 2019 trường THPT Bùi Thị Xuân – TP. HCM

14/12/2018

Đề Thi HK1 Toán 12

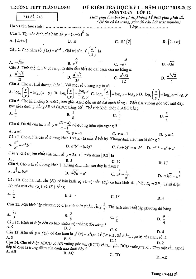
Đề kiểm tra học kỳ 1 Toán 12 năm 2018 – 2019 trường THPT Thăng Long – Hà Nội

13/12/2018

Đề Thi HK1 Toán 12

Đề thi kết thúc học kỳ 1 Toán 12 năm 2018 – 2019 trường chuyên Nguyễn Huệ – Hà Nội

13/12/2018

Đề Thi HK1 Toán 12

Đề kiểm tra học kỳ 1 Toán 12 năm học 2018 – 2019 trường THPT Đan Phượng – Hà Nội

13/12/2018

Đề Thi HK1 Toán 12

Đề kiểm tra học kỳ 1 Toán 12 (Ban A, B) trường THPT chuyên Lê Hồng Phong – TP. HCM

13/12/2018

Đề Thi HK1 Toán 12

Đề kiểm tra học kỳ 1 Toán 12 năm 2018 – 2019 trường THPT số 3 Văn Bàn – Lào Cai

13/12/2018

Đề Thi HK1 Toán 12

Đề kiểm tra học kỳ 1 Toán 12 năm 2018 – 2019 trường Nguyễn Thị Minh Khai – Hà Nội

12/12/2018

Đề Thi HK1 Toán 12

Đề kiểm tra học kỳ 1 Toán 12 năm học 2018 – 2019 sở GD và ĐT Bình Thuận

12/12/2018

Đề Thi HK1 Toán 12

Đề kiểm tra học kỳ 1 Toán 12 năm học 2018 – 2019 trường M.V Lômônôxốp – Hà Nội

12/12/2018

Đề Thi HK1 Toán 12

Đề kiểm tra học kỳ 1 Toán 12 năm 2018 – 2019 trường chuyên Hạ Long – Quảng Ninh

12/12/2018

Phân trang bài viết

« 1 … 27 28 29 … 36 »

TÌM KIẾM THEO TỪ KHÓA

TÀI LIỆU MỚI NHẤT

  • Đề khảo sát Toán 12 lần 5 năm 2025 – 2026 trường THPT Yên Lạc – Phú Thọ
    19/05/2026
  • Đề thi thử tốt nghiệp THPT 2026 môn Toán lần 3 sở GD&ĐT Sơn La
    19/05/2026
  • Đề khảo sát lần 4 Toán 10 năm 2025 – 2026 trường THPT Nguyễn Đăng Đạo – Bắc Ninh
    19/05/2026
  • Đề khảo sát lần 4 Toán 11 năm 2025 – 2026 trường THPT Nguyễn Đăng Đạo – Bắc Ninh
    19/05/2026
  • Đề học kỳ 2 Toán 11 năm 2025 – 2026 trường THPT Chu Văn An – An Giang
    19/05/2026
  • Đề thi thử TN THPT 2026 môn Toán lần 1 trường THPT An Phước – Khánh Hòa
    18/05/2026

THEO DÕI TRÊN FACEBOOK

  • Facebook
  • Giới Thiệu
  • Chính Sách Bảo Mật
  • Liên Hệ

Copyright © 2026 | TOANMATH.com